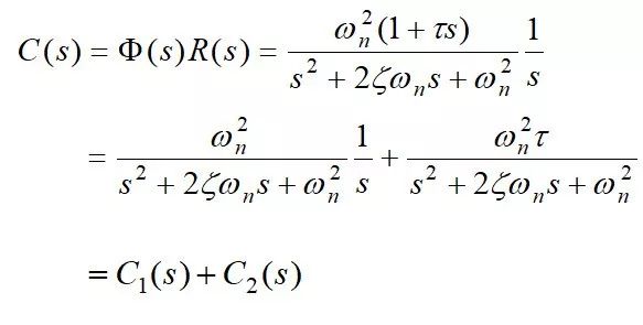
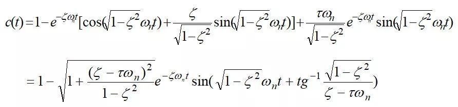
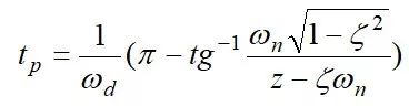
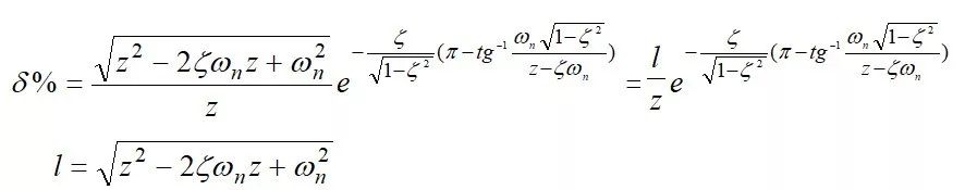
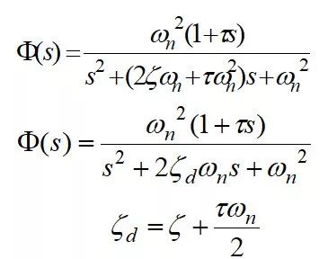
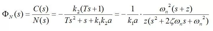
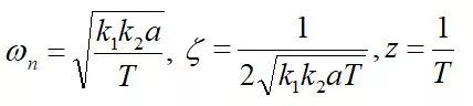
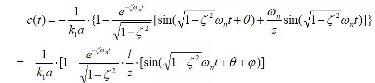
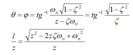
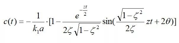
由上节可知,
具有零点的二阶系统(0<
ζ
<1)的单位阶跃响应传递函数为:













1. 结构图








最后
以上就是负责黑夜最近收集整理的关于一阶系统单位阶跃响应的特点_自动控制系统时域分析九:具有零点的二阶闭环系统瞬态响应性能指标...的全部内容,更多相关一阶系统单位阶跃响应内容请搜索靠谱客的其他文章。
本图文内容来源于网友提供,作为学习参考使用,或来自网络收集整理,版权属于原作者所有。
发表评论 取消回复