1.滤波器作用
消除干扰杂讯噪声,对信号进行频率成分的选择
2.高通滤波
过滤低频信息,让高频信息通过
3.低通滤波
过滤高频信息,让低频信息通过
4.理想低通滤波

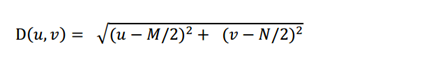
D0表示通带半径,D(u,v)是到频谱中心的距离(欧式距离),公式如下:

(?M和N表示频谱图像的大小?(M/2,N/2)即为频谱中心?)
5.理想高通滤波

最后
以上就是活力香水最近收集整理的关于滤波器_理想低通/高通滤波器原理的全部内容,更多相关滤波器_理想低通/高通滤波器原理内容请搜索靠谱客的其他文章。
本图文内容来源于网友提供,作为学习参考使用,或来自网络收集整理,版权属于原作者所有。
发表评论 取消回复