一阶RC低通滤波器的数学模型及算法实现
- 1. 一阶RC低通滤波器的连续域数学模型
- 1.1 数学模型的推导
- 1.2 频率特性
- 1.3 物理作用
- 2. 一阶RC低通滤波器的算法推导
- 2.1 离散化
- 2.2 滤波系数
- 3. 一阶RC低通滤波器的C语言实现
- 4. 缺点及改善方法
- 4.1 缺点
- 4.2 改善方法——动态调整滤波系数
- 4.2.1 实现功能
- 4.2.2 调整前判断
- 4.2.3 调整原则
1. 一阶RC低通滤波器的连续域数学模型
1.1 数学模型的推导

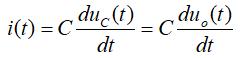
上图是RC低通滤波器的电路模型,根据基尔霍夫定律可知

即:

根据电容的特性可知:

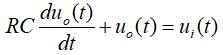
零状态条件下的时域响应可表示为:

定义时间常数τ=RC,对上述微分方程进行拉氏变换,可得:


由此可得传递函数:

即频域数学模型为:

1.2 频率特性
相频特性:

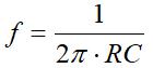
幅频特性:

以R=100Ω,C=100nF为例,该低通滤波器的频率特性如下:

1.3 物理作用
输入一个阶跃信号,经过时间τ之后,输出大约为阶跃量的63%,滞后作用。

2. 一阶RC低通滤波器的算法推导
2.1 离散化
采用一阶后向差分法将传递函数G(s)从S域转化到Z域,其中一阶后向差分中S域与Z域的变化关系是: s = 1 − z − 1 T s=frac{1-z^{-1}}{T} s=T1−z−1其中T是采样周期,带入传递函数G(s)中得: G ( z ) = Y ( z ) X ( z ) = 1 R C 1 − z − 1 T + 1 = T R C ( 1 − z − 1 ) + T G(z)=frac{Y(z)}{X(z)}=frac{1}{RCfrac{1-z^{-1}}{T}+1}=frac{T}{RC(1-z^{-1})+T} G(z)=X(z)Y(z)=RCT1−z−1+11=RC(1−z−1)+TT X ( z ) = Y ( z ) ⋅ R C ( 1 − z − 1 ) + T T X(z)=Y(z)cdot frac{RC(1-z^{-1})+T}{T} X(z)=Y(z)⋅TRC(1−z−1)+T X ( z ) = R C T Y ( z ) − R C T Y ( z ) ⋅ z − 1 + Y ( z ) X(z)=frac{RC}{T}Y(z)-frac{RC}{T}Y(z)cdot z^{-1}+Y(z) X(z)=TRCY(z)−TRCY(z)⋅z−1+Y(z) X ( z ) = R C T Y ( z ) + Y ( z ) − R C T Y ( z ) ⋅ z − 1 X(z)=frac{RC}{T}Y(z)+Y(z)-frac{RC}{T}Y(z)cdot z^{-1} X(z)=TRCY(z)+Y(z)−TRCY(z)⋅z−1Z反变换求差分方程后可得: X ( n ) = ( 1 + R C T ) Y ( n ) − R C T Y ( n − 1 ) X(n)=(1+frac{RC}{T})Y(n)-frac{RC}{T}Y(n-1) X(n)=(1+TRC)Y(n)−TRCY(n−1) Y ( n ) = 1 1 + R C T X ( n ) + R C T 1 + R C T X ( n − 1 ) Y(n)=frac{1}{1+frac{RC}{T}}X(n)+frac{frac{RC}{T}}{1+frac{RC}{T}}X(n-1) Y(n)=1+TRC1X(n)+1+TRCTRCX(n−1)令 A = T R C + T A=frac{T}{RC+T} A=RC+TT可得 Y ( n ) = A ⋅ X ( n ) + ( 1 − A ) Y ( n − 1 ) Y(n)=Acdot X(n)+(1-A)Y(n-1) Y(n)=A⋅X(n)+(1−A)Y(n−1)
2.2 滤波系数
关于滤波系数A,根据幅频特性 f = 1 2 π ⋅ R C f=frac{1}{2pi cdot RC} f=2π⋅RC1所以 R C = 1 2 π ⋅ f RC=frac{1}{2pi cdot f} RC=2π⋅f1代入 A = T R C + T A=frac{T}{RC+T} A=RC+TT可以得到滤波系数A与截止频率f的关系: A = T 1 2 π ⋅ f + T = 1 1 + 1 2 π ⋅ T f A=frac{T}{frac{1}{2pi cdot f}+T}=frac{1}{1+frac{1}{2pi cdot Tf}} A=2π⋅f1+TT=1+2π⋅Tf11
3. 一阶RC低通滤波器的C语言实现
#define a 0.01 // 滤波系数a(0-1)
static float oldOutData = 0; //上一次滤波值
char filter(void)
{
nowData = get_Data(); //本次滤波值
nowOutData = a * nowData + (1.0f - a) * oldOutData;
oldOutData = nowOutData;
return nowOutData;
}
4. 缺点及改善方法
4.1 缺点
- 仍然存在灵敏度与平稳度之间的矛盾;
- 小数舍弃带来的误差(单片机很少采用浮点数,小数位要么舍弃,要么四舍五入)。
4.2 改善方法——动态调整滤波系数
4.2.1 实现功能
- 当数据快速变化时,滤波结果能及时跟进,并且数据的变化越快,灵敏度应该越高(灵敏度优先原则);
- 当数据趋于稳定,并在一个范围内振荡时,滤波结果能趋于平稳(平稳度优先原则);
- 当数据稳定后,滤波结果能逼近并最终等于采样数据(消除因计算中小数带来的误差)。
4.2.2 调整前判断
- 数据变化方向是否为同一个方向(如当连续两次的采样值都比其上次滤波结果大时,视为变化方向一致,否则视为不一致);
- 数据变化是否较快(主要是判断采样值和上一次滤波结果之间的差值)。
4.2.3 调整原则
- 当两次数据变化不一致时,说明有抖动,将滤波系数清零,忽略本次新采样值;
- 当数据持续向一个方向变化时,逐渐提高滤波系数,提供本次采样值得权;
- 当数据变化较快(差值>消抖计数加速反应阈值)时,要加速提高滤波系数。
最后
以上就是单身麦片最近收集整理的关于一阶RC低通滤波器的数学模型及算法实现1. 一阶RC低通滤波器的连续域数学模型2. 一阶RC低通滤波器的算法推导3. 一阶RC低通滤波器的C语言实现4. 缺点及改善方法的全部内容,更多相关一阶RC低通滤波器的数学模型及算法实现1.内容请搜索靠谱客的其他文章。
发表评论 取消回复