自动控制原理之一稳态误差分析/MATLAB
- 一、稳态误差是什么?
- 二、MATLAB求解方法
- MATLAB``
- 2.分析
- 总结
提示:以下是本篇文章正文内容,下面案例可供参考
一、稳态误差是什么?
在自控中,稳态误差,也称静差。它是系统稳定误差的终值,稳态误差的表达式为:

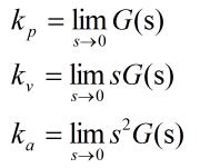
举个栗子,自控中三大误差系数,位置误差系数kp,速度误差系数kv,加速度误差系数ka,其对应的公式为:

假设开环传递函数为G(s),其表达式为:

下面我们用matlab编程计算三个系数
二、MATLAB求解方法
事实上,MATLAB中没有专门计算函数,不过我们可以根据求极限的limit函数来计算相应的误差。
调用格式如下
limit(exp,x,a); 求符号表达式exp当自变量x趋于a时的极限
limit(exp,a); 求符号表达式exp当默认自变量趋于a时的极限
limit(exp); 求符号表达式exp当默认自变量趋于0时的极限
limit(exp,x,a,‘left’); 求符号表达式exp当默认自变量趋于a时的左极限
limit(exp,x,a,‘right’); 求符号表达式exp当默认自变量趋于a时的右极限
MATLAB``
代码如下(示例):
%% 稳态误差计算————MATLAB
% 开环传递函数赋值
syms s G
G = 1/(s*(0.1s+1)(s+1))
% 三大系数
kp = limit(G,s,0,‘right’) %位置误差系数
kv = limit(sG,s,0,‘right’) %速度误差系数
ka = limit(s^2G,s,0,‘right’) %加速度误差系数
2.分析
在limit函数中一定要使用‘right’,否则左右极限不同时kp计算的就是NAN。**
总结
简要介绍了在MATLAB中如何求稳态误差的方法,主要有以下几点需要注意:
1、MATLAB中没有专门计算相应误差的函数,可以借用limit()函数
2、在limit函数中一定要使用‘right’
最后
以上就是称心鲜花最近收集整理的关于自动控制原理之一稳态误差分析/MATLAB一、稳态误差是什么?二、MATLAB求解方法总结的全部内容,更多相关自动控制原理之一稳态误差分析/MATLAB一、稳态误差是什么内容请搜索靠谱客的其他文章。
发表评论 取消回复