
数字信号特点:
在传输过程中可实现无噪声积累
便于加密处理
便于设备的集成和微型化
占用的信道频带宽
码元:在数字通信中常常用时间间隔相同的符号来表示一个二进制数字,这样的时间间隔内的信号称为(二进制)码元。 而这个间隔被称为码元长度。值得注意的是当码元的离散状态有大于2个时(如M大于2个) 时,此时码元为M进制码元。
码元传输速率:又称为码元速率或传码率。其定义为每秒钟传送码元的数目,单位为"波特",又可以称为波特率,常用符号"Baud"表示
香农定理:给出了信道信息传送速率的上限(比特每秒)和信道信噪比及带宽的关系
信道容量Rmax与信道带宽W,信噪比S/N关系为:
Rmax=W*log2(1+S/N)
时域和频域
时域的自变量是时间,时域表达信号随时间的变
化。频域的自变量是频率,频域表达信号随频率的变
化。
通讯方式:
时序系统
电子标签和读写器的信息传输是在电子标签能量供应间歇进行的,读写器与电子标签不同时发射,这种方式可改善信号受干扰的状况,提高系统的工作距离。
全双工系统
电子标签和读写器之间可以在同一时刻互相传送信息
半双工系统
电子标签和读写器之间可以双向传送信息,但在同一时刻只能向一个方向传送信息
通信握手
通信握手是指读写器与电子标签双方在通信开始、结束和通信过程中的基本沟通,通信握手要解决通信双方的工作状态、数据同步和信息确认等问题。
(1)优先通信。
RFID由通信协议确定谁优先通信,即是读写器,还是电子标签。对于无源和半有源系统,都是读写器先讲;对于有源系统,双方都有可能先讲。
(2)数据同步。
读写器与电子标签在通信之前,要协调双方的位速率,保持数据同步。读写器与电子标签的通信是空间通信,数据传输采用串行方式进行。
(3)信息确认。
信息确认是指确认读写器与电子标签之间信息的准确性,如果信息不正确,将请求重发。RFID的通信协议常采用自动连续重发,接收方比较数据后丢掉错误数据,保留正确数据。
信道:
一类是电磁波在空间传播的渠道,如短波信道、微波信道等;
另一类是电磁波的导引传播渠道,如电缆信道、波导信道等
信道带宽:指频率范围
信道传输速率
数据传输速率在数值上等于每秒钟传输数据代码的二进制比特数,数据传输速率的单位为比特/秒(b/s)。
波特率与比特率
在信息传输通道中,携带数据信息的信号单元叫码元,每秒钟通过信道传输的码元数称为码元传输速率,简称波特率。比特率是数据传输速率,表示单位时间内可传输二进制位的位数。
如果一个码元的状态数可以用M个离散电平个数来表示,有如下关系:

信道容量:
具有理想低通矩形特性的信道
最高码元传输速率=2BW
也即这种信道的最高数据传输速率为:C=2BWlog2M;
带宽受限且有高斯白噪声干扰的信道。

带宽越大,信道容量越大。在物联网中RFID主要选用微波频率,微波
频率比低频频率和高频频率有更大的带宽。
信噪比越大,信道容量越大。RFID无线信道有传输衰减和多径效应等
,应尽量减小衰减和失真,提高信噪比。
编码与调制
信源编码与解码
(1)提高信息传输的有效性
(2)完成模/数转换
信道编码与解码
信道编码是对信源编码器输出的信号进行再变换,包括区分通路、适应信道条件和提高通信可靠性而进行的编码。信道解码是信道编码的逆过程
保密编码与解码
保密编码是对信号进行再变换,即为了使信息在传输过程中不易被人窃译而进行的编码
调制的目的是把传输的模拟信号或数字信号,变换成适合信道传输的信号,调制就是将基带信号的频谱搬移到信道通带中的过程,经过调制的信号称为已调信号,已调信号的频谱具有带通的形式,已调信号称为带通信号或频带信号。
编码方法:考虑电子标签能量的来源,电子标签检错的能力,电子标签的时钟提取
1)反向不归零(NRZ)编码
只适合近距离传输信息
要求传输线有一根地线 不包含位同步成分,不能直接用来提取位同步信号
2)曼彻斯特(Manchester)编码
也叫分相编码(Split-Phase Coding)
特点
1,方便提取位同步时钟 因此称为自同步编码
2,有利于发现数据传输的错误
3,是一种归零码
3)单极性归零(Unipolar RZ)编码
当发1码时发出正电流,但持续时间短于一个码元时间;
发0时完全不发送电流
4)差动双相(DBP)编码
差动双相编码在半个位周期中的任意的边沿表示二进制“0”,而没有边沿跳变表示二进制“1”。此外,在每个位周期开始时,电平都要反相。因此,对接收器来说,位节拍比较容易重建。
5)密勒编码
密勒编码在位周期开始时产生电平交变,对接收器来说,位节拍比较容易重建。密勒编码在半个位周期内的任意边沿表示二进制1,而经过下一个位周期中不变的电平表示二进制0。
6)变形密勒编码
变形密勒编码相对于密勒编码来说,将其每个边沿都用负脉冲代替。由于负脉冲的时间较短,可以保证数据在传输过程中,能够从高频场中持续为射频标签提供能量。变形密勒编码在电感耦合的射频识别系统中,主要用于从读写器到射频标签的数据传输。
7)差分编码
对于差分编码,每个要传输的二进制1都会引起信号电平的变化,而对于二进制0,信号电平保持不变。
数字调制方法:
幅移键控
调幅是指载波的频率和相位不变,载波的振幅随调制信号的变化而变化。振幅键控是利用载波的幅度变化来传递数字信息,在二进制数字调制中,载波的幅度只有两种变化,分别对应二进制信息的1和0。
1)二进制幅移键控



特点:
1)二进制振幅键控信号的功率谱由连续谱和离散谱两部分组成,连续谱取决于经线性调制后的双边带谱,而离散谱由载波分量确定。
2)二进制振幅键控信号的带宽是基带信号带宽的两倍,若只计功率谱密度的主瓣(第一个谱零点的位置),传输的带宽是码元速率的两倍。
频移键控
频移键控(FSK)是利用载波的频率变化来传递数字信息,是对载波的频率进行键控。二进制频移键控载波的频率只有两种变化状态,载波的频率在和两个频率点变化,分别对应二进制信息的1和0。
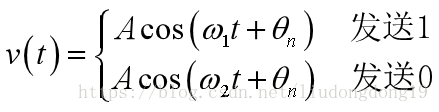
1)二进制频移键控的定义
二进制频移键控信号可以表示成在两个频率点变化的载波,其表达式为:


相移键控
相移键控(PSK)是利用载波的相位变化来传递数字信息,是对载波的相位进行键控。二进制相移键控载波的初始相位有两种变化状态,通常载波的初始相位在0和π两种状态间变化,分别对应二进制信息的1和0。

副载波调制
副载波调制是指首先把信号调制在载波1上,出于某种原因,决定对这个结果再进行一次调制,于是用这个结果去调制另外一个频率更高的载波2。
在RFID副载波调制中,首先用基带编码的数据信号调制低频率的副载波,已调的副载波信号用于切换负载电阻,然后采用振幅键控ASK、频移键控FSK或相移键控PSK的调制方法,对副载波进行二次调制。
最后
以上就是专一香菇最近收集整理的关于RFID通信基础的全部内容,更多相关RFID通信基础内容请搜索靠谱客的其他文章。
发表评论 取消回复