比例环节/放大环节
![]()
![]()
K为比例系数或放大系数
惯性可忽略的线性元件可看作比例环节,如晶体放大管、电位器、传动轴
惯性环节

![]()
T为惯性时间常数
惯性环节是一个储能元件
积分环节
![]()
![]()
各种驱动原件具有积分特性,而电阻、电容、运算放大器构成的积分电路往往是惯性时间常数很大的惯性环节
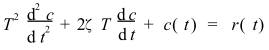
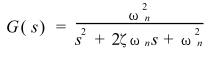
振荡环节

或
T振荡环节时间常数 ζ相对阻尼系数或阻尼比 wn自然谐振频率 wn=1/T
机械运动系统便是一个振动环节
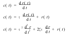
理想、一阶、二阶微分环节


τ 微分时间常数
微分环节是用于改善系统性能的校正元件
最后
以上就是干净荔枝最近收集整理的关于典型环节的全部内容,更多相关典型环节内容请搜索靠谱客的其他文章。
本图文内容来源于网友提供,作为学习参考使用,或来自网络收集整理,版权属于原作者所有。
发表评论 取消回复