1)无线电设备参数确定
频段的确定、频率分配、无线电波的覆盖范围、计算通信概率、系统间的电磁干扰→确认无线电设备的参数。
2)不同频段的传播特性
频率范围:10kHz~300GHz
①频率越低,传播损耗越小,距离远,绕射能力强。但是资源紧张。用于广播、电视、寻呼。
②频率越高,距离近,成本高。但资源丰富。
3)无线电传播方式
①直射:在自由空间(理想的无限大的空间)的传播方式,仅考虑扩散引起的损耗。
传播损耗_自由空间传播损耗Lp = 32.4+20log(f MHz)+20log(d km)
从公式可以看出,它和频率与距离有关。
②反射:当遇到比波长(手机信号的波长是0.3m)大得多的物体(地面、建筑物、墙壁),发生散射。
反射损耗
| 表面性质 | 水面 | 稻田 | 城市山地森林 |
|---|---|---|---|
| 等效反射系数 | 0.9~1 | 0.6~0.8 | 0.1~0.2 |
| 反射损耗(dB) | 0~1 | 2~4 | 14~20 |
③绕射:传播路径有尖锐的边缘阻挡,无线电传播到阻挡物后面。
④散射:当遇到比波长小的物体,且单位体积内存在较多该物体。(粗糙表面)

4)无线电波衰落
①衰落原因:传播复杂,存在直射、反射、绕射和散射。
②基站高,传得远,避免地面损耗。
③频率高,传播损耗低,传输远。
5)衰落类型
按照衰落影响
①平均路径损耗——平均接收信号强度于距离的次幕成正比。
②阴影衰落(慢衰落)——移动平台经过不同障碍物遮挡,局部中值点评和地点、时间以及移动台速度进行平缓变化。
③多径衰落(快衰落)——多径传输,随移动平台起伏变化。
按传输时经历的衰落
①大尺度衰落——距离引起的信号衰减。
②中尺度衰落——强度中值的慢速变化。
③小尺度衰落——瞬时
值快速变化。
按场强变化作用时间
①慢衰落:强度中值随地理变化缓慢。
②快衰落:随地理变化很大。

蜂窝环境受到的影响:①多径,短期衰落,快衰落;②路径衰减,长期衰落,慢衰落。
因为:衰落=快衰落(符合瑞利分布)+慢衰落(满足对数正态分布)
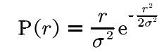
瑞利分布:(描述没有直射的衰落信道)当一个随机二维向量的两个分量呈独立的、均值为0、有着相同的方差的正态分布时,这个向量的模呈瑞利分布。在描述城区环境的衰落信道时,由于城区中建筑物众多,使得信号不能直接从发射端达到接收端(没有直射),而是从发射端经过一系列反射、折射、衍射等多条路径后达到接收端,认为所有到达波的方向任意且所有路径的平均功率相同。
瑞利衰落特性

其中幅度r的概率分布为

关于瑞利分布的疑问:
1)为啥两个高斯分布的信号组合成了一个带尾巴(右边有拖尾)的分布
以下全是二郎的口述分析,当然数学证明更快,只是那样大家都不想看了。
因为这里是z2=x2+y2,幅度:z=根号(x+y)。
比如说,以前x=4的概率和x=6的概率都是0.2,在x=5时,概率为0.4,y也如此,关于分布的中心5对称。
那么现在z的最大概率应该是x最大概率和y最大概率的时候,也就是z=根号(25+25)=根号(2)*5=7。
在z=7时,概率最大。
z=根号(16+16)=根号(2)*4=5.7;z=根号(36+36)=根号(2)*6=8.5;
7-5.7=1.3;8.5-7=1.5。显然,概率相等的两个点,距离函数的“中心”不是一样的距离了,右侧更远一些,所以右侧发生了拖尾。
2)为啥信号符合瑞利衰落呢?
因为这里说的信号没有直射信号,都是来自于其他方式的非直射信号,且信号都满足高斯分布。同时两个正交信号的组合,其幅度是两个信号幅度的平方和开根号,满足瑞利分布公式。
6)调制

其实一张图就足以让我们明白了,我们是如何用我们的电磁波携带信号的。
它携带10信号,在0的时候是原来的载波,在1的时候,幅值增加。
最后
以上就是聪慧指甲油最近收集整理的关于无线电波传播:频段、方式、衰落|瑞利分布、瑞利衰落非复制的解释的全部内容,更多相关无线电波传播:频段、方式、衰落|瑞利分布、瑞利衰落非复制内容请搜索靠谱客的其他文章。
发表评论 取消回复