序列检测_1011(重叠&不重叠检测)
序列检测也是数字ic笔试中经常遇到的一类题,本篇对序列1011进行检测,其中分为重叠与不重叠检测设计,在此先简要叙述两种区别如下:
首先什么是不重叠检测?不重叠的意思是每次检测到的1011序列都是独立的组,不能够重复。例如:有一串序列1011011需要我们检测出1011的个数,而在这串序列中我们找到两个1011,但是第一个的1011和第二个的1011有一个共用的“1”,这就是重复检测了。反之当检测序列1011011中1011的个数时只会检测到有一个1011,而不是两个。具体看代码(三段式)以及仿真图。
1.不重叠检测1011
module xljc_1011(clk,rst_n,din,out);
input clk;
input rst_n;
input din; //输入要检测数据
output reg out;//检测到1011后输出标志
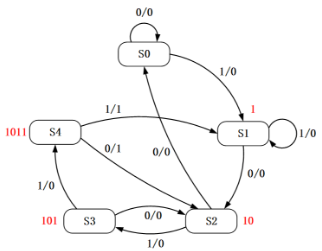
parameter S0=5'b0_0001,S1=5'b0_0010,S2=5'b0_0100,S3=5'b0_1000,S4=5'b1_0000; //独热码
reg [4:0] state;
reg [4:0] c_state,n_state;
always@(posedge clk or negedge rst_n)begin
if(rst_n==1'b0)
c_state<=S0;
else
c_state<=n_state;
end
always@(c_state or din)begin
case(c_state)
S0:begin
if(din==1'b1)
n_state=S1;
else
n_state=S0;
end
S1:begin
if(din==1'b0)
n_state=S2;
else
n_state=S1;
end
S2:begin
if(din==1'b1)
n_state=S3;
else
n_state=S0;
end
S3:begin
if(din==1'b1)
n_state=S4;
else
n_state=S2;
end
S4:begin //
if(din==1'b1)
n_state=S1;
else
n_state=S0;
end
/*S4:begin //注释掉部分为重叠检测
if(din==1'b1)
n_state=S1;
else
n_state=S2;
end*/
default:n_state=S0;
endcase
end
//第三段我认为有点冗长,可以考虑直接使用组合逻辑
always@(posedge clk or negedge rst_n)begin
if(rst_n==1'b0)
out<=1'b0;
else begin
case(n_state)
S4:out<=1'b1;
default:out<=1'b0;
endcase
end
end
endmodule

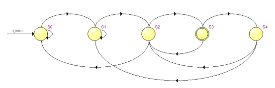
综合后状态机视图

详细状态转移图

仿真结果图

仿真结果图局部
如上图锁定红线之间为1011011,结果只有一次输出。
2.重叠检测
代码注意:两部分代码只有最后一个状态有区别,因此只放一个代码,重叠检测代码只需把上面代码中注释部分恢复即可。直接上图:

综合后状态视图

详细状态转移图

重叠检测仿真结果图

重叠检测仿真结果局部图
由上图两锁定红线之间可以看出1011011,输出标志两次。
3.测试代码
`timescale 1ns/1ns
module xljc_1011_tb;
reg clk;
reg rst_n;
reg din;
wire out;
xljc_1011 u0(
.clk(clk),
.rst_n(rst_n),
.din(din),
.out(out)
);
initial begin
clk=0;
rst_n=0;
#20;
rst_n=1;
send_data;
end
always #10 clk=~clk;
task send_data;
integer i;
begin
for(i=0;i<100;i=i+1)
begin
@(posedge clk);
din={$random}%2;
end
end
endtask
endmodule
最后
以上就是感性酒窝最近收集整理的关于序列检测_1011(重叠&不重叠检测)Verilog实现的全部内容,更多相关序列检测_1011(重叠&不重叠检测)Verilog实现内容请搜索靠谱客的其他文章。
发表评论 取消回复