1.高通滤波器
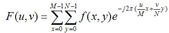
首先,对一副图像进行如下二维傅里叶变换。

我们将u=0和v=0带上式,我们可以得到如下式子。

根据上式,可以到F(0,0)的值是非常大的。这里,我们将
F(0,0)称为直流分量,直流分量比其他的成分要大好几个数量级。所以,这也就是傅里叶谱为什么需要使用对数变换才能看清楚的原因。
这里,对于高通滤波器而言,由于直流分量被衰减,所以,所得到的图像的动态范围是非常狭窄的,也就造成了图像偏灰。进一步而言,保持直流(DC)分量,对别的部分进行增幅,可以增强图像的细节。这样的滤波器称为锐化滤波器。这一小节主要介绍高通滤波器与锐化滤波器。
1.1理想高通滤波器
这里的D0是滤波器的阻带半径,而D(u,v)是点到滤波器中央的距离。理想高通的滤波器的振幅特性如下所示。

用这个滤波器对图像进行处理,可得到如下所示的结果。我们可以看到,与理想的低通滤波器一样,所得到的图像有很明显的振铃现象。结果图像从视觉上来看,有些偏暗,这是因为图像的直流分量被滤掉的原因。

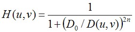
1.2巴特沃斯高通滤波器
同样的,巴特沃斯高通滤波器也可以通过改变次数n,对过度特性进行调整。过大的n会造成振铃现象。


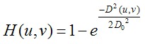
1.3高斯高通滤波器
高斯滤波器的过度特性很好,所以不会发生振铃现象。


1.4 上述三种滤波器的实现Matlab代码
close all;
clear all;
%% ---------Ideal Highpass Filters (Fre. Domain)------------
f = imread('characters_test_pattern.tif');
f = mat2gray(f,[0 255]);
[M,N] = size(f);
P = 2*M;
Q = 2*N;
fc = zeros(M,N);
for x = 1:1:M
for y = 1:1:N
fc(x,y) = f(x,y) * (-1)^(x+y);
end
end
F = fft2(fc,P,Q);
H_1 = ones(P,Q);
H_2 = ones(P,Q);
for x = (-P/2):1:(P/2)-1
for y = (-Q/2):1:(Q/2)-1
D = (x^2 + y^2)^(0.5);
if(D <= 60) H_1(x+(P/2)+1,y+(Q/2)+1) = 0; end
if(D <= 160) H_2(x+(P/2)+1,y+(Q/2)+1) = 0; end
end
end
G_1 = H_1 .* F;
G_2 = H_2 .* F;
g_1 = real(ifft2(G_1));
g_1 = g_1(1:1:M,1:1:N);
g_2 = real(ifft2(G_2));
g_2 = g_2(1:1:M,1:1:N);
for x = 1:1:M
for y = 1:1:N
g_1(x,y) = g_1(x,y) * (-1)^(x+y);
g_2(x,y) = g_2(x,y) * (-1)^(x+y);
end
end
%% -----show-------
figure();
subplot(1,2,1);
imshow(f,[0 1]);
xlabel('a).Original Image');
subplot(1,2,2);
imshow(log(1 + abs(F)),[ ]);
xlabel('b).Fourier spectrum of a');
figure();
subplot(1,2,1);
imshow(H_1,[0 1]);
xlabel('c).Ideal Highpass filter(D=60)');
subplot(1,2,2);
h = mesh(1:20:P,1:20:Q,H_1(1:20:P,1:20:Q));
set(h,'EdgeColor','k');
axis([0 P 0 Q 0 1]);
xlabel('u');ylabel('v');
zlabel('|H(u,v)|');
figure();
subplot(1,2,1);
imshow(log(1 + abs(G_1)),[ ]);
xlabel('d).Result of filtering using c');
subplot(1,2,2);
imshow(g_1,[0 1]);
xlabel('e).Result image');
figure();
subplot(1,2,1);
imshow(H_2,[0 1]);
xlabel('f).Ideal Highpass filter(D=160)');
subplot(1,2,2);
h = mesh(1:20:P,1:20:Q,H_2(1:20:P,1:20:Q));
set(h,'EdgeColor','k');
axis([0 P 0 Q 0 1]);
xlabel('u');ylabel('v');
zlabel('|H(u,v)|');
figure();
subplot(1,2,1);
imshow(log(1 + abs(G_2)),[ ]);
xlabel('g).Result of filtering using e');
subplot(1,2,2);
imshow(g_2,[0 1]);
xlabel('h).Result image');
close all;
clear all;
%% ---------Butterworth Highpass Filters (Fre. Domain)------------
f = imread('characters_test_pattern.tif');
f = mat2gray(f,[0 255]);
[M,N] = size(f);
P = 2*M;
Q = 2*N;
fc = zeros(M,N);
for x = 1:1:M
for y = 1:1:N
fc(x,y) = f(x,y) * (-1)^(x+y);
end
end
F = fft2(fc,P,Q);
H_1 = zeros(P,Q);
H_2 = zeros(P,Q);
for x = (-P/2):1:(P/2)-1
for y = (-Q/2):1:(Q/2)-1
D = (x^2 + y^2)^(0.5);
D_0 = 100;
H_1(x+(P/2)+1,y+(Q/2)+1) = 1/(1+(D_0/D)^2);
H_2(x+(P/2)+1,y+(Q/2)+1) = 1/(1+(D_0/D)^6);
end
end
G_1 = H_1 .* F;
G_2 = H_2 .* F;
g_1 = real(ifft2(G_1));
g_1 = g_1(1:1:M,1:1:N);
g_2 = real(ifft2(G_2));
g_2 = g_2(1:1:M,1:1:N);
for x = 1:1:M
for y = 1:1:N
g_1(x,y) = g_1(x,y) * (-1)^(x+y);
g_2(x,y) = g_2(x,y) * (-1)^(x+y);
end
end
%% -----show-------
figure();
subplot(1,2,1);
imshow(f,[0 1]);
xlabel('a).Original Image');
subplot(1,2,2);
imshow(log(1 + abs(F)),[ ]);
xlabel('b).Fourier spectrum of a');
figure();
subplot(1,2,1);
imshow(H_1,[0 1]);
xlabel('c)Butterworth Lowpass (D_{0}=100,n=1)');
subplot(1,2,2);
h = mesh(1:20:P,1:20:Q,H_1(1:20:P,1:20:Q));
set(h,'EdgeColor','k');
axis([0 P 0 Q 0 1]);
xlabel('u');ylabel('v');
zlabel('|H(u,v)|');
figure();
subplot(1,2,1);
imshow(log(1 + abs(G_1)),[ ]);
xlabel('d).Result of filtering using c');
subplot(1,2,2);
imshow(g_1,[0 1]);
xlabel('e).Result image');
figure();
subplot(1,2,1);
imshow(H_2,[0 1]);
xlabel('f).Butterworth Lowpass (D_{0}=100,n=3)');
subplot(1,2,2);
h = mesh(1:20:P,1:20:Q,H_2(1:20:P,1:20:Q));
set(h,'EdgeColor','k');
axis([0 P 0 Q 0 1]);
xlabel('u');ylabel('v');
zlabel('|H(u,v)|');
figure();
subplot(1,2,1);
imshow(log(1 + abs(G_2)),[ ]);
xlabel('g).Result of filtering using e');
subplot(1,2,2);
imshow(g_2,[0 1]);
xlabel('h).Result image');
close all;
clear all;
%% ---------Gaussian Highpass Filters (Fre. Domain)------------
f = imread('characters_test_pattern.tif');
f = mat2gray(f,[0 255]);
[M,N] = size(f);
P = 2*M;
Q = 2*N;
fc = zeros(M,N);
for x = 1:1:M
for y = 1:1:N
fc(x,y) = f(x,y) * (-1)^(x+y);
end
end
F = fft2(fc,P,Q);
H_1 = zeros(P,Q);
H_2 = zeros(P,Q);
for x = (-P/2):1:(P/2)-1
for y = (-Q/2):1:(Q/2)-1
D = (x^2 + y^2)^(0.5);
D_0 = 60;
H_1(x+(P/2)+1,y+(Q/2)+1) = 1 - exp(-(D*D)/(2*D_0*D_0));
D_0 = 160;
H_2(x+(P/2)+1,y+(Q/2)+1) = 1 - exp(-(D*D)/(2*D_0*D_0));
end
end
G_1 = H_1 .* F;
G_2 = H_2 .* F;
g_1 = real(ifft2(G_1));
g_1 = g_1(1:1:M,1:1:N);
g_2 = real(ifft2(G_2));
g_2 = g_2(1:1:M,1:1:N);
for x = 1:1:M
for y = 1:1:N
g_1(x,y) = g_1(x,y) * (-1)^(x+y);
g_2(x,y) = g_2(x,y) * (-1)^(x+y);
end
end
%% -----show-------
figure();
subplot(1,2,1);
imshow(f,[0 1]);
xlabel('a).Original Image');
subplot(1,2,2);
imshow(log(1 + abs(F)),[ ]);
xlabel('b).Fourier spectrum of a');
figure();
subplot(1,2,1);
imshow(H_1,[0 1]);
xlabel('c)Gaussian Highpass (D_{0}=60)');
subplot(1,2,2);
h = mesh(1:20:P,1:20:Q,H_1(1:20:P,1:20:Q));
set(h,'EdgeColor','k');
axis([0 P 0 Q 0 1]);
xlabel('u');ylabel('v');
zlabel('|H(u,v)|');
figure();
subplot(1,2,1);
imshow(log(1 + abs(G_1)),[ ]);
xlabel('d).Result of filtering using c');
subplot(1,2,2);
imshow(g_1,[0 1]);
xlabel('e).Result image');
figure();
subplot(1,2,1);
imshow(H_2,[0 1]);
xlabel('f).Gaussian Highpass (D_{0}=160)');
subplot(1,2,2);
h = mesh(1:20:P,1:20:Q,H_2(1:20:P,1:20:Q));
set(h,'EdgeColor','k');
axis([0 P 0 Q 0 1]);
xlabel('u');ylabel('v');
zlabel('|H(u,v)|');
figure();
subplot(1,2,1);
imshow(log(1 + abs(G_2)),[ ]);
xlabel('g).Result of filtering using e');
subplot(1,2,2);
imshow(g_2,[0 1]);
xlabel('h).Result image');
1.5 锐化滤波器
按照之前所说的,锐化滤波器是将傅里叶谱的直流分量保留,然后将其余的成分增幅。使用锐化滤波器,可以对图像的细节进行增强,使得细节凸显出来。锐化滤波器的表达式如下所示。

其实上式的目的很明显,就是先将原图的傅里叶
谱
保留下来,然后叠加上高通滤波器的结果
,所得到的图像就是锐化后的图像了。这里为了调整锐化程度,引入了两个变量
与
。
可以调整直流分量的衰减程度,
可以调整高频分量的增幅程度。
保留下来,然后叠加上高通滤波器的结果
,所得到的图像就是锐化后的图像了。这里为了调整锐化程度,引入了两个变量
与
。
可以调整直流分量的衰减程度,
可以调整高频分量的增幅程度。


下面是代码。
close all;
clear all;
clc;
%% ---------The High-Fre-Emphasis Filters (Fre. Domain)------------
f = imread('blurry_moon.tif');
f = mat2gray(f,[0 255]);
[M,N] = size(f);
P = 2*M;
Q = 2*N;
fc = zeros(M,N);
for x = 1:1:M
for y = 1:1:N
fc(x,y) = f(x,y) * (-1)^(x+y);
end
end
F = fft2(fc,P,Q);
H_HP = zeros(P,Q);
for x = (-P/2):1:(P/2)-1
for y = (-Q/2):1:(Q/2)-1
D = (x^2 + y^2)^(0.5);
D_0 = 80;
H_HP(x+(P/2)+1,y+(Q/2)+1) = 1 - exp(-(D*D)/(2*D_0*D_0));
end
end
G_HP = H_HP .* F;
G_HFE = (1 + 1.1 * H_HP) .* F;
g_1 = real(ifft2(G_HP));
g_1 = g_1(1:1:M,1:1:N);
g_2 = real(ifft2(G_HFE));
g_2 = g_2(1:1:M,1:1:N);
for x = 1:1:M
for y = 1:1:N
g_1(x,y) = g_1(x,y) * (-1)^(x+y);
g_2(x,y) = g_2(x,y) * (-1)^(x+y);
end
end
g = histeq(g_2);
%g_1 = mat2gray(g_1);
%% -----show-------
figure();
subplot(1,2,1);
imshow(f,[0 1]);
xlabel('a).Original Image');
subplot(1,2,2);
imshow(log(1 + abs(F)),[ ]);
xlabel('b).Fourier spectrum of a');
figure();
subplot(1,2,1);
imshow(g_1,[0 1]);
xlabel('c).Result image of High-pass Filter');
subplot(1,2,2);
imshow(log(1 + abs(G_HP)),[ ]);
xlabel('d).Result of filtering using e');
figure();
subplot(1,2,1);
imshow(g_2,[0 1]);
xlabel('e).Result image of High-Fre-Emphasis Filter');
subplot(1,2,2);
imshow(log(1 + abs(G_HFE)),[ ]);
xlabel('f).Result of filtering using e');
2.带阻滤波器
同样的,带阻滤波器也有三种特性。高斯、巴特沃斯和理想,三种类型,其数学表达式如下所示。

其带通滤波器可以使用上面的表格转化而得。

带阻滤波器可以用于去除周期性噪声,为了体现带阻滤波器的特性,我们先对一幅图像增加很严重的噪声。


在原图的傅里叶谱上添加了几个很明显的亮点。在对其做IDFT,可以看到,原图被严重的周期噪声污染了。此时,我们可以使用带阻滤波器,可以有很好的去噪效果。为了避免振铃现象,选择使用如下所示巴特沃斯带阻滤波器,所用滤波器的次数为2次。使用空间域的操作,要去除这种噪声基本是不可能的,这也是频域内的操作的优点。

close all;
clear all;
clc;
%% ---------------------Add Noise-------------------------
f = imread('left.tif');
f = mat2gray(f,[0 255]);
[M,N] = size(f);
P = 2*M;
Q = 2*N;
fc = zeros(M,N);
for x = 1:1:M
for y = 1:1:N
fc(x,y) = f(x,y) * (-1)^(x+y);
end
end
F = fft2(fc,P,Q);
H_NP = ones(P,Q);
for x = (-P/2):1:(P/2)-1
for y = (-Q/2):1:(Q/2)-1
D = 2;
v_k = -200; u_k = 150;
D_k = ((x+u_k)^2 + (y+v_k)^2)^(0.5);
H_NP(x+(P/2)+1,y+(Q/2)+1) = H_NP(x+(P/2)+1,y+(Q/2)+1) * 1/(1+(D/D_k)^4);
D_k = ((x-u_k)^2 + (y-v_k)^2)^(0.5);
H_NP(x+(P/2)+1,y+(Q/2)+1) = H_NP(x+(P/2)+1,y+(Q/2)+1) * 1/(1+(D/D_k)^4);
v_k = 200; u_k = 150;
D_k = ((x+u_k)^2 + (y+v_k)^2)^(0.5);
H_NP(x+(P/2)+1,y+(Q/2)+1) = H_NP(x+(P/2)+1,y+(Q/2)+1) * 1/(1+(D/D_k)^4);
D_k = ((x-u_k)^2 + (y-v_k)^2)^(0.5);
H_NP(x+(P/2)+1,y+(Q/2)+1) = H_NP(x+(P/2)+1,y+(Q/2)+1) * 1/(1+(D/D_k)^4);
v_k = 0; u_k = 250;
D_k = ((x+u_k)^2 + (y+v_k)^2)^(0.5);
H_NP(x+(P/2)+1,y+(Q/2)+1) = H_NP(x+(P/2)+1,y+(Q/2)+1) * 1/(1+(D/D_k)^4);
D_k = ((x-u_k)^2 + (y-v_k)^2)^(0.5);
H_NP(x+(P/2)+1,y+(Q/2)+1) = H_NP(x+(P/2)+1,y+(Q/2)+1) * 1/(1+(D/D_k)^4);
v_k = 250; u_k = 0;
D_k = ((x+u_k)^2 + (y+v_k)^2)^(0.5);
H_NP(x+(P/2)+1,y+(Q/2)+1) = H_NP(x+(P/2)+1,y+(Q/2)+1) * 1/(1+(D/D_k)^4);
D_k = ((x-u_k)^2 + (y-v_k)^2)^(0.5);
H_NP(x+(P/2)+1,y+(Q/2)+1) = H_NP(x+(P/2)+1,y+(Q/2)+1) * 1/(1+(D/D_k)^4);
H_NP(x+(P/2)+1,y+(Q/2)+1) = 1 + 700*(1 - H_NP(x+(P/2)+1,y+(Q/2)+1));
end
end
G_Noise = F .* H_NP;
g_noise = real(ifft2(G_Noise));
g_noise = g_noise(1:1:M,1:1:N);
for x = 1:1:M
for y = 1:1:N
g_noise(x,y) = g_noise(x,y) * (-1)^(x+y);
end
end
%% ---------Bondpass Filters (Fre. Domain)------------
H_1 = ones(P,Q);
for x = (-P/2):1:(P/2)-1
for y = (-Q/2):1:(Q/2)-1
D = (x^2 + y^2)^(0.5);
D_0 = 250;
W = 30;
H_1(x+(P/2)+1,y+(Q/2)+1) = 1/(1+((D*W)/((D*D) - (D_0*D_0)))^6);
end
end
G_1 = H_1 .* G_Noise;
g_1 = real(ifft2(G_1));
g_1 = g_1(1:1:M,1:1:N);
for x = 1:1:M
for y = 1:1:N
g_1(x,y) = g_1(x,y) * (-1)^(x+y);
end
end
%% -----show-------
close all;
figure();
subplot(1,2,1);
imshow(f,[0 1]);
xlabel('a).Original Image');
subplot(1,2,2);
imshow(log(1 + abs(F)),[ ]);
xlabel('b).Fourier spectrum of a');
figure();
subplot(1,2,2);
imshow(log(1 + abs(G_Noise)),[ ]);
xlabel('c).Fourier spectrum of b');
subplot(1,2,1);
imshow(g_noise,[0 1]);
xlabel('b).Result of add noise');
figure();
subplot(1,2,1);
imshow(H_1,[0 1]);
xlabel('d).Butterworth Bandpass filter(D=355 W=40 n =2)');
subplot(1,2,2);
h = mesh(1:20:Q,1:20:P,H_1(1:20:P,1:20:Q));
set(h,'EdgeColor','k');
axis([0 Q 0 P 0 1]);
xlabel('u');ylabel('v');
zlabel('|H(u,v)|');
figure();
subplot(1,2,2);
imshow(log(1 + abs(G_1)),[ ]);
xlabel('e).Fourier spectrum of f');
subplot(1,2,1);
imshow(g_1,[0 1]);
xlabel('f).Result of denoise');
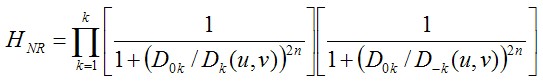
3.陷波滤波器(Notch Filter)
陷波滤波器也用于去除周期噪声,虽然带阻滤波器也能可以去除周期噪声,但是带阻滤波器对噪声以外的成分也有衰减。而陷波滤波器主要对,某个点进行衰减,对其余的成分不损失。使用下图将更容易理解。

从空间域内看,图像存在着周期性噪声。其傅里叶频谱中,也能看到噪声的所在之处(这里我用红圈标注出来了,他们不是数据的一部分)。我们如果使用带阻滤波器的话,是非常麻烦的,也会使得图像有损失。陷波滤波器,能够直接对噪声处进行衰减,可以有很好的去噪效果。
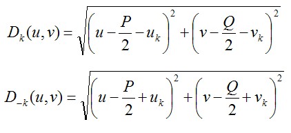
其表达式如下所示,陷波滤波器可以通过对高通滤波器的中心,进行位移就可以得到了。

这里,由于傅里叶的周期性,傅里叶频谱上不可能单独存在一个点的噪声,必定是关于远点对称的一个噪声对。这里的
与
需要去除的噪声点,其求取的方式如下所示。
与
需要去除的噪声点,其求取的方式如下所示。
针对于上图,我们设计如下滤波器,去进行去噪。
(图片下标错了,后续更新改过来!)
所得到的结果,如下所示。噪声已经被去除了,画质得到了很大的改善。

(图片下标错了,后续更新改过来!)
close all;
clear all;
clc;
%% ---------Butterworth Notch filter (Fre. Domain)------------
f = imread('car_75DPI_Moire.tif');
f = mat2gray(f,[0 255]);
[M,N] = size(f);
P = 2*M;
Q = 2*N;
fc = zeros(M,N);
for x = 1:1:M
for y = 1:1:N
fc(x,y) = f(x,y) * (-1)^(x+y);
end
end
F = fft2(fc,P,Q);
H_NF = ones(P,Q);
for x = (-P/2):1:(P/2)-1
for y = (-Q/2):1:(Q/2)-1
D = 30;
v_k = 59; u_k = 77;
D_k = ((x+u_k)^2 + (y+v_k)^2)^(0.5);
H_NF(x+(P/2)+1,y+(Q/2)+1) = H_NF(x+(P/2)+1,y+(Q/2)+1) * 1/(1+(D/D_k)^4);
D_k = ((x-u_k)^2 + (y-v_k)^2)^(0.5);
H_NF(x+(P/2)+1,y+(Q/2)+1) = H_NF(x+(P/2)+1,y+(Q/2)+1) * 1/(1+(D/D_k)^4);
v_k = 59; u_k = 159;
D_k = ((x+u_k)^2 + (y+v_k)^2)^(0.5);
H_NF(x+(P/2)+1,y+(Q/2)+1) = H_NF(x+(P/2)+1,y+(Q/2)+1) * 1/(1+(D/D_k)^4);
D_k = ((x-u_k)^2 + (y-v_k)^2)^(0.5);
H_NF(x+(P/2)+1,y+(Q/2)+1) = H_NF(x+(P/2)+1,y+(Q/2)+1) * 1/(1+(D/D_k)^4);
v_k = -54; u_k = 84;
D_k = ((x+u_k)^2 + (y+v_k)^2)^(0.5);
H_NF(x+(P/2)+1,y+(Q/2)+1) = H_NF(x+(P/2)+1,y+(Q/2)+1) * 1/(1+(D/D_k)^4);
D_k = ((x-u_k)^2 + (y-v_k)^2)^(0.5);
H_NF(x+(P/2)+1,y+(Q/2)+1) = H_NF(x+(P/2)+1,y+(Q/2)+1) * 1/(1+(D/D_k)^4);
v_k = -54; u_k = 167;
D_k = ((x+u_k)^2 + (y+v_k)^2)^(0.5);
H_NF(x+(P/2)+1,y+(Q/2)+1) = H_NF(x+(P/2)+1,y+(Q/2)+1) * 1/(1+(D/D_k)^4);
D_k = ((x-u_k)^2 + (y-v_k)^2)^(0.5);
H_NF(x+(P/2)+1,y+(Q/2)+1) = H_NF(x+(P/2)+1,y+(Q/2)+1) * 1/(1+(D/D_k)^4);
end
end
G_1 = H_NF .* F;
g_1 = real(ifft2(G_1));
g_1 = g_1(1:1:M,1:1:N);
for x = 1:1:M
for y = 1:1:N
g_1(x,y) = g_1(x,y) * (-1)^(x+y);
end
end
%% -----show-------
close all;
figure();
subplot(1,2,1);
imshow(f,[0 1]);
xlabel('a).Original Image');
subplot(1,2,2);
imshow(log(1 + abs(F)),[ ]);
xlabel('b).Fourier spectrum of a');
figure();
subplot(1,2,1);
imshow(H_NF,[0 1]);
xlabel('c).Butterworth Notch filter(D=30 n=2)');
subplot(1,2,2);
h = mesh(1:10:Q,1:10:P,H_NF(1:10:P,1:10:Q));
set(h,'EdgeColor','k');
axis([0 Q 0 P 0 1]);
xlabel('u');ylabel('v');
zlabel('|H(u,v)|');
figure();
subplot(1,2,2);
imshow(log(1 + abs(G_1)),[ ]);
xlabel('e).Fourier spectrum of d');
subplot(1,2,1);
imshow(g_1,[0 1]);
xlabel('d).Result image');
原文发于
博客:
http://blog.csdn.net/thnh169/
最后
以上就是活力万宝路最近收集整理的关于[数字图像处理]频域滤波(2)--高通滤波器,带阻滤波器与陷波滤波器的全部内容,更多相关[数字图像处理]频域滤波(2)--高通滤波器内容请搜索靠谱客的其他文章。
本图文内容来源于网友提供,作为学习参考使用,或来自网络收集整理,版权属于原作者所有。
发表评论 取消回复