导航
- 前言+总思维图+ppt下载+结课实验下载
- 集总参数电路中电压与电流的约束关系
- 概念
- 定理
- 网孔节点数量经验定理
- 电路的拓扑约束和元件约束
- 支路分析法
- 2b法
- 1b法
- 1b电压法
- 1b电流法
- 网孔分析和节点分析
- 网孔分析法
- 网孔电流模型
- 网孔分析流程
- 特殊情况
- 电流源情况
- 有受控源——引入电流源电压
- 通用解法——超网孔解法
- 节点分析法
- 节点电压(位)模型
- 节点分析流程
- 特殊情况
- 独立电压源
- 受控源
- 电流源和电阻串联的支路
- 超节点
- 小做总结
- 叠加方法
- 线性电路的比例性——网络函数表示
- 前提:线性电路
- 比例性(其次性)
- 网络函数
- 概念
- 策动点函数(driving point)
- 转移函数
- 应用
- 相关:电桥电路
- 叠加原理
- 基本原理
- 其他注意点
- 叠加原理重点在于如何区分单独作用
- 独立源疑惑
- 功率不叠加
- 例题
- 叠加方法如何计算功率
- 无受控源线性电路
- 有受控源情况
- 例题
- 分解方法
- 核心思路
- 单口网络基本特性
- 单口网络伏安关系VCR
- 明确的单口网络
- 求VCR方法
- 纯电阻单口网络VCR
- 含独立源单口网络VCR
- 单口网络置换定理
- 例题
- 单口网络等效电路入门(通过VCR间接等效)
- 应用方向
- 与置换的区别
- 与相等的区别
- 例题
- 仅含受控源的纯电阻单口网络:等效电阻
- 等效规律加强(通过规律直接等效单口网络)
- 应用方向
- 无源
- 有源(按照压流阻可以凑2+2+4种情况)
- 戴维南定理&诺顿定理(重点)
- 核心思路
- 步骤
- 等效电阻的另一种求法
- 戴维南定理在信号处理方面的应用
- 诺顿定理
- 最大功率传输定理
- 综合方法总结
- 动态电路初步
- 概念
- 电容&电感 对偶理解
- 基础原理与本质理解
- 微积分关系VCR
- 记忆性质和连续性质
- 等效电路
- 能量
- 串并联
- 对偶理解各个公式
- 一阶电路
- 前置概念
- 一阶电路
- 换路定理
- 稳态和瞬态
- 一阶电路分解叠加方法的应用思路
- 零状态响应
- 物理过程
- 数学推导
- 求其他非状态量
- 例题
- 零输入响应
- 形式
- 理解:零状态的增减对称
- 例题
- 线性动态电路叠加原理
- 全响应:三要素法
- 理解
- 适用范围
- 具体步骤
- 第二种理解
- 阶跃响应与多次换路叠加
- 阶跃函数
- 二阶电路
- LC电路正弦震荡
- RLC串联电路零输入响应
- 微分方程
- 过阻尼
- 临界阻尼
- 欠阻尼
- RLC串联电路零状态响应与全响应
- 微分方程
- 例题
- GCL并联电路
- 对偶思路
- 例题
- 交流动态电路——相量法
- 变换方法与相量法
- 基本要素定义
- 相量的引入
- 相量与复数的转化
- 相量运算
- 振幅相量
- 例题
- 相量的线性性质和基尔霍夫定律
- 阻抗和导纳——欧姆定律的相量形式
- 经典电路的相量模型
- RLC串联电路
- GCL并联电路
- 一般情况:正弦稳态混联电路
- 特殊:求全响应
- 相量域中的网孔分析和节点分析
- 向量模型的单口网络等效与戴维南定理
- 无源单口:串并联
- 含源单口:戴维南
- 相量图法
- 正弦稳态功率和能量
- 三种元件的功率特性
- 电阻:有效功
- 电感/电容:无功功
- 单口网络功率
- 平均功率
- 无功功率
- 视在功率与综合理解
- 公式总结
- 正弦稳态最大功率传递定理
- 负载阻抗模和阻抗角都可变
- 负载阻抗角固定
- 频率响应与多频正弦稳态电路
- 频率响应
- 基本概念
- 网络函数
- 滤波电路
- 叠加方法的应用
- 非正弦周期信号的分解
- 正弦信号的叠加
- 平均功率叠加
- 非正弦周期激励下的有效值和平均功率
- 例题
- RLC电路的谐振
- 基本概念
- 品质因数Q
- 通频带
- 并联谐振
- 例题
- 小结
前言+总思维图+ppt下载+结课实验下载
电路分析,里面有一些基础的电路知识,学一学对以后有帮助,虽然不能用于生产,但是你生活在一个电构成的现代世界,作为一个计算机科学学生,不学电说不过去。
学点电分,家里的电路看一看,一些元器件也能看一看,关键的是,后面搞科研关于脉冲神经网络也是要用到一些电路知识的,所以学一学还是有好处的。
这一篇是笔记,而非知识摘要,需要搭配ppt食用,更多的是注解,以及可以直接拿来用的结论,单看这一个可能会看不懂,跳跃性比较大。

为了方便学习,这里把ppt放出来
电路分析ppt 提取码:cyyy
电分还让做一个实验,就是设计一个万用表,这里把实验报告+Muitisim文件放出来,供参考学习,其中Muitisim文件把所有选做部分全部完成。
万用表设计 提取码:cyyy
集总参数电路中电压与电流的约束关系
概念
支路(branch):串联的(同一电流)
电线可以随意变形糅合
节点(node):支路
≥
3
geq 3
≥3的点
回路(loop):由支路组成的闭合路径,里面可以有支路
网孔(mesh):里面没有支路的回路,本质上是最小回路,就像一个网的孔一样(注意这只是在平面电路中适用)

我们手算的时候一般采用ppt上的方法,而计算机设计的时候采取法2(但是我tm不就是学计算机的吗?)
定理
网孔节点数量经验定理
m=b-(n-1)
网孔数=支路 — (节点 — 1)
电路的拓扑约束和元件约束
KCL:对于一个节点,流入 = 流出
推广:一个闭合面可以作为节点整体看待(什么是闭合面?)
总计可以列出n - 1 个独立KCL方程,去掉一个节点。
KVL:对于一个回路,绕一圈的电压和 = 0 ,即 上升 = 下降
推广:任意一个通路之间的电压等效于起点和终点之间的直接电压
总结可以列出 b - (n - 1)个独立KVL方程,每一个网孔都列出。
VCR:对于每一个元件,都有自己的I-V关系,但是我们将一个支路的所有元件看成一个整体。
总计可以列出b 个 独立VCR方程,每一个支路都列出。
支路分析法
2b法
独立KCL方程有n-1个
独立KVL方程有b-(n-1)个
独立VCR方程有b个
2b法属于比较机械的,通用的方法,适用于计算机辅助电路分析,但是人算起来没那么好用。
1b法
1b法其实还是列出KCL和KVL,只不过在列的过程中,提前将VCR方程加入,比如用u和r来表示i之类的。
1b电压法
这个方法以电压为未知数
KVL方程有b-(n-1)个
KCL方程有n-1个,但是这里注意可以直接代入VCR了,就是用 U R dfrac{U}{R} RU的写法表示 I I I
注意,这里的节点分析尽量不要选有电压源的支路,可能会引入变量。
最后的边边角角再用VCR去补就行了。
1b电流法
这个方法以电流为未知数
KCL方程有n-1个
KVL方程有b-(n-1)个,这个时候就用电流表示电压 U = I R U=IR U=IR。
同理,这里最好不要有电流源支路。
最后的边边角角用VCR去修补
网孔分析和节点分析
所谓的2b,1b都是指代未知变量的数量。那我们能不能把变量的数量或者方程的数量再精简一下,逐步向着人的计算去过渡?
网孔分析法
网孔电流模型
假设围绕网孔有电流M,则共有b-(n-1)个网孔电流。其有三个优越性
- 完备性。所有支路电流可以由网孔电流线性组合得出。
- 独立性。因为M对于每一个节点都既有流入又有流出,所以KCL定律不生效,对网孔电流总可以求出,0=0的恒等。
- 简洁性。网孔的数量少于支路,所以可以简化变量。
虽然叫网孔电流法,但是既然用到了网孔,实际上还是KVL方程。
而且,我们只适用于平面方程,因为有网孔必然是平面。
网孔分析流程

- 对每一个网孔确定网孔电流参考方向
- 对每一个网孔运用KVL定律,其中每个支路的电流都用网孔电流线性组合表示。
- 注意一个数量关系,我们有b-(n-1)个变量,然后列出b-(n-1)个方程,我们对这几个方程进行变形,表示成矩阵形式,可以直接解线性方程组。
- 我们事后观察一下,实际上每个方程都是这种形式:自电阻电压+互电阻电压=独立电压源电压 上升 和。那么我们以后写方程的时候,可以先列出原生KVL,然后如果熟练了就直接按照上述原则通过观察写出变形模式(快,但是有失误风险,不过我宁愿这样,你在计算化简过程中也可能出现意外)
- 对于4,推荐将所有电流标成同一个旋转方向,这样自电阻就直接+,互电阻直接-即可。
- 不要忘了最后用网孔电流还原回真实的支路电流。
特殊情况
电流源情况
一个重要的点,电流源分压,电压源有流,他们也是基本的电路元件,也是有电压电流电阻的。这里给出第一种解法:

- 那么对于一个电流源,不能使用电阻去分析,所以就应该设置电流源电压,这回引入参数
- 列出网孔分析的基本方程
- 补充电流源对应的KCL方程
- 解方程,求解支路电流,答。
有受控源——引入电流源电压

- 有时候有受控源,这个时候就直接将受控源当做独立源即可,这个过程会引入参数
- 列出网孔分析的基本方程
- 补充受控关系
- 解方程,求解支路电流,答。
通用解法——超网孔解法

(这个图的第三个方程没用)
- 列出超网孔和网孔方程
- 对于超网孔内部,要列出其公共支路上的公式,比如方程4就是一个电流源的关系。对于受控源,也应该列出。总之就是,我们当时通过超网孔忽略了什么,我们就列出什么。

这个题只有一个超网孔,忽略了两项,然后后面补上。
节点分析法
节点电压(位)模型
同理,我们可以取b-(n-1)个网孔分析,我们也可以取n-1个节点分析。同样的,节点也具有完备性(由节点电压求出支路电压)和独立性(电压是独立的不会互相影响),是和网孔分析完全对应的。
节点电压模型:每个节点的电位,不过这个是真实存在的,而网孔电流不是真实存在的。
参考点选择,原则来说是任意的,但是,如果有独立电压源的话最好选在电压源的负极,否则可能会引入电压源的电流,徒增复杂度。
节点分析流程

- 设置0点位点。最好设在电压源的负极。
- 列出所有节点的KCL方程,其中支路电压用节点电压表示,然后使用G电导替代 1 R dfrac{1}{R} R1,这样做有利于保持形式的一致性。注意应该保持电压电流的绑定关系,保持同向。
- 化简得:自电导电流-互电导电流= 流入 的电流源。
- 自电导电流=所有连接支路的电导之和 × times ×节点电压;
- 互电导电流=相邻支路的电导 × times ×相邻节点电压。注意,0电位的电压为0,所以最后会显得“缺项”,即与0电位相邻的支路的互电导不需考虑。
- 计算线性方程组,还原支路电压,答。
特殊情况
独立电压源

在网孔分析法中,出现这种情况就必须引入u(电流源)变量,但是在节点分析中,可以避免这种情况:就是将0电位点设置在电压源的负极上,这样就可以直接求出一个节点的电压。
否则,就设一个i(电压源)算。
受控源

看做独立源,然后补上关系即可。
但是这里注意,我们是把3看做节点的,这是一种特殊情况,当电阻和电压源串联,可以看做电阻和电流源并联:
对于电压源和电阻串联,则中间算一个节点
这是因为,节点法基于KCL,但是电压源伏安特性不由外界决定,比较难分析,所以也可以转化成电流源分析节点法,最后结果相同。
I
=
U
s
−
U
R
s
=
U
s
R
s
−
U
R
s
I=dfrac{U_s-U}{R_s}=dfrac{U_s}{R_s}-dfrac{U}{R_s}
I=RsUs−U=RsUs−RsU
对于电流源和电阻并联,则有
I
=
I
s
−
U
R
I=I_s-dfrac{U}{R}
I=Is−RU
如果想要等效,那就可以得出
R
s
=
R
I
s
=
U
s
R
s
R_s=R \ I_s=dfrac{U_s}{R_s}
Rs=RIs=RsUs
然后这样计算,就可以得出我们的结果了。
电流源和电阻串联的支路

实际上,串联以后,就不算电导了,毕竟你的电流都直接有了,没必要用伏安法算了,直接写到公式右边即可。
超节点
什么时候用?看一下这两个图,可以看到,超节点应该是中间只有一个电压源,可以允许有并联,但是一条支路必然是只有一个电压源的。
这种情况可以避开对电压源的分析,然后电压源的内部关系也很简单直接。

经典的超节点+节点内部关系。
需要注意的是,虽然把超节点看做一个节点,但是在具体的电压还是用最近节点,不会统一。
比如上面这个题,他实际上只有自电导,但是自电导是由两部分组成的,而且电压还不一样。

小做总结


叠加方法
线性电路的比例性——网络函数表示
前提:线性电路
线性电路由线性元件和独立电源组成。
- 线性元件。比如电阻,电导。输入和输出是有固定比例的。画出来的图是线性的。
- 独立电源。独立电流源,独立电压源。受控不算源,因为他不是能量的源头。
其对应两种模式,激励和响应。
- 激励(excitation)。主动提供能量,电路的输入,比如独立电源或者信号源。
- 响应(response)。被动产生变化,如线性元件支路的电压和电流。
比例性(其次性)
线性在数学中有优秀的特性,甚至产生了一门学科《线性代数》。
在 单一激励 的线性时不变电路中,激励和每一个响应的比例都是固定的。为什么是单一激励呢?因为如果是多个激励,那这些激励之间会互相叠加,就结果和其中一个激励的关系不一定是线性的了。
如果是呈比例的,那么如果知道这个比例,就可以通过激励+所有的比例完整地描述一个电路,即使激励变化,重求一次也很容易。
这个比例就叫做网络函数。
网络函数
概念
为什么叫函数?因为对于一个激励(同时对于一个电路),每一个响应都对应一个比例,这种一一对应关系就是函数,只不过是离散的,自变量是响应,因变量是网络函数值
H ( i ) = 响 应 i 激励 H(i)=dfrac{响应_i}{激励} H(i)=激励响应i
策动点函数(driving point)
响应和激励在同一端口。听起来比较抽象,实际上就是,激励和响应之间没隔东西,响应就在激励两端。这样的结果就是,如果激励是电流,再测电流就没有意义了,所以电流激励一定是电压,电压激励一定是电流,这样也产生了策动点电阻和策动点电导。这里比较有意思,点流源对应策动电阻,。
转移函数
与策动点对应,转移函数就是响应和激励中间被隔开了,所以可以排列组合出四种网络函数。
实际上,分策动点和转移函数没啥用,这两个用起来都是一样嘚

应用
比如要求一个支路的电流
正常做法是顺着做,但是反过来,假设电流为1A,反推出激励值,然后通过比例性得出支路电流,这个方法其实高中很多人就用过。

相关:电桥电路
实际上,电桥就是一种线性电路。上面两个端口是激励,AB之间的
u
0
u_0
u0是响应,看最后写出的H,可以直到,当满足一定条件,可以保证
H
≡
0
H equiv 0
H≡0 ,这就是电桥法测电阻的原理。

在满足上述特殊条件的时候,对其中一个电阻轻微变化,响应是和这个电阻变化成正比的。注意化简用了很多近似,比如
R
3
R
1
=
R
2
R
4
=
n
dfrac{R_3}{R_1}=dfrac{R_2}{R_4}=n
R1R3=R4R2=n

叠加原理
基本原理
在单一激励电路中,是呈现比例的,在多激励电路中,响应是各激励 单独作用 时的叠加(直接相加),比如下面这个图。

公式表示:

其他注意点
叠加原理重点在于如何区分单独作用
- 单独作用的核心就是值变成0,对于独立电压源,电压=0相当于短路,电流源=0相当于开路。
- 受控源不算独立,所以和控制源绑定,要有一起有,要没一起没。
独立源疑惑
在节点,网孔法中,受控源被看做独立,但是叠加原理中,受控源不独立。
这是因为,节点网孔分析重在数学,只要表现得像独立就好,但是在叠加原理中,是否独立的判断标准是提供能量,受控源不提供能量,所以不算。
功率不叠加
很简单,功率和电流/电压的关系是平方关系,不是线性的,所以不能叠加。
例题
这道题用了叠加原理以后,就不需要用复杂的KCL和KVL了,直接分压分流,很简单。

这道题较难一些,因为受控源的因素,即使是用了叠加,还得用两次KVL。这里,I由电流源和电压源决定,所以受控源和这两个都有关系,所以就都保留了。

这道题没有难度,仅仅用来揭示道理:只要是线性电路,不需要考虑结构,只需要获得网络函数和激励信息就可以描述电路。
进一步思考,其实每一个点都是激励的线性组合,而线性系数就是网络函数值。

这道题说明了,激励的变化可以看做叠加。
那么进一步思考,我直接改变电路结构,比如并联的我再加一条,那么只要保持线性电路的特性不变,这种改变电路结构的激励变化,也可以看做是叠加。

叠加方法如何计算功率
- 最粗暴的办法就是,通过叠加方法计算出电流和电压,然后P=UI
- 还可以通过总功率为0的特点,来间接计算。
- 如果想要通过直接运用叠加原理, P = ∑ p i P=sum p_i P=∑pi来计算,不行,因为平方关系。
但是实际上还是有一些方法的,只不过其实已经不算是叠加了。
无受控源线性电路
- 功率等于电压源组功率和电流源组功率之和。
- 组内不可叠加。要保留就必须同时保留所有电压源或者所有电流源,不能拆开单算功率再加。
- 即,功率叠加的对象是电流源组和电压源组,而不是单一一个。
比如两个电压源和三个电流源,计算步骤如下:
- 保留两个电压源,通过计算电流和电压来计算功率。此时,内部计算电流和电压的时候可以用叠加,因为用不用叠加,计算电压和电流肯定是一样的。
- 保留三个电流源,通过计算电流和电压来计算功率。同上。
- 两项加起来。由此可见,永远都只有两项相加。
有受控源情况
受控源可能提供功率,也可能消耗功率,比较特殊。
例题
这道题说明了不可以把电流源/电压源组内拆开

一个电流源和一个电压源,相当于单个成一组,所以表面上是单个拆开了,实际上还是分了两组。

这道题是一道综合运用。p2的变形比较好,将处于核心的恒流源剥离出来,看的比较清楚。p3的变化也有点意思,直接生出一条干路来。
列方程的思路,总的来说,核心就是未知量设成我们要的两个,然后再用KCL,KVL万金油。
- 恒压源单独作用。比较简单,就直接电桥分流。
- 恒流源单独作用。看起来复杂,但是变形一下就还是电桥分流。注意桥型结构分流和分压都是可以算出来的,所以将电流源剥离出来以后,用电阻分流就可以算出
I
2
′
′
和
I
4
′
′
I^{primeprime}_2和I_4^{primeprime}
I2′′和I4′′。



分解方法
核心思路
- 将一个电路分解为两个单口网络(规定好方向)。本质上是解耦,两个单口网络互不影响。
- 分析法:在单口网络内部,通过单口分析方法以及后面的定理计算单口的VCR。
- 测量法:对着单口直接用物理方法测VCR
- 通过两个单口的VCR,综合得出工作点(u,i)
- 后面还可以进行进一步操作,比如置换定理,来分析出单口内部的支路电流和电压
单口网络基本特性
单口网络伏安关系VCR
明确的单口网络
注意单口内部不可以与网络以外的任何变量相耦合,比如受控源,变压器磁场作用等。
还应该注意,不要被图里电流标的位置误导,应该自己脑补,这样才能进行最完美的一分为二。
求VCR方法
注意,单口两端点是可以有电压,以及电流的,而断路不可以有电流。
直接列比较麻烦,略过。剩下两种,这两种虽然是假想的源,但是在分析过程中,应该算上,比如叠加方法,就要考虑这个源。


纯电阻单口网络VCR

含独立源单口网络VCR
这个后面用戴维南分析。

单口网络置换定理
对于一个分解后的网络,若求得端口为(u,i),那么就可以将B单口网络,直接换成u或者i的电源,不影响A的状态。
这个也很合理,反正单口网络可以看成U I黑盒,至于里面有什么无所谓,U I特性不变随便换(不考虑动态电路)
为什么要置换?因为置换可以将另一半单口变成一个电源,复杂的电路变成简单的电路,这样求一个单口内部的电路就非常简单了。
同时,置换成电源,也表达了不变的意义,强制其固定为某一个值,这在后面分析动态电路的时候也会用到。总之,如果有一部分的电流或者电压恒定不变,那就可以直接置换。
例题
注意这里列的VCR公式。
- 左:加流求压法后有三个源,所以用叠加原理。包括引入的电流源在内的三个源,分别单独作用,叠加。由此可见,加流求压法的流在叠加计算时要考虑。不推荐使用加压求流,因为受控源是被电流控制,引入u徒增未知数。
- 右:加流求压,简单电路可以直接节点分析。
求得两个端口的VCR以后,联立得到工作点,然后通过置换定理计算目标量
- 左:用电流源置换这是因为左边有一个被电流控制的源。
- 右:用电压源置换这是因为右边只有一个电压源,可以用电压关系简化。


单口网络等效电路入门(通过VCR间接等效)
应用方向
- 对单口网络直接化简。配合计算VCR后的间接化简,将网络化到最简。
- 在电路分析问题中,在不影响求未知量的前提下,将一部分网络(单口网络)化简,便于求解目标量。
与置换的区别
单口网络可以被整体看做一个元件,其具有确定的VCR。如果两个单口网络的VCR完全相同,那么这两个电路就是等效的,可以被替换,简化。
置换将单口置换为电源
等效将单口等效为另一个单口
置换是VCR上一点的置换,VCR曲线整体不一定相同
等效就是处处可以置换。所以可以说,等效是广泛的,彻底的置换。
置换是针对两个单口网络的,是对工作点的描述,利用。所以置换依赖于两个单口。
等效是针对一个单口网络的,是对单口网络的描述,利用。所以等效不依赖其他单口。
与相等的区别
等效不是相等。内部的结构可能不一样,电源提供的功率和消耗的功率也可能不一样,只不过对端口表现出来的特性是一样的。即,等效是对外等效,但是内部不一定等效。
例题
使用等效电路化简,将电路等效为最简。

仅含受控源的纯电阻单口网络:等效电阻
纯电阻可以等效为一个电阻,称作输出电阻,含有受控源也同样成立,只不过可能等效出的电阻为负数。
后面戴维南会对这个进行拓展

等效规律加强(通过规律直接等效单口网络)
应用方向
- 对单口网络直接化简。配合计算VCR后的间接化简,将网络化到最简。
- 在电路分析问题中,在不影响求未知量的前提下,将一部分网络(单口网络)化简,便于求解目标量。
无源
直接对电阻进行串并联化简,如果比较复杂,可以使用网孔或者节点分析。
有源(按照压流阻可以凑2+2+4种情况)
结论:无论是受控源还是正常源,因为他在加压加流方面都表现出了源的特性,所以具有一样的规则。
基础:压串阻,流并阻
电压源串联电阻与电流源并联电阻可以互相转化,并保持电阻不变,而是改变电源的性质与大小。
公式也不用计,要求电流,无非就是
U
R
dfrac{U}{R}
RU,现在只有两个量,直接套就OK,电流转电压也同理。
进一步,不仅仅是一个电阻,可以串很多,也可以并很多,只要满足这个关系,就可以变换。
注意,电流源是标方向,电压源标正负,但是实际这两个应该是统一的。
再次强调,等效并不是相等,只是对外表现相同,内部的功耗,电压,电流分布完全不同。

多余电阻:压并阻,流串阻
电压源和电阻并联,对外的VCR仍然是水平线,所以有没有并联都无所谓,这些称作多余电阻。
电流源与电阻串联,对外VCR也不变,所以也是多余电阻。
多合一:双流双压
两个电压源串联,两个电流源并联,可以直接相加合并。
两个电压源并联,两个电流源串联,也可以直接看做一个,但需要苛刻的条件:相等,否则错误。
例题
这道题连续变换两次。

第一种解法,用网孔分析,所以就用加压求流法,因为网孔分析基于KVL,电压源便于分析。反过来,如果感觉要用节点分析,就加流求压。
第二种解法,通过逐层变换,合并,最终简化。


这道题的化简思路是,先直接化简,再间接化简。

这道题重申了,节点分析的时候,压阻串联的支路里,电压源和电阻之间是要算节点的。或者选择变换成流阻并。

戴维南定理&诺顿定理(重点)
核心思路

结论:凡是线性单口网络,都可以等效为压阻串单口网络,VCR:
u
=
A
i
+
B
=
R
0
i
+
u
o
c
u=Ai+B=R_0i+u_{oc}
u=Ai+B=R0i+uoc
注意方向,如果电流方向和电压方向相反,那么公式就变成了 u = − A i + B u=-Ai+B u=−Ai+B
其中,B由电路中的独立源决定,A由纯电阻和受控源决定。
这个定理非常的牛逼,直接将线性单口网络的特性彻底统一,将电路分解为线性部分和非线性部分,就可以直接将线性部分用戴维南化简,便于求非线性部分的未知量。
步骤

- 判断问题。未知量以外都是线性的。可以用。至于未知量是不是线性的,无所谓。
- 分解电路。未知量以外的电路分解出一个线性单口,越大越好。
- 求B。开路,求电压。
- 求A。去源,求等效电阻。仅去独立源,受控源保留,否则就不会有A可能是负值一说了。去源方法是电流开,电压短。
- 将线性单口部分等效替换,求目标量。

等效电阻的另一种求法
通过公式可以观察得出,令u=0(短路),则 0 = A i + B 0=Ai+B 0=Ai+B,则 A = − u o c i s c = − 开路电压 短路电流 A=-dfrac{u_{oc}}{i{sc}}=-dfrac{开路电压}{短路电流} A=−iscuoc=−短路电流开路电压
电流和电压标向相同,则有负号,反向则 A = u o c i s c = 开路电压 短路电流 A=dfrac{u_{oc}}{i{sc}}=dfrac{开路电压}{短路电流} A=iscuoc=短路电流开路电压
第一问将线性部分剥离出来,然后求开路电压,求开路电压的过程也运用了等效。
第二问可以用短路电流法求,重点说一下方向,由图,电流方向标反,所以直接用开路电压除以短路电流即可,不用额外加负号(但是还可能出现负号情况,比如I本身就算出负的)
第二问还可以用老方法,去源算等效电阻法。这里看出,去源保留受控源。这里电流方向标反,所以用负号修正
区分一下两种负号修正:
- 短路电流法中的这种修正是根据短路公式给出的,短路公式由短路电流标向决定,这个只能死记硬背,因为戴维南定理的图和公式你没推。
- 去源等效电阻法的修正是根据实际电阻的含义定的,如果电压和电流同向,就不用加负号,反向就加负号,符合实际意义。


这道题就是戴维南常规方法,开路电压,去源等效电阻。

这道题难度较大。给三个式子,就要你找三个未知量描述R I关系
核心在于,当你对一个电路一头雾水的时候,可以尝试用戴维南将其转化为两个未知数,简单粗暴。
首先把左边用戴维南等效,然后变出两个未知数去表示
I
2
I_2
I2。
然后用置换定理,把
I
2
I_2
I2和电阻置换成电流源。
之后用叠加表示I,因为
I
2
I_2
I2单独作用时,不知道N内部什么情况,所以引入第三个未知量,网络函数。
实际上还有第四个未知量,
I
1
I_1
I1,但是我们最终的目标不是求出具体,而是获得R I关系,所以可以合并未知数为三大个。
最后解出。

戴维南定理在信号处理方面的应用
应该是有利于直观理解一些趋势,甚至还能上手算。


诺顿定理

戴维南将线性单口网络简化为压阻串,压阻串可以等效为流组并,用的时候不需要直接用诺顿,可以先用戴维南,然后根据电路情况决定是否转化。
最大功率传输定理
这个定理高中就见过了,就是最大功率的问题。
对于负载线性黑盒N的电阻,其负载功率是可以表示出来的,最大功率也可以算出来,直接求导极值点给出来就ok。
结果如高中: R 外 = R 0 ( 等效电阻 ) R_外=R_0(等效电阻) R外=R0(等效电阻) p m a x = u o c 2 4 R 0 quad p_{max}=dfrac{u_{oc}^2}{4R_0} pmax=4R0uoc2
也不用记,记住个相等,然后功率现推就好。
下面的说明,这个状态是最大功率匹配状态,但对于传输效率来说,不一定最大。
对
u
o
c
u_{oc}
uoc的意思是,仅仅对戴维南等效后功率的传输效率是50%,真实的不一定,因为等效原理不保证电路内部结构,功率不变。

这道题运用了最大功率传输定理,同时第三问也说明了,实际传输效率和等效戴维南电路即使是相等,也只是巧合。


综合方法总结
- 求开路电压和短路电流的时候,单口网络变成一个真正的电路,可以运用所有电路分析方法
- 求R的时候,本质上是在用戴维南思路。如果纯电阻,可以直接串并联化简。如果有受控源但是没有独立源,就用加压求流或者加流求压算出VCR,意料之中的会得到一个等效电阻。如果有独立源,就用戴维南的去源算法(注意方向),或者是开路电压/短路电流法(注意方向)



在这里插入图片描述

动态电路初步
概念
- 电阻电路。状态只和当前激励有关,没有记忆性(memoryless)
- 动态元件。伏安关系涉及到积分和微分,电容和电感被称作动态元件(dynamic element),这种元件的描述还要引入时间维度。
- 动态电路。含有动态元件的电路
集总电路不是电阻电路就是动态电路,但无论是那种,KCL和KVL都基于守恒定律,在任何时候都成立。
电感和电容实际上是对偶量,所以我要从对偶的角度去写这个解释。其中有一些名词:
- 充能速度。电容指i,电感指u
- 积累量。电容指q,电感指 ψ psi ψ
- 状态量。电容指u,电感指i
- 常量。电容值C,电感指L
电容&电感 对偶理解
理想电容不导电,实际是有导电的,所以实际电容相当于理想电容并一条漏电支路。
同理,实际电感也会耗电,实际电感相当于理想电感串耗电电阻。
基础原理与本质理解
这一部分刚开始可能看不懂,但是值得反复品读。读懂了这张图,对电容和电感的现象就可以很容易地接受了。
从能量的角度理解电容,实际上电容的能量是通过i充能的,将q积累起来,q和u绑定,这两个都和能量水平对应。电感则是u作为充能速度的描述,将 ψ psi ψ全磁通积累起来, ψ psi ψ和 i i i绑定,所以在电感中i作为描述能量水平的量。
注意这个u,从上面可以看出,u实际上是感应电压,但是在计算中往往用实际加在电感上的电压计算,这是因为,理想电感没有电阻,所以实际上没有电压,这就意味着感应电动势和加在上面的电压总是相等。

充能速度,既然是速度,自然有微分关系,所以就有了:积累量微分=充能速度
i
=
d
q
d
t
u
=
d
ψ
d
t
i=dfrac{dq}{dt} quad u=dfrac{dpsi}{dt}
i=dtdqu=dtdψ
一般的电容和电感都是线性时不变的,即恒定的。所以有:积累量/状态量=常数
C
=
q
u
L
=
ψ
i
C=dfrac{q}{u} quad L=dfrac{psi}{i}
C=uqL=iψ
后面的公式都是由这两个推出来的。
微积分关系VCR
由上面两个公式得:
i
(
t
)
=
d
q
d
t
=
C
d
u
d
t
u
(
t
)
=
d
ψ
d
t
=
L
d
i
d
t
i(t)=dfrac{dq}{dt}=Cdfrac{du}{dt} \[5pt] u(t)=dfrac{dpsi}{dt}=Ldfrac{di}{dt}
i(t)=dtdq=Cdtduu(t)=dtdψ=Ldtdi
这个由充能过程直接得出状态变量的微分
对其积分得最终状态变量:


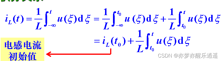
记忆性质和连续性质
既然是积分,自然有记忆性质,积分也是从负无穷开始积分的。
连续性质在于,只要充能速度是有限的,状态量的变化就不会跃进,是连续的。这个也很好理解。
这道题揭示了:速度可以跃变,但是积累不可以跃变。


等效电路
等效的意思是,将曾经积累的状态量,单独抽出来变成一个电源,剩下的理想动态元件从当前,从0开始继续积累。


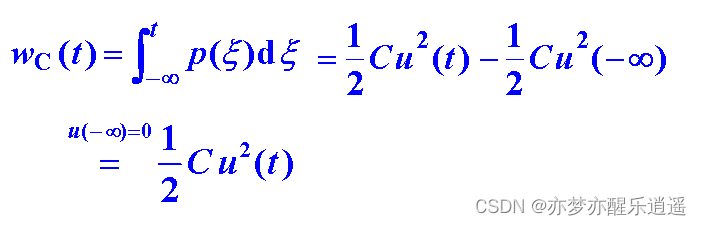
能量
如最开始的公式描述:
功率两个是一样的:
p
=
u
i
p=ui
p=ui
能量=
1
2
常量
×
状态
量
2
dfrac{1}{2}常量times状态量^2
21常量×状态量2


储能=能量2-能量1
串并联
电容和电阻反过来,电感和电阻同步。
具体公式就不给出了。
对偶理解各个公式
其实前面已经给出了,这里直接给出具体的结果



一阶电路
前置概念
一阶电路
一阶电路里只会有一个动态元件,无非就是RL,RC电路,所以微分方程也只会有一阶微分。
下面的内容以电容+戴维南为主,电感则对偶一下即可。
对应的,二阶电路有两个动态元件,即RLC串联和GCL并联电路。
换路定理
换路:电路结构变化
换路定理:在换路瞬间,状态变量保持不变,不可跃变(这个可以当成一个关系用)

例外情况是,换路瞬间有 无界量
- 激励为冲激电源
- 强制换路。电源和动态元件之间没有电阻,电流无穷大。
稳态和瞬态
- 稳态。电路的所有变量,不随时间而变(直流),或者随着时间周期变换(交流)
- 瞬态。从一个稳态到另一个稳态的过程,电路不稳定。
瞬态的本质:动态元件的能量储存释放需要在时间上积累。所以要发生瞬态,必须要有动态元件且电路发生换路。
方程描述:
- 稳态。用代数方程组描述
- 瞬态。用微分方程组描述
一阶电路分解叠加方法的应用思路
- 运用分解方法,将电容外面的线性单口变成戴维南形式。
- 运用等效方法,将有初始值的电容等效为0初始值电容+电压源。
- 运用叠加方法,分别计算两个电压源的响应,全响应=零状态响应(仅输入)+零输入响应(仅自己漏电)。
零状态响应
物理过程
零状态就是初始状态为0,物理过程为:
- 换路前稳态。电容开路
- 换路瞬间。电容短路,电压全加到了电阻上,电流最大
- 瞬态过程。电流逐渐缩小,电量逐渐增大
- 新稳态。电容开路,电压全在电容上。
数学推导
微分方程:
R×常量×状态变量微分+状态变量=电源量
也可以不用状态变量写,但很不方便,最后还得变成状态变量形式。
由KVL得来
R
C
d
u
c
d
t
+
u
c
=
U
s
C
d
u
c
d
t
=
i
c
RCdfrac{du_c}{dt}+u_c=U_s quad Cdfrac{du_c}{dt}=i_c
RCdtduc+uc=UsCdtduc=ic
电感微分:

求解过程(到时候不用写,理解一下就好):

最后结果:
u
c
=
U
s
(
1
−
e
−
t
τ
)
τ
=
R
C
(时间常数)
u_c=U_s(1-e^{frac{-t}{tau}}) quad tau=RC(时间常数)
uc=Us(1−eτ−t)τ=RC(时间常数)
至于电流就求导×C即可
理解下形式:
- 首先有一个常数项,这个代表了最终的状态。
- 然后就是一个随时间变化的系数,这个系数从0长到1,先快后慢。
- 以上两点说明,零状态在系数上是可以叠加的,即多个电压源的零状态可以叠加。
- 这张图说明,如果按比例描述速度的话,速度只和RC有关,与U无关。

能量:
比较有趣的是,最终电源提供的能量,一半被消耗,一半被冲进电容。
求其他非状态量
先算出状态变量,然后用置换定理,将电容换成电源,计算其他部分。
例题
很常规的思路,用戴维南简化电路,一看是个电容,就直接串联就OK。
先求出状态变量,然后再求干路电流,用KCL求即可。

这道题还是经典思路。是个电感,所以诺顿,先求短路电流,然后等效电阻,算出时间常数。
最后列公式,求解状态变量。
i
1
i_1
i1就是非状态量,对着左边的网孔直接来个KVL(串并联)就算出了。


这道题就是通过u反向求t。同时说明,一般默认5t就是充满了。

零输入响应
形式
最终形式其实就是零输入的反方向,零输入是增长,这个是减少,规律都是一样的指数规律。
u
c
=
U
0
e
−
t
τ
u_c=U_0e^{frac{-t}{tau}}
uc=U0eτ−t

理解:零状态的增减对称
最终形式其实就是零输入的反方向,零输入是增长,这个是减少,包括经过的时间对应的比例也少了,同样是用1减以后的结果。
因此,零输入应该也是叠加的,但是实际上不会有多个C/L所以习惯说零输入不可叠加。

例题
同样是戴维南简化,而且没有电压源,更无脑了。

这道题后面注意平衡一下方向,看情况加负号。


线性动态电路叠加原理
将上面的进行抽象,可以写出下面的公式
全响应=零输入响应+零状态响应

零输入不叠加,零状态可叠加,但是加起来(全响应)不可叠加,这也可以理解。
即:全响应和激励不成线性关系,而是全响应的一部分(零状态)与激励成线性关系。

全响应:三要素法
将全响应公式组合一下,得到新形式:
y
(
t
)
=
y
(
∞
)
+
[
y
(
0
+
)
−
y
(
∞
)
]
e
−
t
τ
y(t)=y(infty)+[y(0_+)-y(infty)]e^{frac{-t}{tau}}
y(t)=y(∞)+[y(0+)−y(∞)]eτ−t
理解
以上公式可以分三段理解:
- 最终稳态状态
- 瞬态变化区间
- 瞬态变化系数
需要求三要素:
- 初始值
- 最终值
- 时间常数

适用范围
状态变量和非状态变量。
之所以这么广泛,是因为电路足够简单,线性部分都是线性关系,所以变化规律也是一样的。
具体步骤
- 求初始值。换路前是稳态,等效后,求出 u c ( 0 − ) u_c(0_-) uc(0−)。换路一瞬间,电容短路, u c ( 0 + ) = u c ( 0 − ) u_c(0_+)=u_c(0_-) uc(0+)=uc(0−),其他自行计算。
- 求稳态值。正无穷是稳态,等效求。
- 求时间常数。戴维南等效,求 R 0 R_0 R0,算 τ tau τ
等效如图:


第二种理解
前一种理解是方便画图,将公式整合为 最终稳定项(稳态)+区间变化项(瞬态),即一个最终目标+变化项

另一种理解是,固有响应(零输入)+强制响应(零状态),即两个变化项互相抵抗合并。
这道题进行一通变换,合并,最后变成了超级简单的电路。所以说,分解,叠加与等效这些方法是无处不在的。
第二问用KVL,所以说这种基本功要下意识练出来。


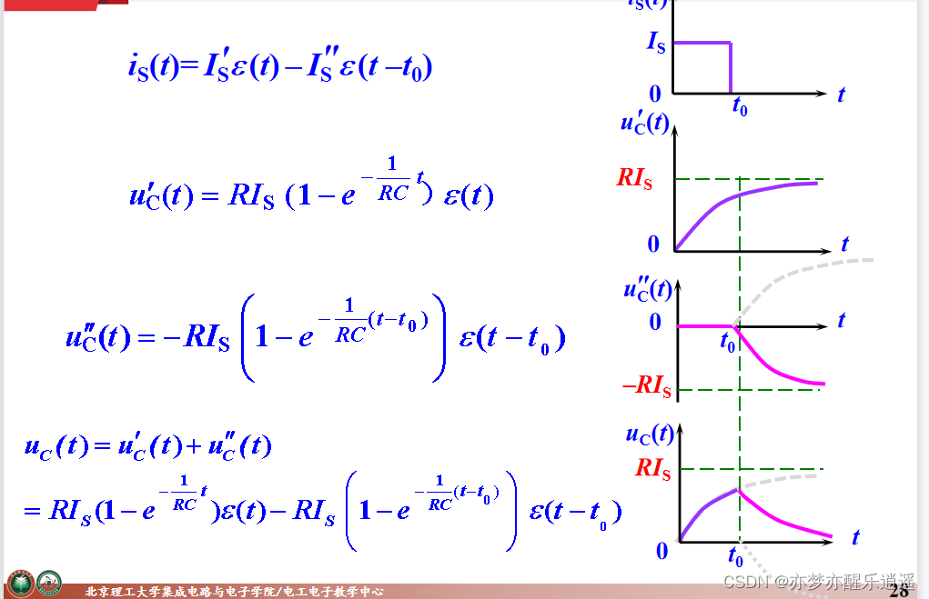
阶跃响应与多次换路叠加
这道题的电路简化比较特殊。
同时,这道题采用了分段处理的方法,其实还可以用阶跃响应来计算,形式上会更统一一点。


阶跃函数
阶跃函数的本质,就是从某个时刻开始,对这个函数的值进行一个永久的改变,并保持状态。

阶跃函数的应用之一,就是用来表示换路,这样就不用分段了。

这个例子生动地说明了阶跃函数的本质。对于一个信号源,有几次变化就给他叠几个阶跃函数,配上系数可以做到控制变化的幅度。对于一个频繁换路的源,用这几个阶跃函数分别单独作用于电路,然后用叠加定理求出结果。如果还有零输入响应,就再将零输入叠加进去。
其实分别叠加也很简单,就是把阶跃函数和时间常数上面的
t
t
t 换成
t
−
t
0
t-t_0
t−t0即可,前面再加个阶跃信号的幅度修正。

这道题说明了,分别叠加非常方便。


二阶电路
二阶电路具有两个动态元件,列出的微分方程会有二阶微分。
这时就需要解二阶的常微分线性齐次方程了,用特征根法。
LC电路正弦震荡
平常不会遇到LC电路,但是刚开始从LC入门有助于理解。后面的RLC才是重头戏。

电流为0时,电压最大,开始加压
电压为0时,电流最大,惯性将电流保持住,导致对电容反向充电
就像钟摆,电压充当加速度,电流充当惯性作用
大胆猜想:这个震荡是正弦震荡。
结果也确实如此:

RLC串联电路零输入响应
微分方程
电感 + 阻尼 + 电容 = L C d 2 u c d t 2 + R C d u c d t + u c = 0 电感+阻尼+电容=LCdfrac{d^2u_c}{dt^2}+RCdfrac{du_c}{dt}+u_c=0 电感+阻尼+电容=LCdt2d2uc+RCdtduc+uc=0
初始条件两个,一是电流,二是电压,电流电压可以通过微分关系求得。
解通解的时候,用特征根方法:


我们习惯将复数的实部与负号分开,始终保持
α
>
0
alpha>0
α>0,后面是有实际意义的,这代表衰减的速度。
理解一下这四种形式。
- 无阻尼。无阻尼和欠阻尼的区别就是,无阻尼不衰减,所以没有外面的衰减系数。
- 欠阻尼。首先外面有个衰减系数,指数中 α alpha α为解的实部。然后里面是震荡项,因为有虚数,所以用欧拉公式变出两个三角函数, ω d omega_d ωd是角速度,为解的虚部,cos和sin各有一个振幅K,这个要通过初始条件计算。注意结果可以用辅助角合并,这样也有利于画草图识别波峰波谷。
- 临界阻尼。解只有一个实部,没有虚部,所以外面的衰减项不变,但里面没有震荡项为线性公式 ( K 1 + K 2 t ) (K_1+K_2t) (K1+K2t),同样通过初始条件计算。
- 过阻尼。解有两个实部,所以有两个衰减项。没有震荡项,只是
K
1
,
K
2
K_1,K_2
K1,K2,通过初始条件计算。

过阻尼
先判断阻尼情况。
然后列微分方程走个过场。
直接给出特征方程解
α
,
ω
d
alpha,omega_d
α,ωd,然后写出微分方程通解。
代入初始条件,算出两个常数。
看一下最后的图,有一个神奇的先加速后减速效果,其实电流最大的时候,电压本来是应该要反弹的,但是反不动了,就双双减弱。这也呈现出一种滞后性,不同步性。
这个图告诉我们,过阻尼只是不会进行震荡,但是该穿中线,还是会穿,这取决于初始状态。
但最值始终在第一个波峰(注意波谷情况)



临界阻尼
还是一样的流程。

欠阻尼
一样的流程,但是结果写法可以注意下。结果并不直观,不利于画图,所以用辅助角合并一下。

振幅是一个向量和。
角度,因为tan=sin/cos,所以是sin部分除以cos部分,只不过前面带个负号

这道题是反着求L和C,即通过解的形式反推特征方程,思路差别不大。

无阻尼就不写了,就是只有虚部没有实部,没有振幅衰减系数。
RLC串联电路零状态响应与全响应
微分方程

零输入,则没有电源,是齐次方程。零状态有电源,是非齐次方程,非齐次通解=其次通解+非齐次特解
所以零状态就求个特解就好了。
特解又非常特殊,恰恰就是电源值=
U
s
1
dfrac{U_s}{1}
1Us。这其实也很合理,因为最后将能量衰减完毕后,电路是稳定状态,电源值就是稳定时候必然的结果。
公式还告诉我们,最后可能发生上冲现象。


例题
这道题就是常规思路。先求齐次通解,然后用u作为非齐次特解,叠加。


这道题具体解释了上冲现象。虽然最终会达到稳态,但是会有超过稳态的状态量出现。
同时也说明了一种电火花发生器的工作原理。




GCL并联电路
对偶思路
GCL并联电路,就彻底对偶就好,从戴维南换成诺顿,然后公式全部对偶。


例题
这道题反着来,但是套路一样。
重点在于充分挖掘信息,这个没有具体的方法。


交流动态电路——相量法
学完交流部分以后,我感觉,交流动态电路将交流变到相量域后,形式反而更简单了,不需要考虑线性元件和非线性元件,一视同仁,回归了最初的串并联,只不过需要费心在复数域里计算和思考罢了。
之所以有上面的结果,是因为只要达到交流稳态,所有支路的电流电压,在形式上一样,都是正弦形态,只是,相位会有偏差,振幅也会不同。
变换方法与相量法
首先明确,在交流电源的激励下,只要达到交流稳态,所有支路的电流电压,在形式上一样,都是正弦形态,只是,相位会有偏差,振幅也会不同。
基本要素定义
统称正弦量,但是实际上却常用cos。基本的,振幅,角速度,相位,初相。
角速度又被叫做角频率,这是因为 ω = 2 π f omega=2pi f ω=2πf,形式上是将频率应用角度域了。
振幅有以下表示
- 瞬时值,通常用小写字母 i , u i,u i,u
- 最大值,通常 U m U_m Um
- 有效值,通常用 U U U,且 U = U m 2 U=dfrac{U_m}{sqrt{2}} U=2Um
正弦波如果角速度相同,那么正弦波之间根据初相差异,会有三种特殊关系。
- 同相。同大同小
- 反相
- 正交。相位差的绝对值为90°

相量的引入
通过上面的结论,发现正弦激励下电路中所有的量都是以同样的频率变化的,那么就相当于少了个未知数。在这种情况下,如果可以引入一个只和振幅+初相有关的量,就可以进行简便的计算,这就是相量,而相量与复数相关,所以后面进行的计算基本都是复数运算,但是很简单,最后将结果相量还原为时域即可。

相量不是向量。这里要进行几个区分:
- 复数:实部+虚部
- 图形中的向量。是一个箭头,用于表示复数。
- 线性代数中的向量。一个n维量,对应n维空间,没有虚实之分。
- 相量。是图形向量的数学描述,用箭头的模(复数模 |Z|)和角度(复数幅角,Arg z)描述箭头(有点极坐标的味道)。请注意,虽然写在一起,像是乘法,但是实际上这两个不是直接相乘,只是在一些特殊运算中可以表现出一点乘法性罢了,走运。


相量与复数的转化
这是核心公式,复数=实部+i*虚部=欧拉公式变换后的式子=相量表示法


相量运算
- 加减。使用复数形式,实部+实部,虚部+虚部。或者使用图形,进行平行四边形法则。
- 乘除法。使用相量形式,模除模,角度相减(因为在欧拉形式里,角度是在指数位,指数除就是指数位相减)。
- 上面可以看出,相量和线性代数向量彻底不一样了,线性代数向量乘是点乘,结果是实数,且线性代数向量不可以除,但是代表复数的向量可以除。
- 乘除的本质:模缩放与旋转,如果乘一个模为1的相量,那就仅仅是旋转了,所以引出旋转因子。
- 旋转因子。 i i i 作为相量,本身就是在虚轴上,所以乘以 i i i 代表逆时针转90°, − i -i −i就是顺时针90°, − 1 = i 2 -1=i^2 −1=i2 代表转180°。
- 乘方。相当于n次缩放,n次旋转。 z n = r n e i n θ z^n=r^ne^{intheta} zn=rneinθ
- 开根号。模开根号,而角度等分n份。

振幅相量
这是振幅向量和时域正弦量的转化。Re指取实部(real)
- 正弦电流=电流相量取实部
- 电流相量=振幅相量被偏移作用
- 偏移和角速度有关。但是我们实际上计算不需要加偏移,因为最终的所有路的偏移都是一样的,我们只需要用表示振幅+初相的振幅向量来计算出相互关系即可。

给出振幅相量的定义和写法:
其实就是头上带个点。这个是最大值相量,还有有效值相量,就是把最大值变成有效值。平常都是用有效值计算,因为电流表电压表给出的值就是有效值相量的模。振幅相量还有个好处,就是可以将同频的振幅相量画在一个图里,进行图形化的计算。


正弦量和振幅向量可以互相转化,等价。但是请注意,不是相等。
- 正弦量是实数域的
- 振幅向量是复数域的

例题
这道题让人熟悉域转化。把时域正弦量中的振幅+初相提取出来就可以生成振幅相量。振幅相量变成有效值相量,然后再用有效值向量去计算。

使用三角变换,保持模大于零,以及cos形式。也可以直接画图来进行直观的三角函数变换。

相量的线性性质和基尔霍夫定律
转换为相量后,你会发现所有器件都是一样的形式,不论线性还是非线性元件。在相量域下,整个电路就是线性的。
实际上就是三角方法的可视化理解,三角方法不适合直接结算,但是相量好计算,而且可以将规律迁移过去。


基尔霍夫定律,形式也不变,但是需要注意,必须要有角度,一个i实际上综合了振幅和角度,虽然形式化简了,但是计算起来还要引入新的量。

阻抗和导纳——欧姆定律的相量形式
阻抗,广义电阻,相量形式,导纳,广义电导,相量形式。相量中阻抗包括感抗+容抗,导纳包括感纳,容纳。
快速记忆:
- 电感中,电压比电流超前90°,所以要乘以 j旋转因子,电容里电压落后90°,所以乘以-j 旋转因子。
- 具体的值就是,电感阻抗为 ω L omega L ωL,电容阻抗因为-j旋转因子,所以是负的,为 − 1 ω C -dfrac{1}{omega C} −ωC1。记住这个就行了,至于导纳,就是阻抗的导数,注意复数的正负即可。
- 下标, Z代表总阻抗, Z R Z_R ZR代表纯电阻部分阻抗,X代表虚数部分的阻抗(电抗),其中 X = X L + X C X=X_L+X_C X=XL+XC,但是请注意,阻抗是相量,是复数,这个一定注意,虽然阻抗没带点。

经典电路的相量模型
RLC串联电路
这里可以感觉到,阻抗的相量性。实际上阻抗也就是相量,也有阻抗角,如果电感阻抗模大,那么就呈现电感性,否则就呈现电容性。最后反映到U和I的关系就是U和I的超前和之后。
这里阻抗角有两种写法,代表两种含义。
- arctan形式。这个是从阻抗本身的相量性来说的,X就是虚部,R是实部
- u相位-i相位,这是因为
I
=
U
R
I=dfrac{U}{R}
I=RU,I是U相量除以Z相量的结果,所以U应该比I超前一个阻抗角。

这个图也明确地说明:串联的电压求和是相量和,而不是简单的模相加。而且代表电感的电压和代表电容的电压总是相反的。而代表电阻的总是在中间。最后合并为一个电压相量

这道题就是很传统的,先算阻抗,再用电源除以阻抗得到电流相量,最后用电流相量乘以分阻抗得到分电压。
注意有效值和最大值相量的转换。一般是先把时域正弦量转化为有效值相量,一方面是转化为相量,另一方面顺便转化个有效值。
画出相量图以后发现,三个分阻抗的关系如前面所描述,而其中纯电阻阻抗相量总是和电流相量同向,这也很符合实际,因为纯电阻就是瞬时变的,是彻底的同步。



这道题稍作变化,但是还是脱离不了欧姆定律,列出式子后,同时取模,就发现Z的模不能变,后面就简单了。
第二问其实蕴含一个道理,就是RCL串联电路要想达到最大电流,就需要让容抗和感抗抵消,让电路呈现出纯电阻性,才能让阻抗模最小。


GCL并联电路
并联用电流形式,电流=电压*导纳
观察公式,可以看出导纳其实就是阻抗的对偶,
w
L
变成
w
C
wL变成wC
wL变成wC
表现在相量图中,也是变成了:电压作为基准,容纳在正半轴,感纳在负半轴。


一般情况:正弦稳态混联电路
一般都是混联的。算法也和时域的纯电阻电路一样。
首先是将元件都写成阻抗,转化为相量域。
然后进行简单的串并联即可,注意都是复数,要进行复数运算。

这道题写出两条支路的阻抗,然后运用电流分流定理,为阻抗的反比,只不过,这些运算都是在复数运算上的。
所以说要熟练掌握从相量到复数的转化,无非就是用模乘个cos,sin。

特殊:求全响应
其实在正弦激励中没必要求全响应,大家都看稳态,你求个全响应,非要看刚开始的过渡态,没意思。
但是碰上了,这道题非要求时域的电压,没办法,我们就先求稳态响应,然后用三要素法求全响应。瞬态响应系数为(初始值减去t=0时稳态值)

相量域中的网孔分析和节点分析
同理,写法和原来一样,只不过计算的时候是复数计算罢了,包括电压源串联电阻算一个节点的情况也考虑进去了(实际上例子都采用的等效为并联电流源模型)

这道题使用了等效变换的方法,将电压源变成电流源,做节点分析。

向量模型的单口网络等效与戴维南定理
等效原则和时域电路一样,结果略有区别,就在电阻上。时域是直接等效出一个电阻,而相量域是等效出一个阻抗元件,阻抗元件分为纯电阻R与一个虚部元件,至于是正是负,由电路是感性还是容性决定。
无源单口:串并联
对于无源单口,非常简单,就是粗暴的串并联。相量域下,元器件平等。

需要注意的是,阻抗串联和导纳并联,虽然是加,但是是向量和,一定要注意,不要简单的把模加上去。


这道题用的是串并联,等效阻抗。然后用欧姆定律就可以

含源单口:戴维南
前面的不含源电路可以将等效后的阻抗拆开,但是在戴维南和诺顿中,一定要先变成一个整体,这样戴维南就可以和时域中的结构一样了,后面再去变也可以。
至于求法,还是开路电压+去源阻抗。电压短路电流开路。

戴维南思路,求电流,可以先将电路分解,左边成为单口网络,用戴维南简化。右边是一个纯电阻,比较好分析。
首先开路电压,经典串并联分压。
然后是去源阻抗。
等效后就简单了。

相量图法
适用于特殊角度,画图,实际中没啥用处,只能定性判断相位关系,顶多判断出有效值关系。
这道题给出了相量图法的通常步骤。
- 画出参考相量。串联用电流,并联用电压。
- 逐个画出其他相量。就是用电阻,电感,电容的欧姆定律,重点注意相位偏差关系。


这道题就是将向量和图形化表示。
- 并联以电压为参考
- 然后电容是电流超前电压
- 电阻和电压同步。

先分析并联部分。
4. 以U为基准,求出下支路的电流
5. 而上支路的电流通过电容元件电流超前特点得出。
6. 最后两个电流向量和得出干路电流。
7. 干路电压用电压相量和解。

正弦稳态功率和能量
三种元件的功率特性
电阻:有效功
电阻的瞬时功率图。可以看出,电流电压同相,导致功率总是正的,频率翻倍。
一般不说瞬时功率,都说有效功率,用有效值去计算即可。

这个二分之一是UI各一个二分之一根号二得来的。

电感/电容:无功功
电感和电容,电流和电压相位是正交的,正交很容易让人联想到不做功,确实,正交使得频率翻倍,也导致平均功率为0.


那如何来评估他们的特性呢,或者说他们有什么特性?那就是振幅。代表能量在元器件中交换的规模&
这个公式和电阻平均功率的公式一模一样,只不过含义不同。电感Q为正,电容Q为负,这两个是同频反相的,通常说L吸收无功,C发出无功,其实这里就可以感觉出来,这俩货如果并联,其实是互相喂能量的,内部转化,不向外输出。
电阻是单方面的消耗,这个是以这种交换规模进进出出。无功功率也有用,负责能量的交换,转换,但是只负责内部相互做功,类似于内力,用于维持设备正常运行。


平均储能越大,频率越高,无功功率大,则能量交换规模大。很合理,规模取决于速度和每次的量。


单口网络功率
单口网络可以等效为一个阻抗+电源(如果有),阻抗有实数部分+虚数部分,分别对应有效功和无功功。
如果写出瞬时功率表达式,就可以看到恒定部分+可逆部分。
平均功率
说实话这个好像做功!神中神 P = F V c o s θ P=FVcostheta P=FVcosθ,有没有一种感觉,电磁能和机械能有一种莫名的联系,这是我的感觉,相信很多物理学家都会有这种感觉,说不定未来真的有大一统理论!扯远了,回归正题~

这个
ϕ
phi
ϕ,同时具有电压电流偏移+阻抗角双重含义。前面已经说过。
而这个有功分量,实际就是在纯电阻上分配的电压有效值。
所以就有两种算法,一种是按这个定义算,另一种是直接从本质下手,找到纯电阻元件,单求即可。
单求有一种写法如下:注意是先求导纳再取实部,而不是先取实部再倒数。
P
=
I
2
R
e
[
Z
]
P
=
U
2
R
e
[
Y
]
P=I^2Re[Z] \[5pt] P=U^2Re[Y]
P=I2Re[Z]P=U2Re[Y]

无功功率
对应前面的cos,无功功率就是无用功sin部分。
无用功用Q表示,由两部分组成,电感和电容,分别用下标L和C表示。L取正,C取负。
如果平均储能相等,则能量只会在这两个元件之间流动。

无功功率也有本质求法,对应有功的实部,无功取虚部,这个虚部是电感和电容对抗作用后的统一结果。
Q
=
I
2
I
m
[
Z
]
Q
=
U
2
I
m
[
Y
]
Q=I^2Im[Z] \[5pt] Q=U^2Im[Y]
Q=I2Im[Z]Q=U2Im[Y]
视在功率与综合理解
UI是个什么东西呢?这就是交流和直流的区别了。直流的UI一定是真实功率,而交流UI只是看起来的功率,很可能,你UI很大,实际消耗的功率不多。
视在功率只是看起来的功率,实际计算基本不会用到视在功率,因为视在功率不守恒,而拆开,其他功率都是守恒的。

这三个需要区分,就用单位区分:

视在功率的唯一用处就是这个功率因数。可以将视在功率转换为P和Q。
功率因数就是有用的比上看起来占用的。如果能提高功率因数,就相当于合理利用。否则,一方面让电源设备容量得不到充分利用,那么大的电压电流,结果没啥效果,另一方面会增加损耗,电流大了热损失大。
提高功率因数的方法也很简单,就是用元件将阻抗角变成0,让整体体现纯电阻性。一般电路都是电感性的,所以常用手段就是并联电容,让虚部抵消
理论上只有好处没有坏处,并联电容后,原来的电路不会受到任何影响,并且电容路的阻抗,导纳是负的,意味着并联电容还可以把干路电流减小,真是一举两得,单方面碾压,无脑并就好。


这里你会发现,电压,阻抗,功率的三角形是统一的,虚数的使用竟是如此顺畅。

这道题两种做法。
第一种正面推,求出Z,以及阻抗角,用欧姆定律根据Z求I,之后就是用阻抗角求PQS
λ
lambda
λ了。
第二种从本质下手,P来自于电阻,QL来自于电感,QC来自于电容,PQ平方和构成S,P除以S为λ。


这道题是功率因数题。
第一问首先进行基本求解,通过功率因数得到阻抗角,通过功率关系求出I。之后就是一通计算。
第二问要进行降低,这题是先将无功功率分解,减去已知电感无功功率,求出电容无功功率,然后用已知的功率和电压求出C值。
最后求电流,要明白什么不变,不变的是负载元件,有功功率,所以P不变,自然是用P求I。


这道题告诉我们,只要是用欧姆定律,就可以用各种花里胡哨的方法算。

公式总结

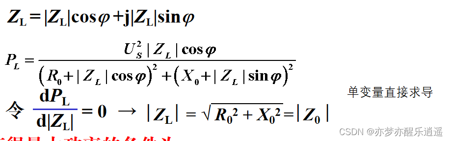
正弦稳态最大功率传递定理
回顾纯电阻的最大功率,本质就是:
负载的阻抗模=内阻的阻抗模
那么就分两种情况:
负载阻抗模和阻抗角都可变
当这两个都可变,那么阻抗模相等的最直接方法就是共轭。
让内阻的虚部和负载的虚部相反即可。此时电路呈现纯电阻性,那两个虚部负载就可以忽略了。之后算那还不简单。用有效值直接算即可。

负载阻抗角固定
这个的方程解的稍微麻烦点。代入后可以求得最大功率:


第一问第二问属于阻抗模和阻抗角都可变,直接共轭。
第三问固定Z的阻抗角,但是是纯电阻,所以问题简单了起来。求出阻抗后欧姆定律求I,再求功率即可。


这道题其实还是功率因数题,只不过套了个求功率的壳儿。
第一问,注意,他说消耗的功率,这就是指代有用功部分了。先求I再求功率。
第二问并联一个导纳,只要并联后整体体现电阻性即可。这样求出并联导纳,将虚部置为0即可。



频率响应与多频正弦稳态电路
这一章最开始是告诉你,给你一个电路,怎么计算电路中的量。
后面一章探讨了电路的功率特性。
最后一章将探讨频率变化对正弦稳态电路的影响。以及多个频率的电源同时作用下,如何计算。
频率响应
基本概念
频率响应的本质就是U和I的关系,而这个关系就是整个电路的阻抗。阻抗由纯电阻部分,容抗和感抗共同决定,最终表现为阻抗角和阻抗模的形式,成为幅频响应和相频响应。
换句话说,求频率响应实际上就是在求电路整个的阻抗对频率的变化曲线。

这道题说明了基本求法,就是先求阻抗,阻抗本身就是关于频率的函数。


网络函数
正弦稳态电路的网络函数和直流电路网络函数形式相同,相应的策动点函数和转移函数的概念也是一样的。

滤波电路
滤波电路对不同频率的信号有选择性。翻译一下就是目标频率的信号强,非目标频率的信号传过去就弱。

低通滤波就是通低频。设计思路就是用一个电容和电阻分压,电容在高频状态下分到的电压就少。自然实现了高频抑制。
那么反过来,我也可以把电容换成电感实现高通,又或者把输出端接到R上,也能实现高通。

对于低通滤波,有一些特殊的频率,就是
1
τ
dfrac{1}{tau}
τ1
这个频率可以让阻抗角变成-45°,因而试电压到电流的转化变成
1
s
i
n
(
π
4
)
dfrac{1}{sin(frac{pi}{4})}
sin(4π)1,功率变成一半。
这个特殊的点称半功率点频率。
进一步推广,其实任何电路当达成这个状态的时候的频率都可以叫做半功率点频率,工程上称 ω C omega_C ωC为截止频率,那么在达到截止频率之前,都可以算是通过,所以 0 → ω C 0to omega_C 0→ωC叫做通频带。


叠加方法的应用
叠加方法可以解决正弦的叠加以及非正弦周期的叠加。
而非正弦周期的叠加其实也是分解成正弦计算的,这一分解,就又生成很多的正弦量。
所以,这类问题最终都可以划归为正弦量的叠加。
非正弦周期信号的分解

任意非正弦但是是周期的激励,都可以分解为多个不同频率的正弦激励叠加。
傅里叶分解可以分成三个部分:
- 直流分量,决定了激励的上下整体偏移
- 基波,决定了这个电路基本的频率
- k次谐波。k次谐波的总和修饰了激励的形状,这个k决定了修饰的惊喜程度,越大的k,频率就越大,一般来说其振幅也就越小,综合起来可以进行精细的修饰。

下图给出一些经典的分解

这个图说明了前面几个分量的作用,这图没有直流分量,所以图的中轴是x轴,然后基波分量决定了频率,不断叠加的谐波呈现出频率增加,振幅减少的趋势,让叠加后的波形逐渐趋向分解前的波形。

正弦信号的叠加

叠加思路相同。
首先是先对每一个激励在相量域进行单独计算
然后在时域上进行叠加。
注意这里是时域,因为最后还是要回归时域的。
平均功率叠加
叠加原理对于一般情况的功率都不适用,无论是瞬时还是平均。
只有一种特殊情况,可以将平均功率叠加:多个不同频的正弦激励
有人会问了,同频怎么办?同频你直接向量和就完事了呗,所以其实上面算不得特殊情况,总结一下,就是只有正弦激励的情况下,可以将同频合并,最后剩下的就都是不同频的了,就可以直接叠加平均功率了。

非正弦周期激励下的有效值和平均功率
其实说到了频率不同时,你应该就意识到了,非正弦周期可以分解为频率不同的正弦,完美满足叠加原理,所以可以对平均功率直接叠加,而平均功率和有效值又是挂钩的,所以有效值也是根号下平方和的叠加方法。


例题
这道题求平均功率,套路固定,就是先找出同频合并,最后不同频叠加。
但是实际上你做起来,那个求单独解的过程是很折磨的。


功率我们只计算平均功率,所以一说功率都默认平均。
有效值还是根号下平方和,但是请注意,叠加是将各个正弦量的有效值进行方均根计算,而正弦部分的有效值要比直流部分小一半。

本题给出一个方波,从图中看出,他是向上偏移一个基本振幅的,所以一个基本振幅就是幅值的二分之一。
之后就是经典的方波分解,套公式计算即可得出分解后的公式。
然后就要运用叠加原理,计算各个量,在时域进行叠加瞬时值。
对于U和P的求解,就是经典的有效值方均根,重复提醒一次,正弦值的有效值平方要小一半。



RLC电路的谐振
基本概念
阻抗随着频率会发生变化,那么就会有个特殊的频率,可以使得电路整体呈现一种电阻性,把容抗和感抗抵消。
容抗和感抗抵消,带来的结果就是视在功率就是用功功率,没有无功功率。


这道题可以看出,在谐振的时候,电容和电感上的电压是要远大于电阻上的电压的。


品质因数Q
化简后相当于阻抗比,因为谐振,所以R代表U。
Q一般是大于1的,这也体现出了电容/电感的负载要远大于电阻的特性。

通频带
这个幅频特性说明,RLC电路可以可以理解为某一个频率段才能通过的电路。
Q大,说明电容电感厉害,阻碍能力越强,那么稍微有一点偏移,阻抗模就会迅速偏向较大的阻抗部分,所以幅频下降速度更快,通频带就窄。


并联谐振
并联谐振和串联相反,可以理解为特定频率的抑制。



例题
串联谐振。



经典的并联谐振。

这道题求通用电路的谐振求法。谐振的本质就是电阻性,所以让虚部为0即可,不要局限在RLC电路。

这道题展示了谐振时两个非线性元件的特征,串联相当于短路,并联相当于开路。

小结



最后
以上就是欣喜服饰最近收集整理的关于电路分析基础笔记(静态电路+动态电路)前言+总思维图+ppt下载+结课实验下载集总参数电路中电压与电流的约束关系网孔分析和节点分析叠加方法分解方法动态电路初步一阶电路二阶电路交流动态电路——相量法正弦稳态功率和能量频率响应与多频正弦稳态电路的全部内容,更多相关电路分析基础笔记(静态电路+动态电路)前言+总思维图+ppt下载+结课实验下载集总参数电路中电压与电流内容请搜索靠谱客的其他文章。
发表评论 取消回复