目录
一、问题背景
二、问题深入
三、C model代码
四、初始思路分析
五、方案存在的问题
六、问题解决方式
七、总结
一、问题背景
假设存在这样的单链表,链表每个节点为16bit,其中bit14为1标明该节点是否为根节点,如果是根节点则bit 13-0用于存储根节点对应数据;如果bit14为0则标明该节点是中间节点,bit 13-0则存储该节点指向的下一节点位置。
二、问题深入
在此题设下如果一个单链表存储在sram中,需要完成这个单链表的遍历,即找出链表中每条单链的根节点,获取根节点中存储的数据,赋给每一个中间节点,例如单链表连接如下:

需要经过遍历后所有中间节点都存储根节点信息:

三、C model代码

四、初始思路分析
与C model一致,对每个节点先读出,判断是否为根节点,不是根节点则顺着链表往下知道找到根节点,得到根节点中存储数据;随后再次从头节点开始,先读出该节点数据得到下一个节点地址,随后将根节点数据写入到该节点中,如此往复,下面以上面图中的链表为例描述memory读写行为:
第一步:找出根节点,需要依次读memory的地址7->3->5->2->1

第二步:再次顺着链表刷掉中间节点,同样依次读地址7->3->5->2->1;同时也需要依次写地址7->3->5->2,写的数据是从地址1中读出的数据。

五、方案存在的问题
1、每条单链表需要访问每个地址2次;
2、因为sram读使能与读数据之间有一个cycle的latency,因此需要2个cycle才能完成在链表中一级跳转,效率低。
六、问题解决方式
1、将初始思路中第一步遍历链表时的地址记录进fifo,第二次访问时直接从fifo中获取链表跳转地址,省去第二次链表读操作:

2、将链表头按照奇数偶数分成2组,穿插着进行遍历,即在读sram是的ram_ren的下一个cycle,原本需要等待数据从sram中出来,但是此时可以用于另一条链的遍历。
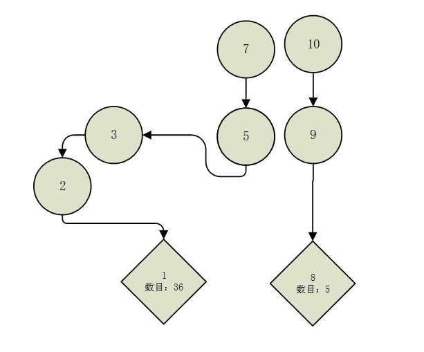
例如有下面两个链:

遍历7->3->5->2->1时,可穿插着遍历10->9->8,具体时序如下:

分组可以按照不同的方式,例如可以按照起始节点地址大小分,也可以按照奇偶地址分,修改后模块示意图为:

七、总结
到此解决了上述的问题,可以比较高效完成多个单链表遍历,每个cycle可以在链表中跳转一次。
最后
以上就是激昂向日葵最近收集整理的关于<RTL设计的艺术> verilog实现单链表遍历一、问题背景二、问题深入三、C model代码四、初始思路分析五、方案存在的问题六、问题解决方式七、总结的全部内容,更多相关<RTL设计的艺术>内容请搜索靠谱客的其他文章。
发表评论 取消回复