
在概率论中,随机变量的矩母函数(MGF,moment-generating function)是描述其概率分布的一种可选方式。
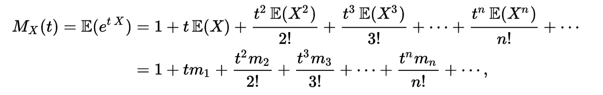
随机变量X的矩母函数定义为:
![]()
前提是这个期望值存在。而且事实上,矩母函数确实并非一直都存在。矩母函数之所以称为矩母函数,就在于通过它的确可以生成随机变量的矩。根据麦克劳林公式,

因此有

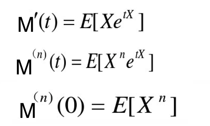
例如对于上式逐次求导并计算 t=0 点的值就会得到:

最后
以上就是痴情山水最近收集整理的关于概率论中的矩母函数(MGF)的全部内容,更多相关概率论中内容请搜索靠谱客的其他文章。
本图文内容来源于网友提供,作为学习参考使用,或来自网络收集整理,版权属于原作者所有。
发表评论 取消回复