假设传递函数方程为:

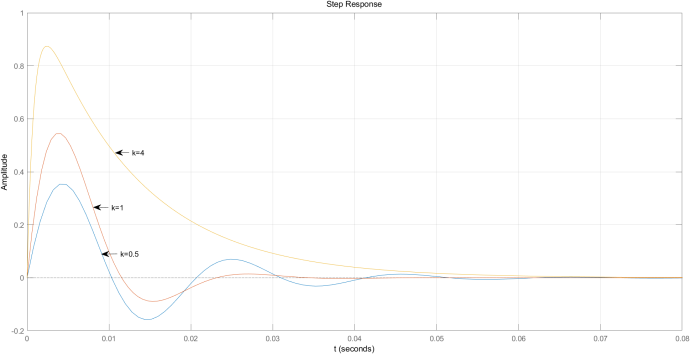
分析k分别为4,1,0.5时bode图和阶跃响应的不同。
>> w=2*pi*50;
>> num1=0.5*w*[1 0];
>> den1=[1 0.5*w w^2];
>> num2=1*w*[1 0];
>> den2=[1 1*w w^2];
>> num3=4*w*[1 0];
>> den3=[1 4*w w^2];
>> hold on
>> bode(num1,den1);
>> bode(num2,den2);
>> bode(num3,den3);
得到的Bode图为:

再在上述代码后面输入
>> sys1=tf(num1,den1);
>> sys2=tf(num2,den2);
>> sys3=tf(num3,den3);
>> figure
>> step(sys1,sys2,sys3,0.08)
>> grid on;
>> xlabel('t');
得到阶跃响应图为:

最后
以上就是繁荣网络最近收集整理的关于Matlab中绘制Bode图与单位阶跃响应图的全部内容,更多相关Matlab中绘制Bode图与单位阶跃响应图内容请搜索靠谱客的其他文章。
本图文内容来源于网友提供,作为学习参考使用,或来自网络收集整理,版权属于原作者所有。
发表评论 取消回复