前言
就缺少一点动力,事情的就办好了。我拖了几周才开始学这个。
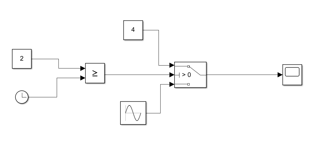
简单分段
需要的组件:
clock
constant
switch
relational
scope
sine wave

可以看出我的判断是接倒了。

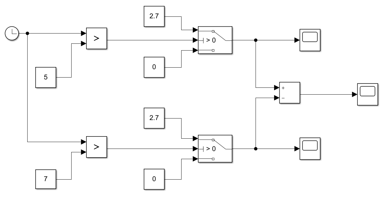
门函数


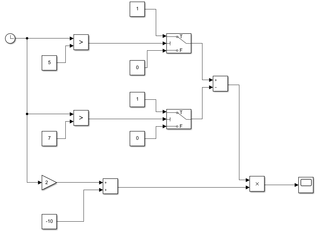
一段函数


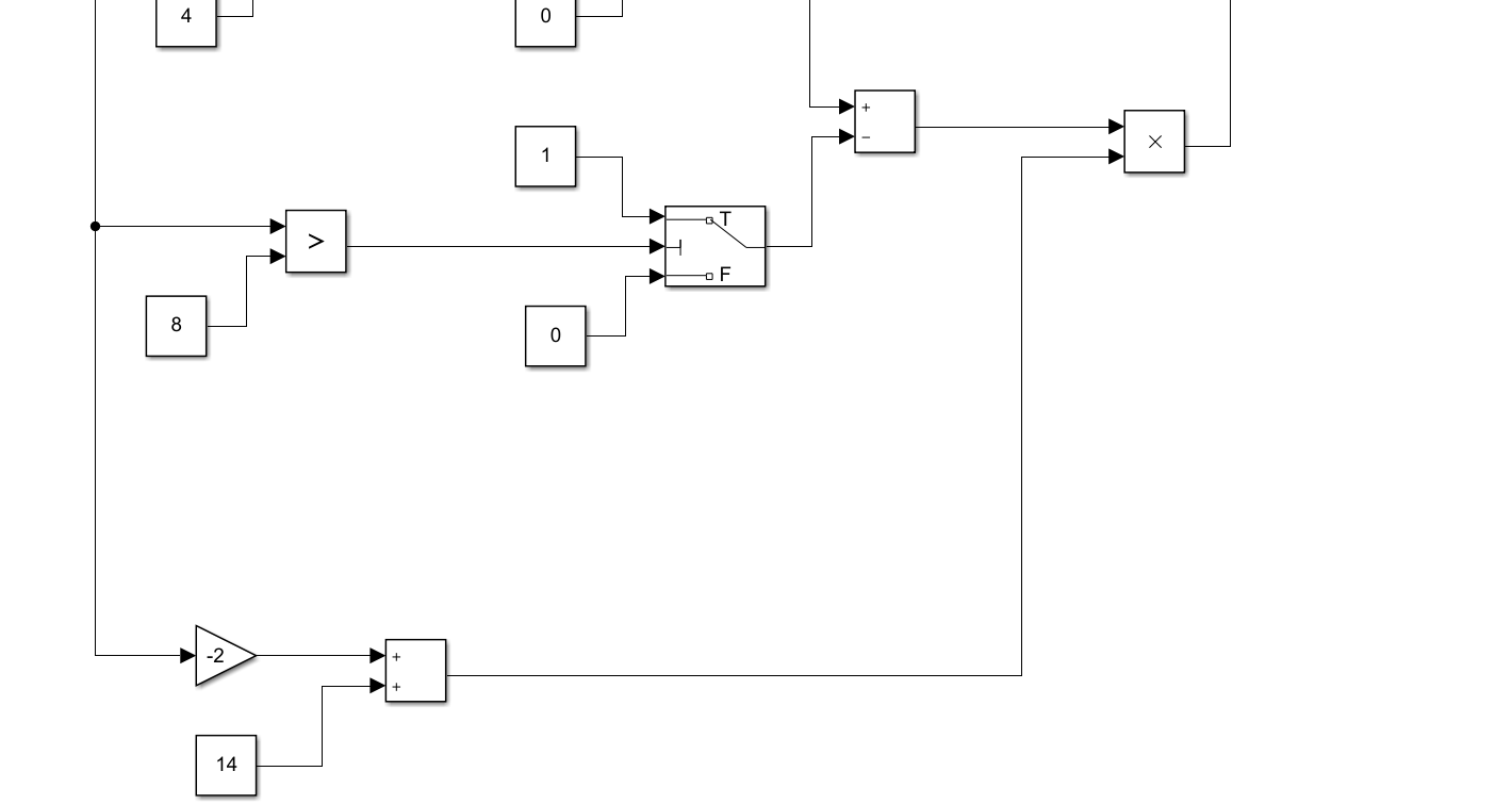
两段函数



最后
以上就是负责啤酒最近收集整理的关于simulink【1】分段函数的全部内容,更多相关simulink【1】分段函数内容请搜索靠谱客的其他文章。
本图文内容来源于网友提供,作为学习参考使用,或来自网络收集整理,版权属于原作者所有。
发表评论 取消回复