逻辑代数基础
- 一 逻辑代数基本概念
- 1.基本逻辑运算
- 2.逻辑运算的基本定律
- 3.三个基本规则
- 4.最小项表达式
- 5.最简表达式
- 二 逻辑函数公式法化简
- 1.并项法
- 2.吸收法
- 3.消去法
- 4.配项消项法
- 5.综合练习
- 三 逻辑函数卡诺图化简
- 1.变量卡诺图的画法
- 2.卡诺图最小项 合并规律
- (1) 两个相邻最小项合并可以消去一个因子(消去那个不同的)
- (2) 四个相邻最小项合并可以消去两个因子
- (3) 八个相邻最小项合并可以消去三个因子
- 3.逻辑卡诺图化简
- 四 具有无关项的逻辑函数化简
- 1. 具有约束的逻辑函数的化简
- 五 逻辑函数的表示方法及其相互之间的转换
一 逻辑代数基本概念
1.基本逻辑运算
| 逻辑表达式 | 运算逻辑符号 | 逻辑真值表 | |
|---|---|---|---|
| 与 | ![]() | ![]() | ![]() |
| 或 | Y=A+B | ![]() | ![]() |
| 非 | ![]() | ![]() | ![]() |
| 与非 | ![]() | ![]() | ![]() |
| 或非 | ![]() | ![]() | ![]() |
| 与或非 | ![]() | ![]() | ![]() |
| 同或 | ![]() | ![]() | ![]() |
| 异或 | ![]() | ![]() | ![]() |
一些概念
- 与逻辑:在逻辑问题中,如果决定某一事件发生的多个条件必须同时具备,事件才能发生,则称这种因果关系为与逻辑,也可称为与关系、与运算
- 或逻辑:如果决定某一事件发生的多个条件中,只要有一个或一个以上条件成立,事件便可发生,则称这种因果关系为或逻辑,也可称为或关系(或运算)
- 非逻辑:如果某一事件的发生取决于条件的否定,即事件与事件发生的条件之间构成矛盾,则这种因果关系称为非逻辑,也可称为非关系、非运算。
- 与非逻辑:与逻辑运算和非逻辑运算的复合,它将输入变量先进行与运算,然后再进行非运算。在与非运算中,只要输入变量中有一个为 0,输出就为 1。只有输入变量全部为 1 时,输出才为 0。
- 或非逻辑:或非逻辑是或逻辑运算和非逻辑运算的复合,将输入变量先进行或运算,然后再进行非运算。在或非运算中,只要输入变量中有一个为 1,输出就为 0。或者说,只有输入变量全部为 0 时,输出才为 1。
- 与或非逻辑:与或非逻辑是与逻辑运算和或非逻辑运算的复合。它是先将输入变量 A、B 及 C、D 分别进行与运算,然后再进行或非运算。
- 同或逻辑:当两个输入变量 A 和 B 取值相同时,输出 Y 才为 1,否则 Y 为 0,这种逻辑关系称为同或运算
- 异或逻辑:当两个输入变量 A 和 B 取值不相同时,输出 Y 才为 1,否则 Y 为 0,这种逻辑关系称为异或运算
- 正负逻辑:正逻辑体制规定高电平为逻辑“1”,低电平为逻辑“0”;负逻辑体制规定低电平为逻辑“1”,高电平为逻辑“0”。数字电路的输入量和输出量一般用高、低电平表示。
- 逻辑变量:在逻辑代数中,使用英文字母来表示变量,并将其称为逻辑变量。
- 逻辑函数:在上述三个逻辑表达式中,式中的 A 、 B 称为输入逻辑变量,Y 为输出逻辑变量,字母上面无反号的称为原变量,有反号的称为反变量。三个表达式准确描述了与、或、非三种基本逻辑关系。
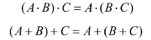
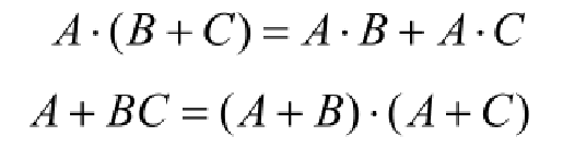
2.逻辑运算的基本定律
| 公式名 | 表达式 |
|---|---|
| 交换律 | ![]() |
| 结合律 | ![]() |
| 分配律 | ![]() |
| 同一律 | ![]() |
| 还原律 | ![]() |
| 摩根定理 | ![]() |
常量之间的关系
| 常量之间 与关系 | ![]() |
|---|---|
| 常量之间 或关系 | ![]() |
| 常量之间 非运算 | ![]() |
变量与常量的关系
| 与关系 | ![]() |
|---|---|
| 或关系 | ![]() |
3.三个基本规则
(1)代入规则

(2)反演规则
已知函数 F,要求其反函数 时,只要将 中所有原变量变为反变量、反变量变为原变量、与运算变成或运算(乘变加)、或运算变成与运算(加变乘)、0 变为 1、1 变为 0、两个或两个以上变量公用的长“非”号保持不变,便得到 ,这就是反演规则。

(3)对偶规则
函数中各变量保持不变,而所有的与运算变为或运算(乘变加)、所有的或运算变为与运算(加变乘)、0 变为 1、1 变为 0、两个或两个以上变量所公用的长非号保持不变,则得到一个新函数 , 就是 对偶函数,这就是对偶规则。


4.最小项表达式


5.最简表达式
(1)最简与或式(重点/核心):乘积项的个数最少,每个乘积项中相乘的变量个数也最少的与或表达式,叫做最简与或表达式

(2)最简与非-与非式:非号最少,每个非号下面相乘的变量个数也最少的与非-与非式,叫做最简与非-与非表达式。注意,单个变量上面的非号不计算在上述定义中,因为已将其当成反变量

(3)最简或与式:括号个数最少,每个括号中相加的变量的个数也最少的或与式,叫做最简或与表达式。在将函数的反函数化简为最简与或表达式的基础上,再一次取反,然后用摩根定理去掉反号,便可得到函数的最简或与表达式

(4)最简或非-或非式:非号个数最少,非号下面相加变量的个数也最少的或非-或非式,叫做最简或非-或非表达式。
解法:在最简或与式的基础上,两次取反,再用摩根定理去掉下面的反号,所得到的便是函数的最简或非-或非表达式。

(5)最简与或非式:在非号下面相加的乘积项的个数最少,每个乘积项中相乘的变量个数也最少的与或非式,叫做最简与或非表达式。


二 逻辑函数公式法化简
常用化简方法
| 并项法 | ![]() |
|---|---|
| 吸收法 | ![]() |
| 消去法 | ![]() |
| 配项消项法 | ![]() ![]() ![]() |
1.并项法




2.吸收法



3.消去法


4.配项消项法


5.综合练习

三 逻辑函数卡诺图化简
卡诺图(Karnaugh maps): 凡两个逻辑相邻项可合并成一项。按照这个规律,可以把逻辑函数中的各个最小项用图形表示出来,这种图就叫卡诺图。
卡诺图缺点: 函数的变量个数不宜超过 6 个
卡诺图特点: 用几何相邻表示逻辑相邻
逻辑相邻: 两个最小项只有一个变量不同
几何相邻
- 相接:紧挨着
- 相对:行或列的两头
- 相重:对折起来位置重合
逻辑相邻的两个最小项可以合并成一项,并消去一个因子。如:
需要强调的是,为了符合相邻原则, 排列次序必须是“00、01、11、10”,这样排列就保证了 与它的三个相邻方格 在逻辑上是相邻的,即 与它的三个相邻最小项都仅有一个变量取值不同。
卡诺图的结构: 对于有 n 个变量的逻辑函数,全部最小项的个数有 2的n次方个,因而对应卡诺图中的小方格就有 2的n次方个
1.变量卡诺图的画法
| 两变量 | ![]() |
|---|---|
| 三变量 | ![]() |
| 四变量 | ![]() |
| 五变量 | ![]() |
2.卡诺图最小项 合并规律
2的n次方 个相邻最小项合并可以消去 n 个因子
(1) 两个相邻最小项合并可以消去一个因子(消去那个不同的)

(2) 四个相邻最小项合并可以消去两个因子

(3) 八个相邻最小项合并可以消去三个因子

3.逻辑卡诺图化简
步骤
- 根据最小项中的最大数确定变量的个数,然后画出相应的卡诺图
- 画圈,方格数符合2的n次方关系,遵循的原则是: 圈越大越好,圈的总数越少越好,允许重叠。每个圈内至少有一个别的圈未包括进去的”1“。
- 找相同,相与。得到最简表达式
口诀
天涯海角:B反D反
中心四子:BD
例子


四 具有无关项的逻辑函数化简
完全定义函数: 任意逻辑函数,其函数值非“0”即“1”,即对于有 个变量的函数来说,其最小项共有 2N 个,若其中 个最小项使函数值为“1”,则其余 个最小项就使函数值为“0”,这样的函数称为完全定义函数
无关项: 函数取值无关的最小项称为无关项,有时也称为约束项、任意项、禁止项。(实际工程问题中,一个 变量的函数并不一定与 2的n次方个最小项都有关,而仅与其中一部分有关)
约束项: 不会出现的变量取值所对应的最小项。
约束条件: 由约束项相加所构成的值为 0 的
逻辑表达式。
约束条件的表达方式
- 在真值表和卡诺图上用叉号(╳)表示。x作为1/0以得到的包围圈最大且个数最少为原则
- 在逻辑表达式中,用等于 0 的条件等式表示。

1. 具有约束的逻辑函数的化简


五 逻辑函数的表示方法及其相互之间的转换
| 方法 | 表现形式 | 优点 | 缺点 |
|---|---|---|---|
| 逻辑表达式 | Y=AB+BC+CA | 书写简洁方便,易用公式和定理进行运算、变换。 | 逻辑函数较复杂时,难以直接从变量取值看出函数的值。 |
| 真值表 | ![]() | 直观明了,便于将实际逻辑问题抽象成数学表达式 | 难以用公式和定理进行运算和变换;变量较多时,列函数真值表较繁琐 |
| 卡诺图 | ![]() | 便于求出逻辑函数的最简与或表达式 | 只适于表示和化简变量个数比较少的逻辑函数,也不便于进行运算和变换 |
| 逻辑图 | ![]() | 最接近实际电路 | 不能进行运算和变换,所表示的逻辑关系不直观 |
| 波形图 | ![]() | 形象直观地表示了变量取值与函数值在时间上的对应关系。 | 难以用公式和定理进行运算和变换,当变量个数增多时,画图较麻烦 |
最后
以上就是背后小鸽子最近收集整理的关于【数电】第一章 逻辑代数基础一 逻辑代数基本概念二 逻辑函数公式法化简三 逻辑函数卡诺图化简四 具有无关项的逻辑函数化简五 逻辑函数的表示方法及其相互之间的转换的全部内容,更多相关【数电】第一章内容请搜索靠谱客的其他文章。
















































发表评论 取消回复