关于一阶低通滤波器这里就不再赘述了,讲的帖子也挺多,这里记录一下一阶低通滤波器的传递函数与数字实现之间的系数转换。
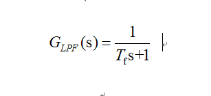
一阶低通滤波器的传递函数常见为:

其中Tf为RC,并且有:

其中fwres为截止频率。
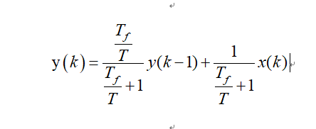
常用的数字滤波器形式为:
y(k)= (1-a)y(k-1)+ax(k)
将传递函数用后向差分离散化,可得到:

对比两个式子可以看出:

而一般T<<Tf,因此上式可以简化为:
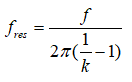
a=T/Tf,结合Tf=RC,fwres=1/2piRC,可以得到:

其中T为采样频率,fwres为滤波器截至频率。
这里补充一下,以上近似计算只有在系数a很小的时候才可以近似等效,具体准确计算带宽为

最后
以上就是迷路时光最近收集整理的关于一阶低通滤波器的数字实现的全部内容,更多相关一阶低通滤波器内容请搜索靠谱客的其他文章。
本图文内容来源于网友提供,作为学习参考使用,或来自网络收集整理,版权属于原作者所有。
发表评论 取消回复