全局频率栅格
在5G NR中,全局频率栅格定义为RF参考频率
F
R
E
F
F_{REF}
FREF的集合,频域范围为0-100GHz,主要是为了标识RF信道、SSB或者其他资源的频域位置。NR-ARFCN(NR Absolute Radio Frequency Channel Number)则为了对RF参考频率的频域范围进行编码,取值范围为 [0,1,…,3279165],NR-ARFCN和RF参考频率的关系如下式所示

具体协议在设计的时候,将RF频率范围分为0-3000MHz、3000-24250MHz、24250-100000MHz。此处只是规定理论上RF端可使用的频段范围,在实际的产业应用中,会受到诸多约束。

针对上表,举例说明,假设有NR-ARFCN参数为600010,则RF端对应频率计算如下式

信道栅格
信道栅格定义为RF参考频率的子集,主要用来标识在上下行链路中RF信道的频域位置。在每一个工作带宽中,来自全局频率栅格的不同频率子集用于适配不同的工作频段,从而形成以
△
F
R
a
s
t
e
r
bigtriangleup F_{Raster}
△FRaster为粒度的信道栅格,此信道栅格的频率范围有可能等于或者大于全局信道栅格的粒度
△
F
G
l
o
b
a
l
bigtriangleup F_{Global}
△FGlobal。
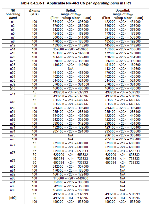
在FR1和FR2频段范围内,各个工作频段与信道栅格的映射关系如下表所示


举例说明,在工作频段n79,信道栅格的粒度有15kHz和30kHz两种,因为n79是TDD频段,所以上下行的NR-ARFCN值均一致,对于15kHz,NR-ARFCN值为620000-653333,步长为1,这是因为全局信道栅格在此NR-ARFCN范围内的粒度为15kHz,与信道栅格粒度一致,所以为1;30kHz的情况与15kHz类似,不再赘述。
另外信道栅格上的RF参考频率与资源元素(Resource Element)之间的映射关系由下表所示

以SCS=15kHz,传输带宽=50MHz为例,则传输带宽为270RB,因为270模2=0,所以RE索引k=0。
同步栅格
在终端刚开机时进行小区搜索时,它只能根据运营商以及终端支持的频段检测SSB信号,进行下行时频同步。由于全局频率栅格的粒度较小导致NR-ARFCN的取值范围较大,如果直接根据全局频率栅格进行盲检,则同步时延会比较大。为了有效的降低此过程的同步时延,3GPP专门定义了同步栅格(Synchronization Raster)的概念,并通过全局同步信道号(GSCN,Global Synchronization Channel Number)来限定搜索范围。如下表所示,在0-3000MHz范围内,同步栅格为1200kHz;在3000-24250MHz范围内,同步栅格为1.44MHz;在24250-100000MHz范围内,同步栅格为17.28MHz。与NR-ARFCN类似,GSCN同样对0-100GHz范围的频段做了定义,每个GSCN对应一个SSB的检测频点。

在FR1和FR2频率范围内,针对每个工作频段,GSCN的范围如下表所示,其中表中的SSB图样可在38.213.4节中找到对应说明。


最后
以上就是强健皮带最近收集整理的关于5G NR 信道栅格与同步栅格全局频率栅格信道栅格同步栅格的全部内容,更多相关5G内容请搜索靠谱客的其他文章。
发表评论 取消回复