
资 料 介 绍





课后习题答案
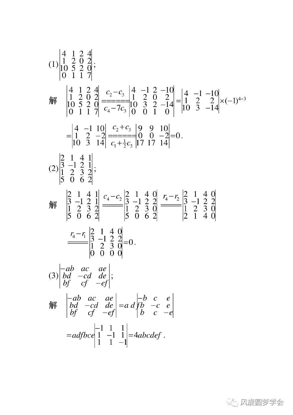
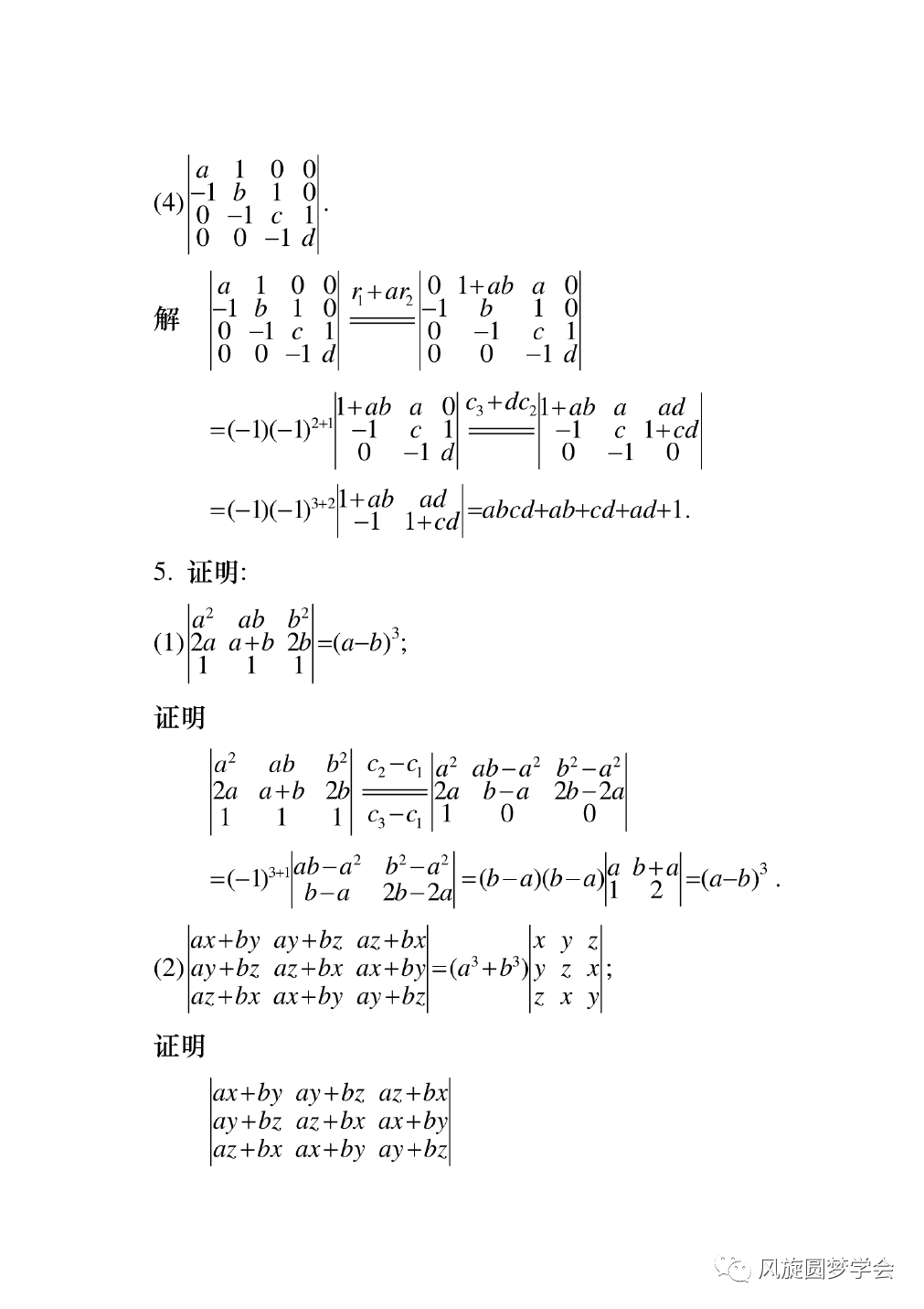
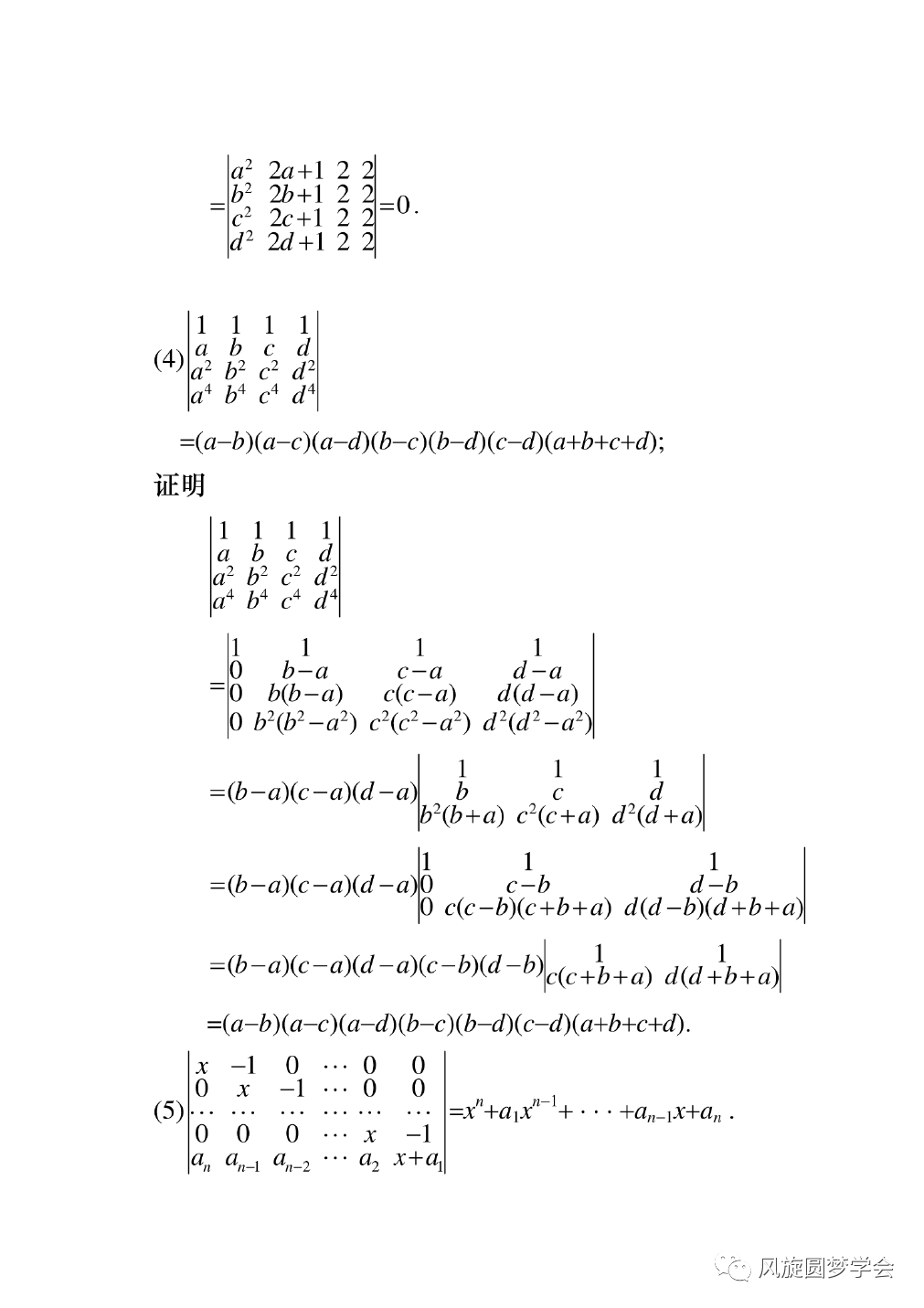
第一章 行列式
















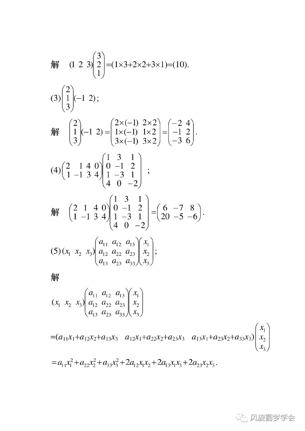
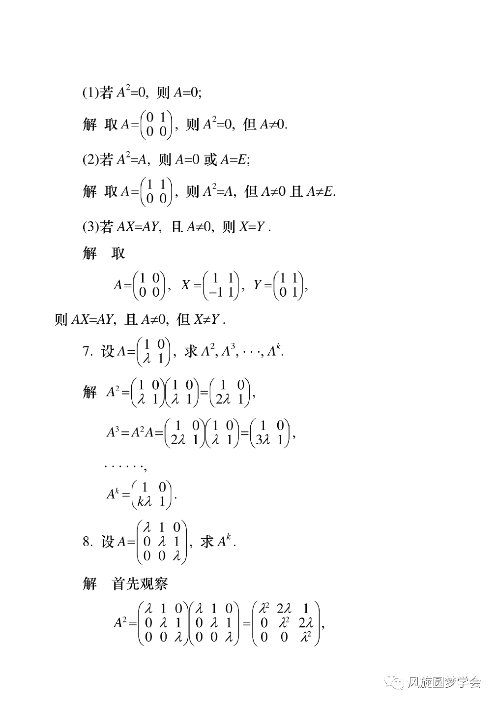
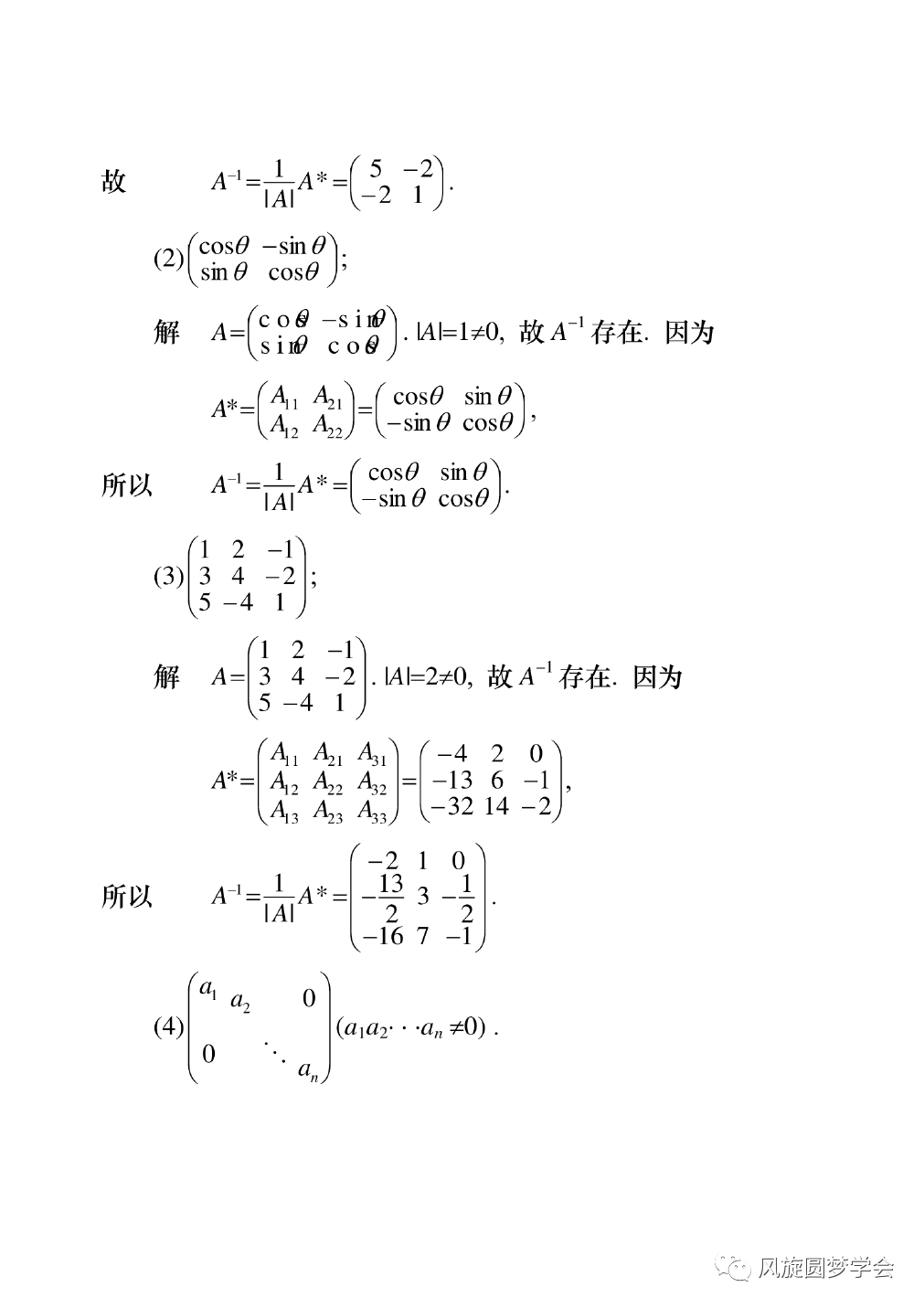
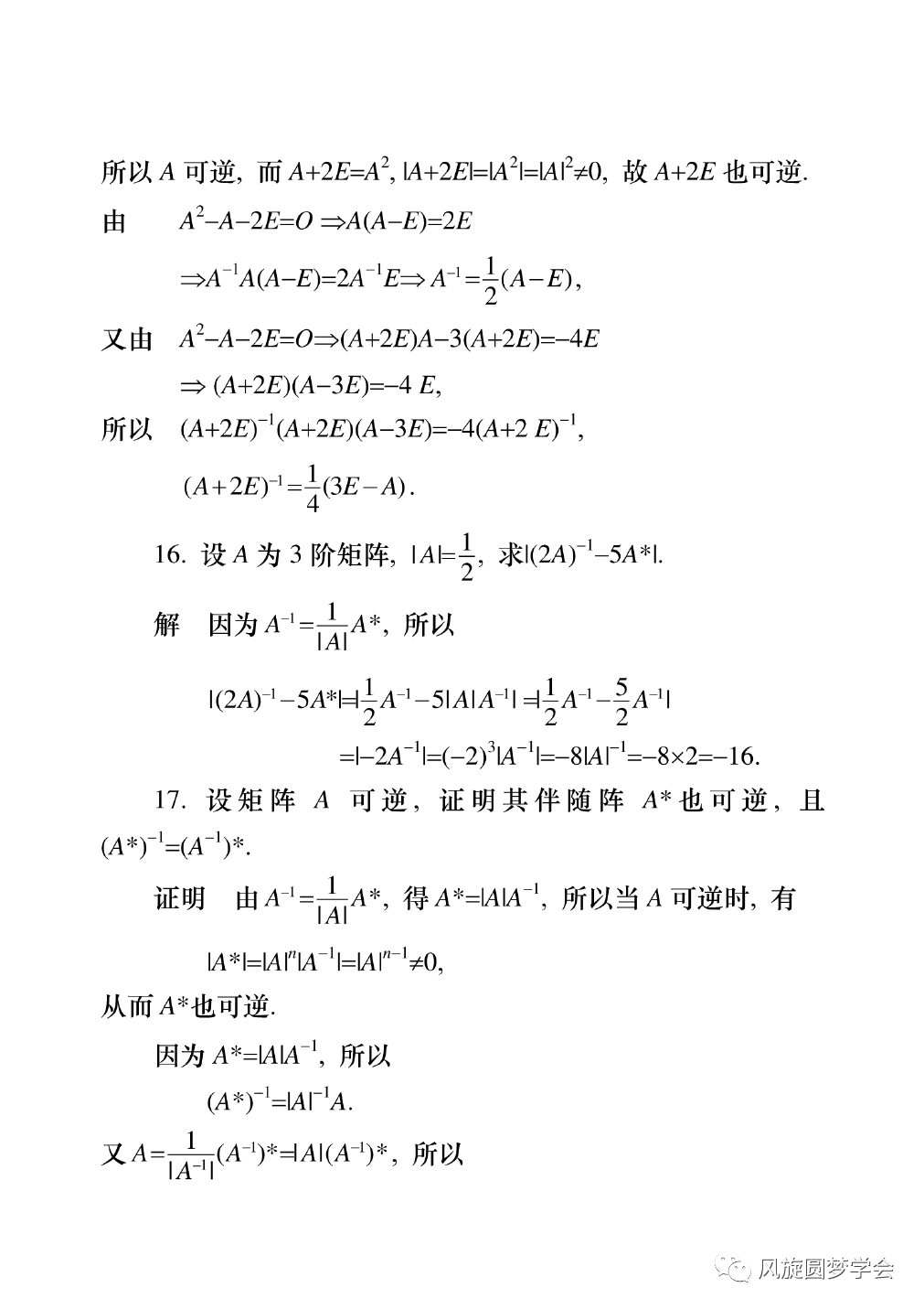
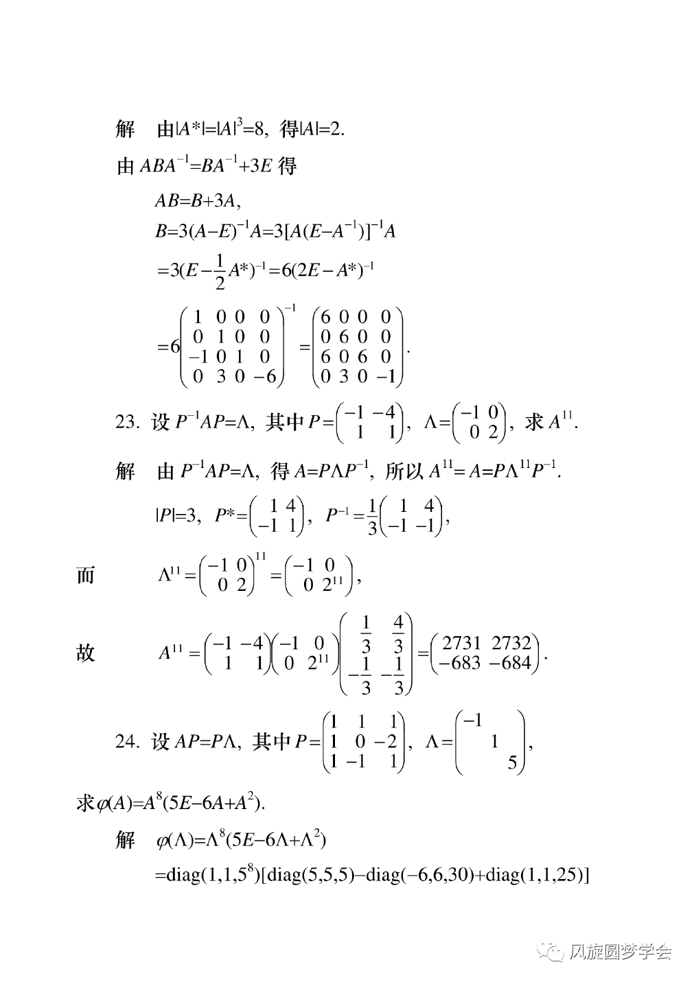
第二章 矩阵及其运算





















第三章 矩阵的初等变换与线性方程组





















第四章 向量组的线性相关性




























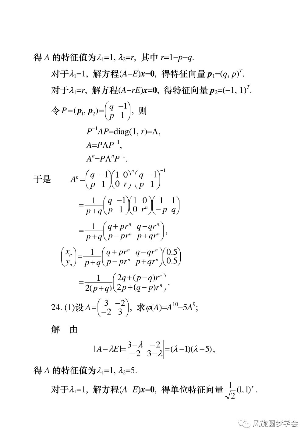
第五章 相似矩阵及二次型



























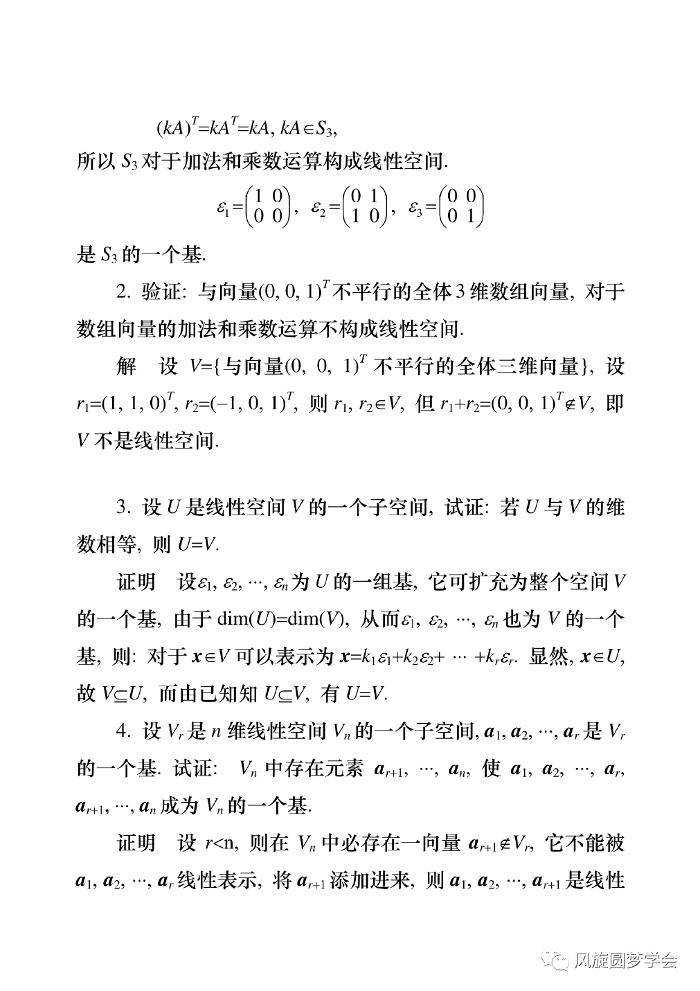
第六章 线性空间与线性变换










最后
以上就是靓丽煎饼最近收集整理的关于同济大学 线性代数 第六版 pdf_【课后习题答案】工程数学线性代数同济第六版+课后习题答案...的全部内容,更多相关同济大学内容请搜索靠谱客的其他文章。
本图文内容来源于网友提供,作为学习参考使用,或来自网络收集整理,版权属于原作者所有。

资 料 介 绍





课后习题答案
第一章 行列式
















第二章 矩阵及其运算





















第三章 矩阵的初等变换与线性方程组





















第四章 向量组的线性相关性




























第五章 相似矩阵及二次型



























第六章 线性空间与线性变换










以上就是靓丽煎饼最近收集整理的关于同济大学 线性代数 第六版 pdf_【课后习题答案】工程数学线性代数同济第六版+课后习题答案...的全部内容,更多相关同济大学内容请搜索靠谱客的其他文章。
发表评论 取消回复