Toggle navigation
首页
博客
下载
AI
科技
互联网
会员
中心
会员中心
发布资讯
发布博文
发布资源
首页
文章中心
p2p
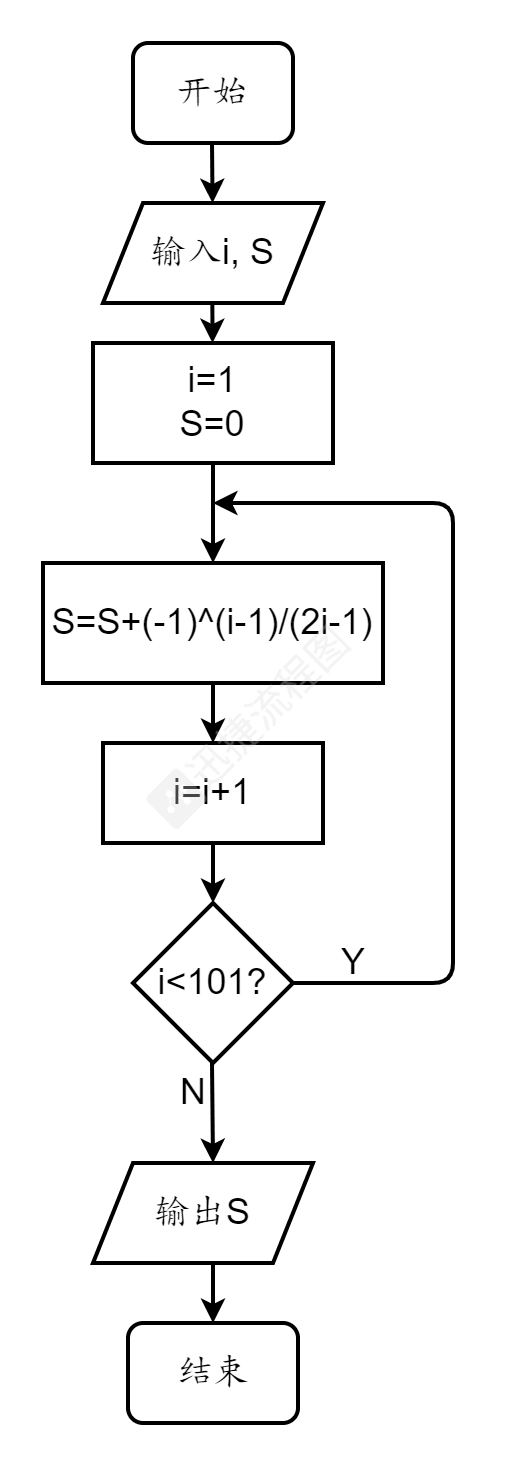
算法流程图
204 阅读
0 评论
135 点赞
我是
靠谱客
的博主
坚强帅哥
,这篇文章主要介绍
算法流程图
,现在分享给大家,希望可以做个参考。
最后
以上就是
坚强帅哥
最近收集整理的关于
算法流程图
的全部内容,更多相关
算法流程图
内容请搜索靠谱客的其他文章。
本图文内容来源于网友提供,作为学习参考使用,或来自网络收集整理,版权属于原作者所有。
点赞(
135
)
本文分类:
p2p
浏览次数:
204
次浏览
发布日期:2023-06-11 18:37:04
本文链接:
https://www.kaopuke.com/article/k-p-k_14_ujokf3_13__23__10_0.html
相关文章
算法和流程图
机器学习算法几种常见步骤(附项目案例)
DFS算法原理及其具体流程,包你看一遍就能理解写在前面DFS算法所解决的问题所需要的数据结构代码结构及解释
十大编程算法助程序员走上高手之路
算法流程图
程序基本功:排序算法经典算法
深度学习 -- YOLO 算法流程详解
java大数运算详解【其七】大数乘法之Karatsuba乘法和ToomCook3乘法
评论列表
共有
0
条评论
发表评论
取消回复
登录
注册新账号
立即
投稿
返回
顶部
发表评论 取消回复