文章目录
- 前言
- 1. 工作频段
- 2. 信道带宽、传输带宽配置、保护带
- 2.1 信道带宽
- 2.2 传输带宽配置
- 2.3 保护带
- 2.4 信道带宽、传输带宽配置与最小保护带之间的关系
- 3. 信道安排
- 3.1 信道栅格
- 3.1.1 全局频率栅格
- 3.1.2 信道栅格
- 3.1.3 每个工作频段适用的信道栅格
- 3.2 同步栅格
- 3.2.1 全局同步栅格
- 3.2.2 同步栅格
- 3.2.3 每个工作频段适用的同步栅格
- 4. 总结
- 参考文献
前言
本篇以3GPP TS 38.104为基础介绍5G NR工作频段和信道安排相关内容,其中信道栅格和同步栅格是本篇的重点和难点。
1. 工作频段
NR工作在两大频率范围(Frequency Range,FR):FR1和FR2,如下表1-1所示 [1]。FR1又称作Sub-6 GHz(6 GHz以下)频段,主要用于实现5G网络连续广覆盖、高速移动性场景下的用户体验,以及海量设备连接;FR2又称作毫米波频段,主要用于满足城市热点、郊区热点和室内场景等极高的用户体验速率和峰值容量需求 [2]。

FR1和FR2中,又划分了多个不同的工作频段,如下表1-2和下表1-3所示 [1]。表中工作频段阿拉伯数字之前的n代表NR。


注释:
结合上表1-2和表1-3做一些补充说明:
- 由于上下行功率差异大、上行时隙配比不均等原因,上行覆盖受限成为NR在FR1的高频段部署的关键瓶颈,因此NR专门增加了低频的补充上行(Supplementary UpLink,SUL)频段,即只有上行频段而没有对应的下行频段,如n80 ~ n84、n86、n89。低频的SUL和高频相结合,可以充分利用低频的上行覆盖优势和高频的大带宽优势 [2]。
- 和LTE类似,NR也新增了补充下行(Supplementary DownLink,SDL)频段,即只有下行频段而没有对应的上行频段。定义SDL的目的是为了与其他频段进行下行载波聚合 [2]。
- 中国移动授权的5G室外覆盖的频率范围是2515 MHz ~ 2675 MHz(落在n41频段范围内),通常简称2.6 GHz频段;微基站覆盖(也可用于室分覆盖)的频率范围是4800 MHz ~ 4900 MHz,通常简称4.9 GHz频段。中国电信授权的5G频率范围是3400 MHz ~ 3500 MHz。中国联通授权的5G频率范围是3500 MHz ~ 3600 MHz。3400 MHz ~ 3600 MHz通常简称为3.5 GHz频段。
2. 信道带宽、传输带宽配置、保护带
2.1 信道带宽
信道带宽(Channel Bandwidth,CB)或者严格来说是基站信道带宽,是基站在上下行支持的单个射频载波的宽度 [1],记作 B W C h a n n e l BW_{rm Channel} BWChannel,单位为MHz。NR支持5 MHz ~ 400 MHz的信道带宽。
与LTE不同的是,NR可以在同一个载波上支持不同的UE信道带宽,即部分带宽(Bandwidth Part,BWP),用于向与基站连接的UE发送或接收信号。可以在基站信道带宽的范围内灵活放置UE信道带宽,基站能够在载波资源块的任何位置发送或接收一个或多个UE的BWP,BWP应小于或者等于载波的资源块数 [1][2]。
3GPP规定了每个工作频段支持的信道带宽及子载波间隔。具体请参考[1]中的Table 5.3.5-1和Table 5.3.5-2。
2.2 传输带宽配置
传输带宽配置(Transmission Bandwidth Configuration,TBC)是信道带宽内可用的最大资源块(Resource Block,RB)数,记作 N R B N_{rm RB} NRB。传输带宽配置和信道带宽及子载波间隔(Subcarrier Spacing,SCS)有关 [1]。
表2-1和表2-2分别规定了FR1和FR2中,不同信道带宽和子载波间隔下的传输带宽配置 N R B N_{rm RB} NRB [1]。


传输带宽配置不仅定义了不同信道带宽和子载波间隔配置下最大可用RB数,还定义了不同配置下的最大频谱利用率(Spectrum Utilization)。频谱利用率为传输带宽所占用信道带宽占整个信道带宽的比例,即 频谱利用率 = N R B × 12 × 子载波间隔 信道带宽 (2-1) text{频谱利用率}=frac{N_{rm RB} times 12 times 子载波间隔}{信道带宽} tag{2-1} 频谱利用率=信道带宽NRB×12×子载波间隔(2-1)
以FR1中信道带宽100 MHz,子载波间隔30 kHz为例(表2-1第4行最后1列)。该信道带宽和子载波间隔配置下的最大频谱利用率为 273 × 12 × 30 k H z / 100 M H z = 98.28 % 273 times 12 times 30~ {rm kHz}/100~{rm MHz} = 98.28% 273×12×30 kHz/100 MHz=98.28%。不同信道带宽和子载波间隔配置下的频谱利用率可参考[2]中的表3-4和表3-5。
2.3 保护带
保护带(Guard Band,GB),顾名思义,用于抑制相邻信道泄漏,降低误差矢量幅度(Error Vector Magnitude,EVM)。保护带位于信道带宽的边缘,不能用作传输。
信道带宽、传输带宽配置和保护带的关系如下图2-1所示 [1]:

表2-3和表2-4分别规定了FR1和FR2中,不同信道带宽和子载波间隔下的最小保护带大小 [1]。


另外,当SCS 240 kHz SS/PBCH块放置在信道带宽边缘时,最小保护带规定如下表2-5所示 [1]。

注释: 由于SS/PBCH块是UE接入小区所解调的第一个信号,传递的信息非常重要,设置较大的保护带可以避免SS/PBCH块受到邻近信道的干扰。
当多个参数集(Numerology)复用在同一个OFDM符号上时,最小保护带的设置有一些特殊规定,详情请参考3GPP TS 38.104的5.3.3小节 [1]。
注释:
与LTE相比,NR的保护带有以下2个显著特点 [2]:
- 保护带占信道带宽的比例不是固定不变的:LTE中的保护带占信道带宽的比例固定为10%(1.4 MHz除外),而NR只规定了最小保护带,且两侧的最小保护带之和所占信道带宽的比例是2% ~ 21%(FR1)/5% ~ 7%(FR2)。
- 信道带宽两侧的保护带大小可以不一致,即所谓的asymmetric:这样的设计给NR部署带来了很大的灵活性,即可以根据相邻信道的干扰条件设置不同的保护带。如果NR与相邻信道的干扰较大,则可以设置较大的保护带以减少干扰;反之,则可以设置较小的保护带以提高频谱利用率。NR的频谱利用率最高可以达到98%(FR1)/ 95%(FR2),较LTE的90%有了显著提高。
2.4 信道带宽、传输带宽配置与最小保护带之间的关系
通过观察表2-3和表2-4可以发现,去掉两侧的最小保护带后,剩余信道带宽所包含的子载波数比根据 N R B N_{rm RB} NRB计算得到的子载波数(即 N R B × 12 N_{rm RB} times 12 NRB×12)多了一个子载波。例如,当信道带宽为100 MHz、SCS=30 kHz时, N R B = 273 N_{rm RB}=273 NRB=273(见表2-1),最小保护带为845 kHz(见表2-3)。此时,去掉两侧的最小保护带后剩余信道带宽所包含的子载波数为 ( 100 × 1000 − 845 ∗ 2 ) / 30 = 3277 (100 times 1000 - 845*2)/30=3277 (100×1000−845∗2)/30=3277,而根据 N R B N_{rm RB} NRB计算得到的子载波数为 273 × 12 = 3276 273 times 12 = 3276 273×12=3276。这里多出1个子载波的原因是NR某些频带的开始频率和终止频率有时和信道栅格不一致,因此需要增加1个子载波以确保两侧的保护带大于或等于最小保护带的要求 [2]。
由此,我们可以得到信道带宽、传输带宽配置与最小保护带三者之间的关系,如下所示 [3]:
最小保护带
=
信道带宽
−
N
R
B
×
12
×
子载波间隔
−
子载波间隔
2
(2-2)
{rm 最小保护带} = frac{信道带宽-N_{rm RB} times 12 times 子载波间隔-子载波间隔}{2} tag{2-2}
最小保护带=2信道带宽−NRB×12×子载波间隔−子载波间隔(2-2)
我们以信道带宽50 MHz,子载波间隔30 kHz为例。该信道带宽和子载波间隔配置下的最小保护带为
(
50
×
1000
−
133
×
12
×
30
−
30
)
/
2
=
1045
k
H
z
(50 times 1000 - 133times 12times30-30~)/2=1045 ~{rm kHz}
(50×1000−133×12×30−30 )/2=1045 kHz,与表2-3一致。
3. 信道安排
3.1 信道栅格
信道栅格(Channel Raster,CR),顾名思义,用于指示信道频域位置的栅格。信道栅格将频率范围栅格化,每个格点指示一个绝对的频率位置,而载波也就是信道的中心频率必须落在信道栅格上。
LTE中,对于所有频带,信道栅格粒度为100 kHz,并由E-UTRA绝对无线频率信道号(Absolute Radio Frequency Channel Number,EARFCN)指定 [4]。
NR中,由于NR支持更高的工作频段和更大的信道带宽,且支持不同的子载波间隔配置(即参数集),因此NR先是定义了全局频率栅格(Global Frequency Raster,GFR),并在此基础上又针对不同工作频段定义了信道栅格,以减小计算量 [5]。
3.1.1 全局频率栅格
NR中,全局频率栅格定义了一组参考频率(Reference Frequency) F R E F F_{rm REF} FREF,用于识别信道、同步信号块(SSB)和其他元素(如Point A)的位置。全局频率栅格定义的频率范围为0 ~ 100 GHz,粒度为 Δ F G l o b a l Delta F_{rm Global} ΔFGlobal [1]。
参考频率由全局频率栅格上的NR绝对无线频率信道号(NR Absolute Radio Frequency Channel Number,NR-ARFCN)指定。NR-ARFCN也称作频点号 [2],记作 N R E F N_{rm REF} NREF,其范围为0 ~ 3279165。参考频率 F R E F F_{rm REF} FREF(单位 MHz)和NR-ARFCN N R E F N_{rm REF} NREF的关系如下 [1]: F R E F = F R E F _ O f f s + Δ F G l o b a l ( N R E F − N R E F _ O f f s ) (3-1) F_{rm REF} = F_{rm REF_Offs} + Delta F_{rm Global} left(N_{rm REF}-N_{rm REF_Offs}right) tag{3-1} FREF=FREF_Offs+ΔFGlobal(NREF−NREF_Offs)(3-1),其中各参数见下表3-1 [1]。

以
N
R
E
F
=
600000
N_{rm REF}=600000
NREF=600000为例。
N
R
E
F
=
600000
N_{rm REF}=600000
NREF=600000对应的参考频率为
3000
M
H
z
+
15
×
(
600000
−
600000
)
k
H
z
=
3000
M
H
z
3000~{rm MHz}+15times(600000-600000)~{rm kHz} = 3000~{rm MHz}
3000 MHz+15×(600000−600000) kHz=3000 MHz。
3.1.2 信道栅格
NR中,信道栅格定义为参考频率 F R E F F_{rm REF} FREF的子集,或者说全局频率栅格的子集,用于识别上下行的信道位置,即载波或信道的中心频点。每个工作频段适用一个粒度为 Δ F R a s t e r Delta F_{rm Raster} ΔFRaster的信道栅格,并对应全局频率栅格中的一部分参考频率(由NR-ARFCN指定)[1]。 Δ F R a s t e r Delta F_{rm Raster} ΔFRaster需大于等于 Δ F G l o b a l Delta F_{rm Global} ΔFGlobal,以减少计算量 [1] [2]。
简而言之,信道栅格是在全局频率栅格的基础上,根据工作频段对参考频率做了范围和步长的限制,指示了在该工作频段上载波中心频点的可选位置。
那么信道栅格又是如何识别上下行的信道位置的呢?3GPP定义了信道栅格上的参考频率与对应的资源单元(Resource Element,RE)之间的映射关系,用于识别信道的位置。
信道栅格上的参考频率与对应RE之间的映射关系如下表3-2所示。该映射关系取决于传输带宽配置 N R B N_{rm RB} NRB,并适用于上行和下行。其中, n P R B n_{rm PRB} nPRB是PRB的索引, k k k是该PRB上RE的索引(0~11)。

更确切地说,信道栅格上的参考频率对应的是信道带宽上索引为
⌊
N
R
B
2
⌋
lfloor frac{N_{rm RB}}{2} rfloor
⌊2NRB⌋的PRB上的索引为0或6的子载波的中心。
注释:
LTE下行方向的信道中心有一个未使用的子载波,即DC子载波,由于DC子载波不参与基带子载波的调制,因此LTE信道栅格上的参考频率正好是信道带宽的中心。而NR的DC子载波参与基带子载波的调制,从而导致NR信道栅格上的参考频率与信道带宽的中心频率之间偏移1/2个子载波 [2]。
3.1.3 每个工作频段适用的信道栅格
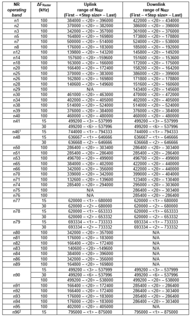
如上所述,3GPP在全局频率栅格的基础上,针对不同工作频段定义了信道栅格,规定了每个工作频段所适用的NR-ARFCN的范围和步长。FR1的每个工作频段适用的NR-ARFCN和FR2的每个工作频段适用的NR-ARFCN分别见下表3-3和表3-4 [1]。


- 对于具有100 kHz信道栅格的工作频段, Δ F R a s t e r = 20 × Δ F G l o b a l Delta F_{rm Raster} = 20 times Delta F_{rm Global} ΔFRaster=20×ΔFGlobal。在这种情况下,工作频段内的每20个NR-ARFCN适用于工作频段内的信道栅格,因此信道栅格的步长为20,用 < 20 > <20> <20>表示。例如,对于工作频段n40(2300 MHz~2400 MHz,TDD), Δ F G l o b a l = 5 Delta F_{rm Global}=5 ΔFGlobal=5 kHz, Δ F R a s t e r = 100 Delta F_{rm Raster} =100 ΔFRaster=100 kHz, Δ F R a s t e r Delta F_{rm Raster} ΔFRaster是 Δ F G l o b a l Delta F_{rm Global} ΔFGlobal的20倍,对应的步长为20。
- 对于低于3 GHz的具有15 kHz信道栅格的工作频段, Δ F R a s t e r = I × Δ F G l o b a l Delta F_{rm Raster} = I times Delta F_{rm Global} ΔFRaster=I×ΔFGlobal,其中 I ∈ { 3 , 6 } I in {3,6} I∈{3,6}。在这种情况下,工作频段内每 I I I个NR-ARFCN适用于工作频段内的信道栅格,因此信道栅格的步长为 I I I,用 < I > <I> <I>表示。
- 对于高于3 GHz的具有15 kHz和60 kHz信道栅格的工作频段, Δ F R a s t e r = I × Δ F G l o b a l Delta F_{rm Raster} = I times Delta F_{rm Global} ΔFRaster=I×ΔFGlobal,其中 I ∈ { 1 , 2 } I in {1,2} I∈{1,2}。在这种情况下,工作频段内每 I I I个NR-ARFCN适用于工作频段内的信道栅格,因此信道栅格的步长为 I I I,用 < I > <I> <I>表示。
- 对于FR1中具有两个信道栅格工作频段,较大的 Δ F R a s t e r Delta F_{rm Raster} ΔFRaster仅适用于SCS等于或大于该 Δ F R a s t e r Delta F_{rm Raster} ΔFRaster的信道,或SSB SCS等于该 Δ F R a s t e r Delta F_{rm Raster} ΔFRaster的信道。例如,工作频段n41(2496 MHz~2690 MHz,TDD)对应的 Δ F G l o b a l = 5 Delta F_{rm Global}=5 ΔFGlobal=5 kHz, Δ F R a s t e r = 15 / 30 Delta F_{rm Raster} =15/30 ΔFRaster=15/30 kHz,其中 Δ F R a s t e r = 30 Delta F_{rm Raster} =30 ΔFRaster=30 kHz仅适用于SCS等于或大于30 kHz的信道,或SSB SCS等于30 kHz的信道。
- 对于FR2中具有两个信道栅格工作频段,较大的 Δ F R a s t e r Delta F_{rm Raster} ΔFRaster仅适用于SCS等于该 Δ F R a s t e r Delta F_{rm Raster} ΔFRaster的信道,或SSB SCS等于或大于该 Δ F R a s t e r Delta F_{rm Raster} ΔFRaster的信道。
注释:
如上表3-3和表3-4所示,NR定义了两类信道栅格 [2]:
- 基于100 kHz的信道栅格,主要集中在2.4 GHz以下频段。这样的设计主要是确保与LTE共存,因为LTE的信道栅格也是100 kHz。
- 基于SCS的信道栅格。这样的设计可以确保在载波聚合的时候,聚合的载波之间不需要预留保护带,从而提高频谱利用率。
在信道频率范围和信道配置确定的情况下,可通过下式(3-2)和式(3-3)确定可用的信道栅格或对应的参考频率。参考频率
F
R
E
F
F_{rm REF}
FREF、传输带宽配置
N
R
B
N_{rm RB}
NRB、子载波间隔SCS、最小保护带宽
B
W
G
u
a
r
d
BW_{rm Guard}
BWGuard以及信道带宽边界
F
l
o
w
_
e
d
g
e
F_{rm low_edge}
Flow_edge、
F
h
i
g
h
_
e
d
g
e
F_{rm high_edge}
Fhigh_edge应满足下述关系 [2]:
F
R
E
F
−
1
2
×
S
C
S
−
1
2
×
N
R
B
×
12
×
S
C
S
−
B
W
G
u
a
r
d
≥
F
l
o
w
_
e
d
g
e
(3-2)
F_{rm REF} - frac{1}{2} times SCS-frac{1}{2} times N_{rm RB} times 12 times SCS-BW_{rm Guard} geq F_{rm low_edge} tag{3-2}
FREF−21×SCS−21×NRB×12×SCS−BWGuard≥Flow_edge(3-2)
F
R
E
F
−
1
2
×
S
C
S
+
1
2
×
N
R
B
×
12
×
S
C
S
+
B
W
G
u
a
r
d
≤
F
h
i
g
h
_
e
d
g
e
(3-3)
F_{rm REF} - frac{1}{2} times SCS+frac{1}{2} times N_{rm RB} times 12 times SCS+BW_{rm Guard} leq F_{rm high_edge} tag{3-3}
FREF−21×SCS+21×NRB×12×SCS+BWGuard≤Fhigh_edge(3-3) 这里减去1/2个子载波间隔是因为参考频率与传输带宽的中心频率之间有1/2个子载波的偏移。由上表3-2可知,参考频率是位于索引为
⌊
N
R
B
2
⌋
lfloor frac{N_{rm RB}}{2} rfloor
⌊2NRB⌋的PRB中第1个(
k
=
0
k=0
k=0)或第7(
k
=
6
k=6
k=6)个子载波的中心,参考频率减去1/2个子载波间隔才是传输带宽的绝对中心。
最后,我们再结合一个例子,理解一下信道栅格。我们以n78为例,假设信道频率范围分别是3300 MHz~3400 MHz、SCS=30 kHz,对应的信道带宽是100 MHz, N R B = 273 N_{rm RB}=273 NRB=273(表2-1)。
对于3300 MHz~3400 MHz,其中心频率为3350 MHz,根据公式(3-1)可以计算得到 N R E F = 623333.33 ≈ 623333 / 623334 N_{rm REF} = 623333.33 approx 623333/623334 NREF=623333.33≈623333/623334。
如果 N R E F = 623333 N_{rm REF} = 623333 NREF=623333,那么其对应的参考频率为 F R E F = 3349.995 F_{rm REF} = 3349.995 FREF=3349.995 MHz。根据信道栅格上的参考频率与对应RE之间的映射关系,3349.995 MHz对应PRB索引 n P R B = 136 n_{rm PRB}=136 nPRB=136,RE索引 k = 6 k=6 k=6的RE。因此,可以根据式(3-2)和式(3-3)计算出其两侧保护带分别为 3349.995 × 1000 − 1 2 × 30 − 1 2 × ( 273 × 12 ) × 30 − 33000 × 1000 = 840 k H z 3349.995 times 1000 - frac{1}{2} times 30 - frac{1}{2} times(273 times 12) times 30 -33000 times 1000=840~{rm kHz} 3349.995×1000−21×30−21×(273×12)×30−33000×1000=840 kHz 3400 × 1000 − 3349.995 × 1000 − 1 2 × ( 273 × 12 ) × 30 + 1 2 × 30 = 880 k H z 3400 times 1000 -3349.995 times 1000 - frac{1}{2} times(273 times 12)times 30 + frac{1}{2} times 30=880~{rm kHz} 3400×1000−3349.995×1000−21×(273×12)×30+21×30=880 kHz 不符合最小保护带要求。
如果 N R E F = 623334 N_{rm REF} = 623334 NREF=623334,那么其对应的参考频率为 F R E F = 3350.010 F_{rm REF} = 3350.010 FREF=3350.010 MHz。同理,可以计算出其两侧保护带分别为 3350.010 × 1000 − 1 2 × 30 − 1 2 × ( 273 × 12 ) × 30 − 33000 × 1000 = 855 k H z 3350.010 times 1000 - frac{1}{2} times 30 - frac{1}{2} times(273 times 12) times 30 -33000 times 1000=855~{rm kHz} 3350.010×1000−21×30−21×(273×12)×30−33000×1000=855 kHz 3400 × 1000 − 3350.010 × 1000 − 1 2 × ( 273 × 12 ) × 30 + 1 2 × 30 = 865 k H z 3400 times 1000 -3350.010 times 1000 - frac{1}{2} times(273 times 12)times 30 + frac{1}{2} times 30=865~{rm kHz} 3400×1000−3350.010×1000−21×(273×12)×30+21×30=865 kHz 符合最小保护带要求,如下图3-1所示。

实际上, N R E F = 623335 N_{rm REF} = 623335 NREF=623335也是可以的。此时,对应的 F R E F = 3350.025 F_{rm REF} = 3350.025 FREF=3350.025 MHz,两侧的保护带分别为870 kHz和850 kHz,符合最小保护带要求。由于篇幅关系,我们没有画出该情况下的信道栅格。
注释:
上面的计算主要是帮助大家理解信道栅格,包括信道带宽、传输带宽配置、保护带等在内的概念。
3.2 同步栅格
同步栅格(Synchronization Raster,SR),顾名思义,用于指示同步信号块SSB的频率位置。NR中,当不存在SSB位置的显式信令的时候,UE可通过同步栅格获取SSB的频率位置 [1]-[3]。
LTE中并没有同步栅格的概念。或者更准确地说,LTE没有单独定义同步栅格。这是因为在LTE中,主同步参考信号(Primary Synchronization Signal,PSS)和辅同步参考信号(Secondary Synchronization Signal,SSS)都位于载波的中心 [2][3]。因此,可以通过信道栅格指示PSS和SSS的频率位置。
而在NR中,SSB不再总是位于载波的中心。因此,NR定义了同步栅格用于指示SSB的频率位置。为了实现更快速的小区搜索,同步栅格比信道栅格更加稀疏(Sparse),从而UE只需在更稀疏的同步栅格上搜索SSB,以达到降低初始接入搜索复杂度、降低接入时间、降低终端能耗的目的。
和信道栅格类似,NR先是定义了全局同步栅格(Global Synchronization Raster,GSR),并在此基础上又针对不同工作频段定义了同步栅格,以减小计算量。
3.2.1 全局同步栅格
和全局频率栅格类似,全局同步栅格在0 ~ 100 GHz频率范围内定义了一组SSB参考频率 S S R E F SS_{rm REF} SSREF,用于识别SSB的频率位置。
S S R E F SS_{rm REF} SSREF与全局同步信道号(Global Synchronization Channel Number,GSCN)一一对应。GSCN的范围为2 ~ 26639。 S S R E F SS_{rm REF} SSREF和GSCN的对应关系如下表3-5所示 [1]。

对于0 ~ 3000 MHz,在
N
N
N确定的情况下,
M
M
M有3个可能的取值。其主要原因是,当使用基于100 kHz的信道栅格时,3个可能的
M
M
M值可以确保信道栅格与同步栅格之间的差是15 kHz的整数倍。例如,假设
N
=
1
N=1
N=1,则当
M
=
1
、
3
、
5
M=1、3、5
M=1、3、5时,对应的参考频率
S
S
R
E
F
SS_{rm REF}
SSREF分别为1250 kHz、1350 kHz、1450 kHz。假设信道栅格为1400 kHz,则信道栅格与同步栅格1250 kHz(即
M
=
1
M=1
M=1)之间的差是15 kHz的整数倍,因此此时
M
M
M应取值1;假设信道栅格为1500 kHz,则信道栅格与同步栅格1350 kHz(即
M
=
3
M=3
M=3)之间的差是15 kHz的整数倍,因此此时
M
M
M应取值3;假设信道栅格为1600 kHz,则信道栅格与同步栅格1450 kHz(即
M
=
5
M=5
M=5)之间的差是15 kHz的整数倍,因此此时
M
M
M应取值5。信道栅格和同步栅格之差必须是15 kHz的整数倍的原因是子载波间隔是15 kHz或15 kHz的整数倍 [2]。但是,对于只支持子载波间隔的信道栅格的工作频段,如n41,
M
M
M的默认值为3 [1]。
M M M有3个可能取值的缺点是增加了UE的搜索次数,在相同信道带宽的条件下,0 ~ 3000 MHz频率范围的搜索次数是3000 MHz ~ 24250 MHz频率范围的 1.44 / 1.2 × 3 = 3.6 1.44 / 1.2 times 3 = 3.6 1.44/1.2×3=3.6倍。但是,对于只支持子载波间隔的信道栅格的工作频段,如n41,则没有影响,因为 M M M的默认值为3。当 M = 3 M=3 M=3时,同步栅格 N × 1200 k H z + M × 50 k H z N times 1200~{rm kHz}+M times 50 {rm kHz} N×1200 kHz+M×50kHz与信道栅格的差正好是15 kHz的整数倍 [2]。
注释:
- 相比信道栅格,同步栅格明显更加稀疏。这样设计的主要原因是NR的信道带宽很大(对于FR1,最高可达100 MHz;对于FR2,最高可达400 MHz),较为稀疏的同步栅格可以显著降低初始接入搜索复杂度、降低接入时间、降低终端能耗。
- 全局同步栅格是全局频率栅格的子集。对比上表3-1和上表3-5可以发现,当频率范围为0 ~ 3000 MHz时, S S R E F = N × 1200 k H z + M × 50 k H z SS_{rm REF}=N times 1200~{rm kHz}+M times 50 {rm kHz} SSREF=N×1200 kHz+M×50kHz,而这个频率范围对应的全局频率栅格的 Δ F G l o b a l Delta F_{rm Global} ΔFGlobal为5 kHz。 N × 1200 k H z + M × 50 k H z N times 1200~{rm kHz}+M times 50 {rm kHz} N×1200 kHz+M×50kHz显然可以被 Δ F G l o b a l = 5 k H z Delta F_{rm Global} = 5 {rm kHz} ΔFGlobal=5kHz整除。因此,在0 ~ 3000 MHz频率范围内,全局同步栅格所定义的参考频率必然包含在全局频率栅格所定义的参考频率之内。依此类推,全局同步栅格是全局频率栅格的子集。
3.2.2 同步栅格
和信道栅格类似,同步栅格是全局同步栅格的子集,用于识别SSB的频率位置。每个工作频段适用一个范围和粒度不同的同步栅格,并对应全局同步栅格中的一部分SSB参考频率(由GSCN指定)。这样做的目的是为了减少计算量,进一步降低搜索复杂度。
简而言之,同步栅格是在全局同步栅格的基础上,根据工作频段对参考频率做了范围和步长的限制,指示了在该工作频段上SSB中心频点的可选位置。
那么同步栅格又是如何识别SSB频率位置的呢?3GPP定义了同步栅格上的SSB参考频率与对应的资源单元之间的映射关系,用于识别SSB频率位置,如下表3-6所示。该规则适用于上行和下行。

需要注意的是,
k
k
k是SSB中的子载波索引。由于SSB在频域上占用240个连续的子载波,即20个PRB,因此同步栅格对应SSB中第11个PRB(对应PRB索引
n
P
R
B
=
10
n_{rm PRB}=10
nPRB=10)的第1个子载波(中心频率),如下图3-2所示。更确切地说,同步栅格上的参考频率对应的是SSB中第11个PRB上的第1个子载波的中心。

3.2.3 每个工作频段适用的同步栅格
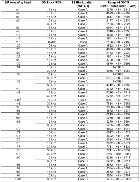
如上所述,3GPP在全局同步栅格的基础上,针对不同工作频段定义了同步栅格,规定了每个工作频段所适用的GSCN的范围和步长。FR1的每个工作频段适用的同步栅格(即GSCN)和FR2的每个工作频段适用的同步栅格分别见下表3-7和表3-8 [1]。


关于SSB图样(SS Block pattern),请参见 【5G NR】SSB。
注释:
有些工作频段给出了两个SSB图样,例如n5、n41等。这样设计的目的主要是为了兼顾最小信道带宽和SSB波束数量的平衡。例如n41频段,支持Case A(SCS=15 kHz)和Case C(30 kHz)两种图样。Case A可以支持较小的信道带宽,如5 MHz;而Case C可以支持高达8个SSB波束,因此波束增益较大。如果某个频段有两个SSB图样,则UE可以通过盲检的方式得到SSB图样。
在信道频率和信道配置确定的情况下,可以通过下式(3-4)和式(3-5)确定可用的同步栅格或对应的SSB中心频率。SSB中心频率
S
S
R
E
F
SS_{rm REF}
SSREF、SSB子载波间隔
S
C
S
S
S
SCS_{rm SS}
SCSSS、最小保护带宽
B
W
G
u
a
r
d
BW_{rm Guard}
BWGuard以及信道带宽边界
F
l
o
w
_
e
d
g
e
F_{rm low_edge}
Flow_edge、
F
h
i
g
h
_
e
d
g
e
F_{rm high_edge}
Fhigh_edge应满足下述关系 [2]:
S
S
R
E
F
−
1
2
×
S
C
S
S
S
−
1
2
×
N
R
B
_
S
S
×
12
×
S
C
S
S
S
−
B
W
G
u
a
r
d
≥
F
l
o
w
_
e
d
g
e
(3-4)
SS_{rm REF} - frac{1}{2} times SCS_{rm SS}-frac{1}{2} times N_{rm RB_SS} times 12 times SCS_{rm SS}-BW_{rm Guard} geq F_{rm low_edge} tag{3-4}
SSREF−21×SCSSS−21×NRB_SS×12×SCSSS−BWGuard≥Flow_edge(3-4)
S
S
R
E
F
−
1
2
×
S
C
S
S
S
+
1
2
×
N
R
B
_
S
S
×
12
×
S
C
S
S
S
+
B
W
G
u
a
r
d
≤
F
h
i
g
h
_
e
d
g
e
(3-5)
SS_{rm REF} - frac{1}{2} times SCS_{rm SS}+frac{1}{2} times N_{rm RB_SS} times 12 times SCS_{rm SS}+BW_{rm Guard} leq F_{rm high_edge} tag{3-5}
SSREF−21×SCSSS+21×NRB_SS×12×SCSSS+BWGuard≤Fhigh_edge(3-5) 其中
N
R
B
_
S
S
N_{rm RB_SS}
NRB_SS固定等于20。
以n78频率范围3300 MH在 ~ 3800 MHz为例,其SSB的SCS=30 kHz(详见上表3-7)。根据式(3-4)和式(3-5)可以计算得到SSB的中心频率
S
S
R
E
F
SS_{rm REF}
SSREF可能的范围为3304.46 MHz ~ 3795.57 MHz:
3300
+
1
2
×
30
×
1
0
−
3
+
1
2
×
20
×
12
×
30
×
1
0
−
3
+
312.5
×
1
0
−
3
=
3303.9275
M
H
z
3300 + frac{1}{2} times 30 times 10^{-3} +frac{1}{2} times 20 times 12 times 30 times 10^{-3} + 312.5 times 10^{-3} = 3303.9275~{rm MHz}
3300+21×30×10−3+21×20×12×30×10−3+312.5×10−3=3303.9275 MHz
3800
+
1
2
×
30
×
1
0
−
3
−
1
2
×
20
×
12
×
30
×
1
0
−
3
−
312.5
×
1
0
−
3
=
3796.1025
M
H
z
3800 + frac{1}{2} times 30 times 10^{-3} - frac{1}{2} times 20 times 12 times 30 times 10^{-3} - 312.5 times 10^{-3} = 3796.1025~{rm MHz}
3800+21×30×10−3−21×20×12×30×10−3−312.5×10−3=3796.1025 MHz
注意,上式在计算
S
S
R
E
F
SS_{rm REF}
SSREF的范围时,由于没有明确信道配置,因此我们将最小保护带宽
B
W
G
u
a
r
d
BW_{rm Guard}
BWGuard的最小可能取值代入上式(3-4)和(3-5)中,得到
S
S
R
E
F
SS_{rm REF}
SSREF的下界和上界(注:n78工作频段支持的最小信道带宽为10 MHz,支持15 kHz ~ 60 kHZ SCS,最小保护带的最小取值为312.5 kHz,对应信道带宽为10 MHz,SCS为15 kHZ,具体请参考[1])。
结合上表3-5中 S S R E F = 3000 M H z + N × 1.44 M H z SS_{rm REF} = 3000~{rm MHz}+N times 1.44~{rm MHz} SSREF=3000 MHz+N×1.44 MHz,可得 N N N的范围为212 ~ 552,因此对应的GCSN的范围为7711 ~ 8051,和上表3-7中一致。
有关同步栅格的例子和图示,请参见 【5G NR】SSB。
4. 总结
信道/载波的中心频率服从信道栅格,SSB的中心频率服从同步栅格。
参考文献
[1]: 3GPP TS 38.104, NR; Base Station (BS) radio transmission and reception [2]: 5G NR物理层规划与设计 [3]: 5G NR: the Next Generation Wireless Access Technology [4]: 3GPP TS 36.104, Evolved Universal Terrestrial Radio Access (E-UTRA); Base Station (BS) radio transmission and reception [5]: http://ziyubiti.github.io/2018/02/21/5gnrarfcn/最后
以上就是失眠手套最近收集整理的关于【5G NR】工作频段和信道安排前言1. 工作频段2. 信道带宽、传输带宽配置、保护带3. 信道安排4. 总结参考文献的全部内容,更多相关【5G内容请搜索靠谱客的其他文章。
发表评论 取消回复