内容摘要:
使用计数器和数据选择器等器件实现数字时钟电路。电路最终在开发板上显示的是时钟的秒和分(开发板所限,当然如果开发板支持8位显示的话也可以自己加到小时位的显示)。电路包四个部分:时钟信号分频电路,开发板内置的是25MHz的时钟信号,要把它分频到1Hz;数码管显示控制电路;数码管选通电路;时分秒进制控制电路。
实现
一、基本电路原理框图

说明:这里没有采用晶体振荡器来产生时钟信号,而是用了开发板内置的25MHz的信号通过分频电路使之达到1Hz。
二、时分秒进制控制电路
基本进制电路准备

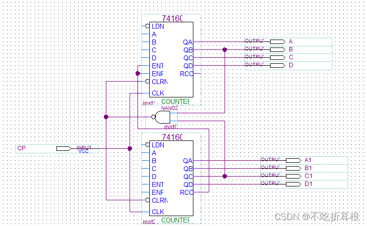
图1 六进制电路图

图2 十进制电路图
连接60进制计数器
在10进制和6进制计数器都正确的基础上,连接成60进制计数器,检查功能是否正常。

图3 六十进制电路图
设计24进制计数器
参照60进制计数器的方法设计一个24进制计数器,检查功能是否正常。
|
图4 二十四进制电路图 |
三、设计时钟信号分频器
开发板提供的时钟信号为25MHz的高频信号,但是我们需要能使信号变换为1秒一次的1HZ信号,所以需要设计25M的分频电路。
设计时钟信号分频器
开发板提供的时钟信号为25MHz的高频信号,但是我们需要能使信号变换为1秒一次的1HZ信号,所以需要设计25M的分频电路。
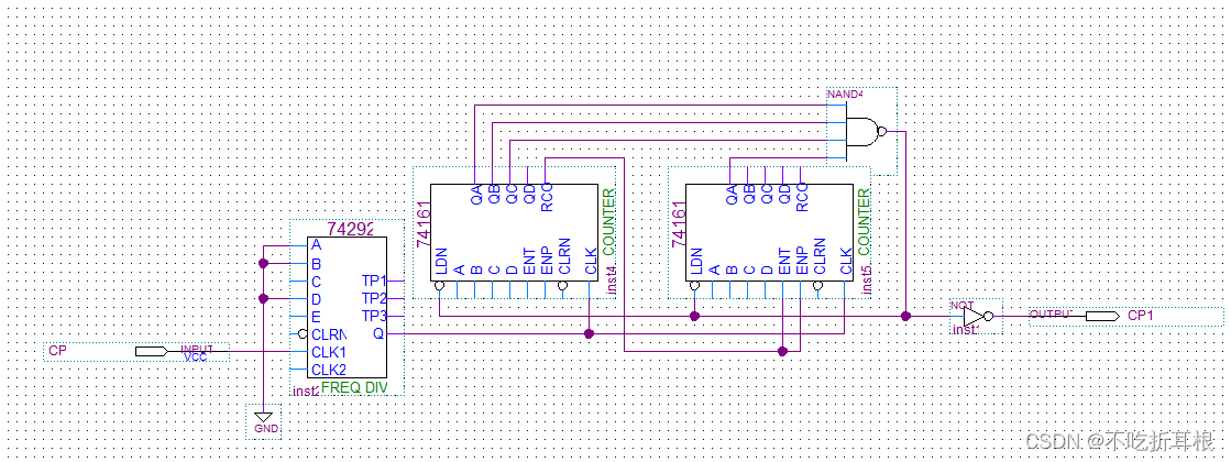
原理:先使用74292分频芯片进行2∧20分频,再对分频后的信号用计数器进行24分频。

图5 25M分频电路图
74292芯片引脚及分频:



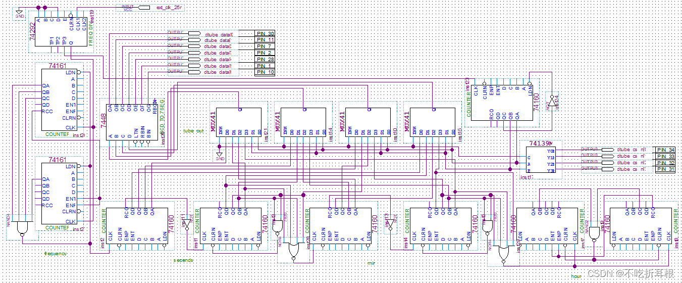
四、运用上述的各功能电路进行电路组合

图6 实验电路图
五、结果记录



从上述图片可以看到实验电路能成功运行,并且得到正确的结果
最后
以上就是明理流沙最近收集整理的关于Quartus ii 13.1 数字时钟的全部内容,更多相关Quartus内容请搜索靠谱客的其他文章。
本图文内容来源于网友提供,作为学习参考使用,或来自网络收集整理,版权属于原作者所有。

发表评论 取消回复