写在前面(2022年12月6日更新):
感谢评论区@ZSTU_QWQ的指出,新版本的MATLABdesolve函数直接按旧版本的写法写会出现报警告或者错误。我用2021b版本的MATLAB采用原来的代码会出现下面的警告:

所以我更改了原文,附上了旧版本和新版本的两种写法,都经过验证,代码是可行的,有错误欢迎在评论区指出。
-----------------------------------------------以下是原文-----------------------------------------------
1.desolve函数
desolve函数用于求解微分方程或微分方程组,话不多说,直接上例子:
1.1 求dy/dt=5的微分方程
旧版本的MATLAB写法
y1=dsolve(‘Dy==5’)
新版本的MATLAB写法
syms y(t)
eqn = diff(y,t) == 5;
y1 = dsolve(eqn)
1.2 求dy/dx=x的微分方程,x为自变量
旧版本的MATLAB写法
y2=dsolve(‘Dy==x’,‘x’)
新版本的MATLAB写法
syms y(x)
eqn = diff(y,x) == x;
y2 = dsolve(eqn)
1.3 求d2y/dt2=1+dy/dt的微分方程
旧版本的MATLAB写法
y3=dsolve(‘D2y==1+Dy’)
新版本的MATLAB写法
syms y(t)
eqn = diff(y,t,2) == 1+diff(y,t);
y3= dsolve(eqn)
1.4 求d2y/dt2=1+dy/dt的微分方程,初始条件y(0)=1,dy(0)/dt=0
旧版本的MATLAB写法
y4=dsolve(‘D2y==1+Dy’,‘y(0)==1’,‘Dy(0)==0’)
新版本的MATLAB写法
syms y(t)
Dy = diff(y);
eqn = diff(y,t,2) == 1+diff(y,t);
cond1 = y(0) == 1;
cond2 = Dy(0) == 0;
conds = [cond1 cond2];
y4 = dsolve(eqn,conds)
1.5 dx/dt=y+x,dy/dt=2*x的微分方程组的解,x=y5,y=y6
旧版本的MATLAB写法
[y5,y6]=dsolve(‘Dx == y+x’,‘Dy==2*x’)
新版本的MATLAB写法
syms x(t) y(t)
eqn1 = diff(x,t) == y+x;
eqn2 = diff(y,t) == 2*x;
eqn=[eqn1,eqn2];
[y5,y6]=dsolve(eqn)
1.6 dx/dt=y+x,dy/dt=2*x的微分方程组的解,初始条件x(0)=0,y(0)=1,x=y5,y=y6
旧版本的MATLAB写法
[y7,y8] = dsolve(‘Dx == y+x’,‘Dy==2*x’,‘x(0)==0’,‘y(0)==1’)
新版本的MATLAB写法
syms x(t) y(t)
eqn1 = diff(x,t) == y+x;
eqn2 = diff(y,t) == 2*x;
cond1 = x(0) == 0;
cond2 = y(0) == 1;
eqn = [eqn1,eqn2];
cond = [cond1,cond2];
[y7,y8] = dsolve(eqn,cond)
1.7 求dy/dx=-2y+2x^2+2*x,初始条件y(0)==1,x为自变量
旧版本的MATLAB写法
y9=dsolve(‘Dy==-2y+2x^2+2*x’,‘y(0)==1’,‘x’)
新版本的MATLAB写法
syms y(x)
eqn = diff(y,x) == -2*y+2*x^2+2*x;
cond = y(0) == 1;
y9 = dsolve(eqn,cond)
注意:旧版本的MATLAB里dsolve函数用单引号将方程引起来,方程里不能用.*或者.^ 的符号。新版本用syms进行代替没有这个要求。
2.solve函数
solve函数用于求解一般的方程(非微分方程),话不多说,直接上例子:
2.1 求sin(x)=1/2方程的根
x1=solve(sin(x)==1/2)
2.2 求x^3-1==0方程的根
x2=solve(x.^3-1==0)
2.3 求ax+b=0的解
syms f x a b
f=a*x+b;
x3=solve(f,x) %x3=-b/a
2.4 求二元一次方程组x+y=1和2x-y=1的解
syms x y
s=solve(x+y-1,2*x-y-1,x,y);%s是一个结构体
s.x % x=2/3
s.y % y=1/3
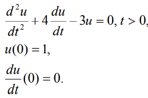
2.5 求解二阶微分方程(方程如下)

syms r
l=solve(r^2+4*r-3,r)
syms t c1 c2
u=c1*exp(l(1)*t)+c2*exp(l(2)*t)
c=solve(subs(u,t,sym(0))-1,subs(diff(u,t),t,sym(0)),c1,c2)
u=subs(u,{c1,c2},{c.c1,c.c2})
tt=linspace(0,5,21);
plot(tt,subs(u,t,tt))
结果:

注意:solve函数不用单引号将方程引起来,方程里可以用.*或者.^ 的符号,也可以不用。
最后
以上就是温婉牛排最近收集整理的关于matlab中desolve、solve函数的应用1.desolve函数2.solve函数的全部内容,更多相关matlab中desolve、solve函数内容请搜索靠谱客的其他文章。
发表评论 取消回复