一,引言
CDMA(Code Division Multiple Access)即码分多址,是一种信道复用技术,它允许每个用户在同一时刻同一信道上使用同一频带进行通信。CDMA 技术的出现源自于人类对更高质量无线通信的需求。第二次世界大战期间因战争的需
要而研究开发出 CDMA 技术,其初衷是防止敌方对己方通讯的干扰,在战争期间广泛应用于军事抗干扰通信,后来由于
美国高通公司更新成为商用蜂窝电信技术。1995 年,第一个CDMA 商用系统运行之后,CDMA 技术理论上的诸多优势在实
践中得到了检验,从而在北美、南美和亚洲等地得到了迅速推广和应用。全球许多国家和地区,包括中国香港、韩国、日
本、美国都已建有 CDMA 商用网络。在美国和日本,CDMA 成为国内的主要移动通信技术。
二,工作原理
在 CDMA 中,每一个比特时间再划分为 m 个短的间隔,称为码片,通常 m 的值是 64 或 128(为说明、画图方便,这里假
设 m 为 8)。
使用 CDMA 的每一个站被指派一个唯一的 mbit 码片序列。如果一个站要发送比特 1,则发送它自己的 mbit 码片序
列。如果要发送比特 0,则发送该码片序列的二进制反码。例如,指派给 S 站的 8 bit 码片序列是 00011011,当 S 发送比
特 1 时,它就发送序列 00011011;而当 S 发送 0 时,就发送11100100。为了方便,按惯例将码片中的 0 写为 -1,将 1 写
成 +1,因此 S 站的码片序列就是(-1-1-1+1+1-1+1+1)。
现假定 S 站要发送信息的数据速率为 b b/s。由于每一个比特要转换成 m 个比特的码片,因此 S 站实际上发送的数
据率提高到 mb b/s,同时 S 站所占用的频带宽度也提高到原来数值的 m 倍。
CDMA 系统的一个重要特点就是这种体制给每一个站分配的码片序列不仅必须各不相同,而且还必须互相正交。
用数学公式可以很清楚地表示码片序列的这种正交关系。令向量 S 表示 S 站的码片向量,再令 T 表示其他任何站
的码片向量。两个不同站的码片序列正交,就是向量 S 和 T的规格内积为 0。

例如,向量 S 为(-1-1-1+1+1-1+1+1),同时设向量 T 为(-1-1+1-1+1+1+1-1), 这 相 当 于 T 站 的 码 片 序 列 为
00101110。将向量 S 和 T 的各分量代入式(1)就可看出这两个码片序列是正交的。不仅如此,向量 S 和各站码片反码的
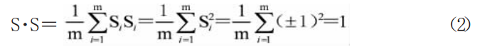
向量的内积也是 0。另外一点就是,任何一个码片向量和该码片向量自己的规格化内积都是 1。
而一个码片向量和该码片反码的向量的规格化内积都是 -1,这从式(2)可以很清楚地看出。因为求和的各项都变成了 -1。
三,例子分析
假设现在在一个CDMA系统中有很多站在相互通信,每一个站所发送的是数据比特和本站的码片序列的乘积,因而是本站的码片序列(相当于发送1和该码片序列的二进制反码(相当于发送比特 0)的组合序列,或什么也不发送(相
当于没有数据发送)。这里还假定所有的站所发送的码片序列都是同步的,即所有的码片序列都在同一时刻开始。
假定有一个 X 站要接收 S 站发送的数据,X 站就必须事先知道 S 站所特有的码片序列,X 站使用它得到的码片向量
S 与接收到的未知信号进行求内积的运算。X 站接收到的信号是各个站发送的码片序列之和。根据上述式(1)和(2),再
根据叠加原理(假定各种信号经过信道到达接收端是叠加的关系),那么求内积得到的结果是:所有其他站的信号都被过
虑掉(其内积的相关项都是 0),而只剩下 S 站发送的信号。当 S 站发送比特 1 时,在 X 站计算内积的结果是 +1;当 S 站
发送比特 0 时,内积结果是 -1。

图一是 CDMA 的工作原理图。设 S 站要发送的数据是110 三个码元,再设 CDMA 将每一个码元扩展为 8 个码片,而
S 站选择的码片序列为(-1-1-1+1+1-1+1+1)。S 站发送的信号为 Sx,在信号 Sx 中,只包含互为反码的两种码片序列。T 站选择的码片序列为(-1-1+1-1+1+1+1-1),T 站也要发送 110三个码元,而 T 站的信号为 Tx。因而所有的站都使用相同的
频率,因此每一个站都能接收到所有站发送的信号,所有站收到的信号都是叠加信号 Sx+Tx。
当接收站打算接收 S 站发送的信号时,就用 S 站的码片序列与收到的信号求规格化内积,这相当于分别计算 S·Sx
和 S·Tx,然后再求它们的和。显然后者是零,而前者就是 S 站发送的数据比特。
参考:
谢希仁.计算机网络(第七版)[M].北京:电子工业出版社,2004.
最后
以上就是传统戒指最近收集整理的关于计算机网络CDMA工作原理分析与例证说明的全部内容,更多相关计算机网络CDMA工作原理分析与例证说明内容请搜索靠谱客的其他文章。
发表评论 取消回复