一、DCB原理
GNSS差分码偏差(DCB,Differential Code Bias)是由不同类型的GNSS信号在卫星和接收机不同通道产生的时间延迟(硬件延迟/码偏差)差异,按照频率相同或者不同又可以细分为频内偏差(例如GPS P1-C1)和频间偏差(例如GPS P1-P2)。
由于GNSS卫星钟差基准通常定义在某一指定频率(如BDS-2 B3)或某两个频率的无电离层组合(如GPS P1/P2和Galileo E1/E5a)伪距观测量上,因此使用不同频率不同 观测量组合时,必须引入差分码偏差参数进行改正。
以GPS 双频C1-P2数据为例,进行无电离层组合时需加入P1-C1 DCB值将基准修正到GPS无电离层组合的钟差基准。

二、DCB转换至OSB
通过引入一定的基准,可将差分码偏差还原为绝对码偏差。用户进行处理时,则只需要根据选择的观测值类型选择相应的绝对码偏差,如同卫星钟差和接收机钟差修正一样,不涉及到其他类型的码偏差参数,因而也不存在组合问题。
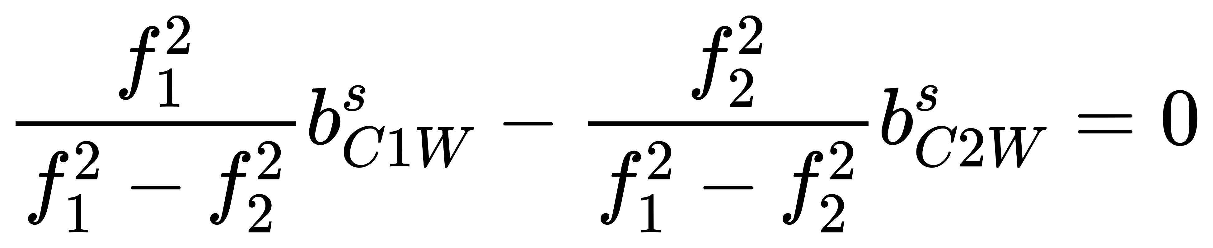
取GPS C1W-C2W,即GPS P1-P2为基准作为约束

又已知
则C1W与C2W的绝对码偏差为


通过对其他差分码偏差值进行解构,最终可以推出所有绝对码偏差值,即为OSB中对应观测码的偏差
三、DCB文件下载
DCB文件主要提供机构:
CODE(欧洲定轨中心)
DLR(德国宇航中心)
CAS(中科院测地所)
GPS DCB
CODE P1-C1 P1-P2 P2-C2
http://ftp.aiub.unibe.ch/CODE/YYYY/
MGEX DCB
DLR CAS *.BSX.Z
ftp://cddis.gsfc.nasa.gov/pub/gps/products/mgex/dcb/YYYY/
ftp://igs.ign.fr/pub/igs/products/mgex/dcb/YYYY/
GPS OSB
COD*****. BIA. Z
http://ftp.aiub.unibe.ch/CODE/YYYY/
MGEX OSB
COD*****OSB. BIA. gz
ftp://cddis.gsfc.nasa.gov/pub/gps/products/mgex/YYYY
ftp://igs.ign.fr/pub/igs/products/mgex/YYYY/
CAS*****OSB. BIA. gz
ftp://cddis.gsfc.nasa.gov/pub/gps/products/mgex/dcb/YYYY/
ftp://igs.ign.fr/pub/igs/products/mgex/dcb/YYYY/
参考文献:
聂文锋.2019.多系统GNSS全球电离层监测及差分码偏差统一处理[D].威海:山东大学(威海)
最后
以上就是拉长棒棒糖最近收集整理的关于GNSS差分码偏差(DCB)原理学习与数据下载地址一、DCB原理二、DCB转换至OSB三、DCB文件下载的全部内容,更多相关GNSS差分码偏差(DCB)原理学习与数据下载地址一、DCB原理二、DCB转换至OSB三、DCB文件下载内容请搜索靠谱客的其他文章。
发表评论 取消回复