文章目录
- 第一章 电路的基本概念与基本定律
- 一、基本概念
- 二、理想特性
- 三、电路的工作状态
- 四、基尔霍夫定律
- 第二章 电路分析的基本方法
- 一、电路分析的基本方法
- 二、叠加定理与戴维宁定理
- 第三章 单相正弦电路分析
- 一、正弦信号的三要素
- 二、相位、相位差的概念
- 三、周期与频率的关系
- 四、振幅与有效值的关系
- 第四章 半导体器件与二极管电路
- 一、什么是N型半导体与P型半导体
- 二、PN 结的特性
- 三、稳压二极管
- 四、单相半波整流与桥式整流电路
- 第五章 晶体管放大电路基础
- 一、基本概念
- 二、NPN型与PNP型晶体管
- 三、晶体管的三个工作区
- 四、晶体管三个区工作的条件
- 五、三极管放大电路的静态分析
- 六、三极管放大电路的动态分析
- 七、稳定静态工作点
第一章 电路的基本概念与基本定律
一、基本概念
- 电路: 是由“用电设备或元器件(负载)”与“供电设备(电源)”,通过导线连接而构成的提供给“电荷流动”的通路。
- 电路的组成
- 电源:为电路工作提供能量;
- 用电设备/元器件:在电能作用下完成电路功能;
- 导线:连接电源和用电设备;
- 开关:控制电源的接入等;
- 电路的功能
- 能量传输: 将电源的电能传输给用电设备(负载);
- 能量转换: 将传输到负载的电能根据需要转换成其它形式的能量,如:光、声、热、机械能等;
- 信息传输: 信息——(载体)——信号——电路——终端——(去载体)——信息(电流 / 电压)
- 信息处理: 接收信号——电路——处理信号
- 电流
- 电流:是电路中电荷流动量的度量,它代表单位时间流过电路中某一截面的净电荷量。
- 电荷流动不仅由数量,也有方向,因此电流是具有方向的。(规定正电荷流动的方向为电流的真实方向)
- 电流符号:用 I / i 表示;
- 电流单位:安培(A)
- 电压
- 电位:单位正电荷在电场中某点所具有的电位能。
- 电压:电路中两点之间的电位差。(规定电位下降的方向为电压的真实方向)
- 电压符号:用U / u表示;
- 电压单位:伏特(V)
- 电压降:电压Uab表示单位正电荷从a点移动到b点所失去的电位能。
- 电功率
- 电功率:是电路元件消耗电能快慢的度量,它表示单位时间内电路元件消耗的电场能量。
- 电功率符号:用P / p表示;
- 电功率单位:瓦特(W) 或 焦耳/秒(J/s)
- 计算公式:P = dW / dt = u * i (非关联参考方向下,P = -u * i)
- 功率平衡原理:电路中所有元件的功率之和为0(即能量守恒)
- 关联参考方向: 同一电路元件或电路部分,电压和电流的参考方向采用一致的方向。
- 电阻
- 电阻:由线性关系联系端电压 u 和电流 i 的二端元件。
- 电阻符号:用R表示;
- 电阻单位:欧姆
- 电阻元件的特性:欧姆定律;
- "电阻值"计算公式:R = U / I
- "电阻元件功率"计算公式:PR = U * I = R * i2 = U2 / R
- 电阻的线性关系,如下图所示:
- “线性电阻”为经过u-i 平面原点上的一条直线;
- “非线性电阻”为经过u-i 平面原点上的一条曲线;
- 电容
- 电容:指存储在极板上的“电荷量 q ”与两极板之间的“电压 u ”的代数关系。
- 电容元件原型:平板电容器;
- 电容符号:C(电容量)
- 电容单位:法拉(F)、微法(10-6F)、皮法(10-12F)
- 换算关系:1F = 10-6F = 10-12F
- 电容公式:1F = 1C / 1V
- 电容的线性关系,如下图所示:
- “线性电容”为经过q-u 平面原点上的一条直线;
- “非线性电容”为经过q-u 平面原点上的一条曲线;
- 电感
- 电感:流过线圈的“磁通量”与流过线圈的“电流 i ”的代数关系。
- 电感元件的原型:空心线圈;
- 电感符号:L(电感量)
- 电感单位:亨利(H)、毫亨(mH/10-3H)、微亨(10-6H)
- 换算关系:1H = 103mH = 106微亨
- 电感公式:1H = 1Wb / 1A
- 电感的线性关系,如下图所示:
“线性电感”为经过O-i 平面原点上的一条直线;
“非线性电感”为经过O-i 平面原点上的一条曲线;
二、理想特性
- 理想电压源
- 理想电压源:二端元件两端电压不随流过它的电流变化,保持固定的数值/变化规律。
- “理想电压源”的伏安特性: 一条平行于电流轴的直线。
- 电压源符号:
- 注意:理想电压源使用过程中不能将两个电极短路,否则将损坏。
- 理想电流源
-
理想电流源:二端元件两端电源不随流过它的电压变化,保持固定的数值/变化规律。
-
“理想电流源”的伏安特性: 一条平行于电压轴的直线。
-
电流源符号:
- 注意:理想电流源的两端不能被开路(断开),否则将产生无穷大的电压。
三、电路的工作状态
- 在工作时,根据所接负载的不同,电路的工作状态分为三种:开路状态、短路状态、负载状态。
- 开路工作状态:
- 电路外接末端未接任何负载,端电流 i = 0 (开路),
- 此时, 端口电压由电路内部电流与结构决定,称为“开路电压”,记作 uoc 或 Uoc
- 短路工作状态:
- 电路外接端直接用导线连接,端口电压 u = 0 (短路)
- 此时,端电流由电路内部电源与结构决定,称为短路电流,记作 isc 或 Isc
- 负载状态
- 满载:电路负载工作时,如果电路各元件都能长期、可靠,且又以效率高、经济性好等最佳状态工作,可称为“额定工作状态”,即“满载”。
过载:当电流大于额定电流时,称为“过载”。
轻载:当电流小于额定电流时,称为“欠载”或“轻载”。
- 元件的额定值:即元件设备的安全使用值。
- 额定电流 IN:电气设备在长期连续运行或规定工作制下允许通过的最大电流。
- 额定电压 UN:根据电气设备所用绝缘体材料的耐压程度和容许温升等情况规定的正常工作电压。
- 额定功率 PN:电气设备在额定电压、额定电流下工作时的功率。
- 额定值表明了电气设备的正常工作条件、状态和容量,使用电气设备时,要注意不要超出其额定值,避免出现不正常的情况和发生事故。
- 注意:使用中,电气设备的实际电压、电流、功率不一定等于其额定值。
四、基尔霍夫定律
-
背景:基尔霍夫定律,是1845年德国物理学家G.R.Kirchhoff提出的,定律阐述了集总参数电路各结点电压之间和各支路电流之间的约束关系,是电路理论的最基本定律。
-
电路基本术语
- 支路:电路中的每一条分支。
- 结点:电路中三条或三条以上支路的联接点。
- 回路:电路中由两条以上支路构成的任一闭合路径。
- 网孔:内部不含有其它支路的回路。
- 基尔霍夫定律包括:电流定律(KCL)和电压定律(KVL)
- KCL定律: 任何集中参数电路中,任意时刻流进任意一个结点的所有支路电流的代数和总是为零。
- 在定义了电流的参考方向的前提下,KCL公式:
注意:当支路k的电流参考方向指向结点 n, 则在上述求和式中取 “+”, 当支路 k 的电流参考方向背向结点 n, 则在上述求和式中取“-”。
- KVL定律: 任何集中参数电路中,任意时刻绕任意一个回路一周所有支路电压的代数和总是为零。
- 在定义了电压的参考方向和回路的绕行方向的前提下,KVL公式:
注意:当支路 k 的电压参考方向与回路 L 的绕行方向一致, 则在上述求和式中取 “+”, 当支路 k 的电压参考方向与回路 L 的绕行方向相反, 则在上述求和式中取“-”。
第二章 电路分析的基本方法
一、电路分析的基本方法
- 等效电路分析法
(1) 等效电路:两个电路具有完全相同的“对外连接端”,两者分别和任意其他的电路成分构成完整电路,如果电路的其它部分工作完全一致,则这两个电路互为等效电路。
- 电路外特性:电路外接端上的电压与电流之间的关系。每个元件可视为一个电路部分,它的特性即是外特性。
注意:电路中的一部分用其等效电路替换后,电路其它部分的工作情况保持不变;等效只能适合用于外部,对于互相等效的两个电路内部工作一般是不等效的。
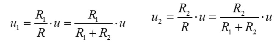
(2) 电阻的串联等效、分压
- 串联:在电路中,如果两个二端元件首位相连(且连接处无其它元件端点连接,即中间无分叉),流过同一个电流,称这两个元件串联。
- “电阻串联”等效为“单个电阻元件”;
- 两个电阻串联的等效条件:R = R1 + R2;
- N个电阻串联,等效电阻值为各串联电阻值的总和:
- 电阻串联分压公式:
(3) 电阻的并联等效、分流
- 并联:电路中,两个元件同接在两个相同结点之间,具有相同的电压,称为两元件并联。
- 电导:即电阻的倒数 G = 1 / R (单位:西门子(S))
- “电阻并联”也等效为“单个电阻元件”;
- 两个电阻并联的等效条件: G = G1 + G2 或 R = R1 * R2 / R1 + R2
- N个电阻并联,等效电导值为各并联电导值的总和:
- 电阻并联分流公式:
(4) 电源的串、并联等效
- 若干个 “电压源串联”,等效为一个电压源,等效电压源的数值为各串联电压源数值的叠加;
- 若干个 “电流源并联”,等效为一个电流源,等效电流源的数值为各并联电流源数值的叠加;
- “电压源” 与 “任意非电压源元件(包括电流源)”并联,等效为一个 “同值电压源”。
注意:不同数值的电压源禁止并联!
- “电流源” 与 “任意非电流源元件(包括电流源)”串联,等效为一个 “同值电流源”。
注意:不同数值的电流源禁止串联!
- 支路电流分析法
- 支路电流法:是一种基本的电路分析法,直接从两类约束(元件特性约束和基尔霍夫定律)出发,以“支路电流”为分析的基本变量,通过两类约束列写关于支路电流的代数方程组,求解得出支路电流后通过元件特性,再确定各支路电压。
设电路具有N个结点、B条支路,支路电流法分析过程:
(注意:关键步骤是:寻找B - N + 1 个独立的回路)
- 利用元件的特性约束可将支路电压表示为支路电流的函数:
- 列电路的结点KCL(N-1个方程):
- 在电路中找出 B - N + 1个独立回路列KVL方程:
- 联立求解上述2、3列出的B个方程。
- 网孔电流分析法
- 平面电路:如果画在平面上的电路图中没有出现支路交叉,则称电路为平面电路。
平面电路的网孔:在平面电路中,如果某回路所包含的区域内不存在任何支路,则这个回路称为平面电路的一个网孔。
根据网络图论,平面电路的所有内网孔是相互独立的回路,且平面电路的内网孔数恰好是(B - N + 1), 因此,可以选取所有内网孔作为列出KVL方程的独立回路。
- 对支路电流法所列的方程中做如下处理,可得到网孔方程:
1)对每个网孔按顺时针方向设定一个网孔电流;
2)将各支路电流表示成网孔电流的叠加。
网孔电流法的分析过程:
- 将含源支路转化为电压源与电阻串联的形式,(按一致的绕向)设定各网孔电流;(电源的形式是“电压源”)
- 对每个内网孔列出网孔方程(这里以k个内网孔为例):
- 联立求解上面的 k 个网孔方程,求出网孔电流:
- 根据各个支路的连接位置,利用网孔电流求出所需的支路电流,再根据支路的特性确定支路电压。
- 结点电压分析法
- 元件特性将支路电压和电流联系起来,用支路电压来表示支路电流;
- 每条支路都接在两个结点之间,因此,支路电压可以表示为结点的电位的差。
结点电压分析法:
- 选取参考结点,其它结点标号为 1 ~ N-1 ,将含源支路转化为电流源与电导并联的形式;
- 对参考结点以外的其它各个结点列写结点电压方程:
- 联立求解上面的 N - 1个结点电压方程,求出结点电压:
4.根据各个支路的连接位置,利用结点电压求出所需的支路电压,再根据支路的特性确定支路电流。
eg: 以 d 为参考点,分析结点电压:
利用支路特性方程、KVL将各个支路的电流表示成结点电压,得出结论&规律如下:
二、叠加定理与戴维宁定理
- 叠加定理:在任何线性电路中,当有多个理想电源共同激励时,电路的总响应可以分解成各个理想电源单独激励电路时产生的响应之和,即叠加。
- 叠加定理对电路理论的作用:不同信号源作用于电路时,电路响应中的不同成分可以分开分析,这正是电路频率分析的理论基础。
- 每个独立电源必须包含且仅包含在一个分组中。
- 常见的分组方法:
1)电压源为一组、电流源为一组;
2)直流电源分为一组,交流电源分为一组;
3)相同频率谐波分为一组,各次谐波分别分析。
- 替代定理:存在唯一解的集中参数电路(线性和非线性)普遍适用的基本定理。
“替代定理”与“等效电路”的区别分析:
- 替代定理:是在电路固定的前提下,替代一个已知端口电压电流的分支,对其它部件进行分析。
- 等效电路:不要求被替换的部分端口电压电流已知,两者的等效可以适用于各种电路结构中,并不局限于固定的电路。
- 等效电源定理
- 戴维宁定理:任意线性含源二端电阻网络,其端电压与端电流之间满足线性代数关系,等效为一个理想电压源与一个电阻的串联组合。
- 诺顿定理:是戴维宁定理的对偶形式。

等效电源定理的应用:
- “等效电源定理”只适用于“线性电路”。
- 在电路分析中,等效电源定理主要用在两个方面:
1)将负载(响应端)以外的其它线性电路部分用等效电路替代,使分析简化;
2)如果电路中只有一个非线性元件,将除非线性元件以外的电路部分用等效电路替代,使电路成为一个单回路简单电路,便于分析。
第三章 单相正弦电路分析
一、正弦信号的三要素
- 正弦电压:随时间按正弦规律变化的电压。
正弦电压表达式:
- 正弦电流:随时间按正弦规律变化的电流。
正弦电流表达式:
- 正弦信号三要素:振幅、角频率、初相。
- 以正弦电流为例,三要素的具体表示如下:
二、相位、相位差的概念
- 相位:正弦量表达式中的角度。
- 初相:t = 0 时的相。
- 相位差:两个同频率正弦量的相位之差,其值等于它们的初相之差。
相位差表达式:
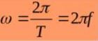
三、周期与频率的关系
- 周期(T):正弦量完整变化一周所需要的时间。
- 频率( f ): 正弦量在单位时间内变化的周数。
周期和频率的关系,频率表达式:
- 角频率(w):正弦量单位时间内变化的弧度数。
角频率与周期及频率的关系,角频率表达式:
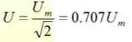
四、振幅与有效值的关系
- 振幅:正弦信号的最大值。
- 周期电流有效值:让周期电流 i 和直流电流 I 分别通过两个阻值相等的电阻R,如果在相同的时间T内,两个电阻消耗的能量相等,则称该直流电流 I 的值为周期电流 i 的有效值。
1. 有效值定义的表达式:
2.周期电流的有效值:
3. 由此可推出,正弦电流的有效值为:
4. 正弦电压的有效值为:
5. 有效值向量和振幅相量的关系:
第四章 半导体器件与二极管电路
一、什么是N型半导体与P型半导体
1.半导体:根据物体导电能力(电阻率)的不同,来划分导体、绝缘体、半导体。
- 常见的半导体:硅(Si)、锗(Ge)、砷化镓(GaAs)等。
- 半导体的导电特性:
1)热敏性:当环境温度升高时,导电能力显著增强。(可当成温度敏感元件,eg: 热敏电阻)
2)光敏性:当受到光照时,导电能力明显变化。(可制作成各种光电元件,eg: 光电电阻、光电二极管、光电晶体管)
3)掺杂性:往纯净的半导体中掺入某些杂质,导电能力明显变化。(可制作成各种不同用途的半导体器件,eg: 二极管)
- N型半导体
- 在本侦半导体中加入“五价元素”,这些五价元素在外层含有五个电子,除了四个与其周围的半导体原子构成共价键,还有一个电子成为自由电子。
- N型半导体中含有较高的自由电子浓度,自由电子是多数载流子(多子),空穴浓度较低,是少数载流子(少子)。
- P型半导体
- 在本征半导体中掺入“三价元素”,则形成P型半导体,空穴为多数载流子,而自由电子为少数载流子。
注意:
- N型半导体中多数载流子是自由电子;
- P型半导体中多数载流子是空穴;
- 无论是N型半导体,还是P型半导体,虽都有一种载流子占多数,但整个晶体仍然是“不带电的”,宏观上保持电中性。
- 掺杂半导体的 “多子浓度” 和 “导电能力”,均由掺杂浓度决定。
- 载流子的运动
-
漂移运动: 在电场的作用下,载流子的运动称为“漂移运动”,由漂移运动产生的电流为漂移电流。
-
扩散运动:由于浓度差引起的载流子运动称为“扩散运动”,产生的相应电流为扩散电流。
二、PN 结的特性
- PN结的形成
- 在同一片半导体基片上,分别制造P型半导体和N型半导体,将P型半导体和N型半导体结合在一起。
- 进入空间电荷区的少子,内建电场又将其驱动到对面(漂移运动),在一定温度下,如果无外界电场的作用,达到动态平衡,形成PN结。
- 扩散电流等于漂移电流;
- PN结中没有静电流流动;
- 耗尽区 / 阻挡层:指的是空间电荷区。
- PN结的单向导电性
- 当外加电场加入后,如果外电场方向与内电场方向一致(即“外加电压挣正端接N区,负端接P区),内建电场得到加强,空间电荷区加宽,载流子更难通过,因此不能导电(截至)。
- PN结加反向偏压,不导电(截止):
- 当外加电场方向与内电场方向相反(即“外加电压正端接P区,负端接N区”),内建电场受到削弱,空间电荷区变窄,载流子易于通过,因而产生导电现象(导通)。
- PN结加正向偏压,导电(导通):
- 这种只有一种方向导电的现象,称为“PN结的单向导电性”。
三、稳压二极管
- 稳压二极管的电路符号:
- 稳压二极管的特性:
- 当稳压二极管处于正向偏置时,其特性和普通二极管相同;
- 当稳压二极管处于反向偏置时,如果电压较小,则二极管处于截止状态,电流近似为 0 ;
- 当电压达到击穿电压值时,电流迅速增大,稳压二极管处于稳压状态。
- 稳压二极管的特点:
- PN结易于击穿(击穿电压比普通二极管低很多);
- PN结面积大,散热条件好,使反向击穿是可逆的。
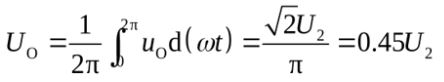
四、单相半波整流与桥式整流电路
- 整流电路的目的:把交流电变成直流脉动的电压,常见的整流电路:单相半波整流、单相全波整流、单相桥式全波整流。
- 单相半波整流电路:
- U2 < 0 , 二极管截止,输出电流为 0 ,即 U0 = 0
- U2 > 0 , 二极管导通忽略二极管正向压降,即 U0 = U2
- “单相半波整流”的输出电压平均值(U0):
- 二极管上的平均电流:ID = I0
- 二极管上承受的最高电压:
- 单相桥式全波整流:
- 输入电压的正负半周都有电流流过负载,且电流方向一致(单向脉动)。
- “单相桥式全波整流的输出电压U0平均值(直流分量):
- 负载平均电流: I0 = U0 / RL
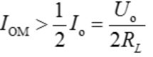
- 每个二极管中流过的电流是负载电流的一半,选择整流二极管要求最大整流电流满足:
- 一对二极管在反向截止时,每个管子承受的电压都是变压器二次电压的峰值,选择整流二极管时要求反向工作峰值电压满足:
第五章 晶体管放大电路基础
一、基本概念
- 放大电路:是一种功能模块电路,具有两个外接口,输入端口接受需要放大信号,输出端口将放大以后的信号送给负载。
- 受控电源:是一类电源模型,它的输出端具有理想电源的特性,但其参数却受到电路中其它变量的控制。
- 受控电压源的符号:
- 受控电流源的符号:
- 放大倍数:指放大电路输出信号与输入信号的比值。
- 输入电阻Ri: 反映了放大电路对信号源的影响程度。
- 对于电压信号源来说,放大电路的输入电阻越大越好,放大电路从信号源吸取电流小,信号源的负载轻;
- 对于电流信号源来说,放大电路的输入电阻越小越好。
- 输出电阻R0:反映放大电路输出受负载影响的程度。
- 频带范围:放大电路的放大倍数保持一定数值的工作信号频率范围,常采用3分贝频带表示。(eg: 给出放大电路放大倍数下降3分贝,即下降到正常值的0.707倍)
- 不失真输出范围:用放大电路的最大不失真输出幅度表示其不失真输出范围。
- 输入信号范围:放大电路常规定其输入信号的幅度范围。(eg: | Ui| <= 10 mV )
二、NPN型与PNP型晶体管
- 双极型晶体三极管(BJT , 简称“晶体管)
- BJT(晶体管):由两个PN构成,有NPN型和PNP型两种类型。
- NPN型晶体管:
- NPN型电路符号:
- PNP型晶体管:
- PNP型电路符号:
- 晶体管的输出特性:集电极电流受基级电流控制,所以晶体管又称为“电流控制件”。

三、晶体管的三个工作区
- 从输出特性上,可将晶体管分为三个工作区 / 工作状态:截止(Cut off) 、饱和(Saturation)、 放大(Active)。
- 晶体管工作在截止区 时,各极电流基本为零,可等效为断开的开关;
- 晶体管工作在放大区 时,集电极电流随基极电流变化,可等效为电流控制电流源;
- 晶体管工作在饱和区 时,各极之间的电压基本为零,可等效为闭合的开关。
四、晶体管三个区工作的条件
- 截止区
- 截止区:IB = 0曲线以下的区域。
- 条件:发射结零 或 反偏, UBE <= 0 , 集电结反偏。
- IB = 0, IC = IE = ICEO (穿透电流)
- 放大区
- 放大区:特性曲线中,接近水平的部分。
- 条件:发射结正偏,集电结反偏。
- 饱和区
- 饱和区:特性曲线左边UCE很小的区域。
- 条件:发射结正偏,集电结正偏。
- UBE > 0 , UBE > UCE , UC < UB
五、三极管放大电路的静态分析
- 放大电路分析的等效电路
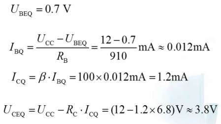
- 固定的近似条件:UBE = 0.7V(硅管), UBE = 0.3V(锗管)
- IBQ 、ICQ、UCEQ的计算公式:
- 检验晶体管是否处于放大状态:
1)若IBQ < 0, 晶体管截止;
2)若UCEQ < UCES(=0.3V), 晶体管饱和。
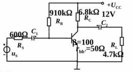
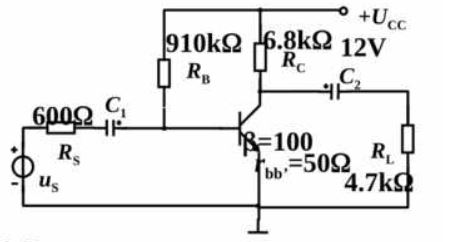
- 放大电路“静态工作点”分析例子解析:
- 静态工作点分析,公式求解如下图所示:
六、三极管放大电路的动态分析
- 放大电路的交流等效电路:
-
晶体管的小信号微变等效电路:
-
放大电路的小信号微变等效电路:(“-”表示反向放大电路 )

- 放大电路的动态分析方法
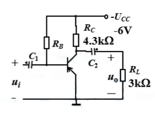
放大电路动态分析例子解析1:
条件:
步骤一:画出小信号等效电路
步骤二:公式求解如下图所示:
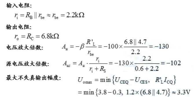
- 放大电路例子解析2:
- (1)静态分析,集电极静态电流为1mA, 所以,基极电流 IBQ为:
- (2)动态分析,求 r be :
- 画出放大电路的微变等效电路:
- 电压放大倍数:
七、稳定静态工作点
- 稳定静态工作点的方法:
最后
以上就是坚强草丛最近收集整理的关于电子电路基础——知识点(上篇)的全部内容,更多相关电子电路基础——知识点(上篇)内容请搜索靠谱客的其他文章。




















发表评论 取消回复