相关性
- 两变量相关性
- 两变量相关性定义
- 序列变化过程描述
- 单变量自相关性
- 自相关性定义
- 自相关性度量
两变量相关性
两变量相关性定义
研究两个变量之间的相关性是相关性分析最常用的地方。相关性是指两个变量之间的关联程度。其数学定义可以描述为:

其中

为x与y之间的协方差;

为x的方差;

为y的方差。

为x,y相关性的取值范围。
协方差的取值范围与其构成的函数关系有关。
其中

的数学定义为:

将整个随机变量组视为一个序列变化过程,从表达式可以看出协方差计算了两个变量在每一次变化过程中xy之间各自变化值乘积的平均值,其结果描述了在整个序列变化过程中,x的变化方向与y的变化方向的联系。
序列变化过程描述
1、随机序列
以随机生成的样本为例,该样本数据如下:

该样本数据主要为了研究数据的变化趋势,因此i变量是一个持续增加的整数变量,在实际应用时,可以随机获得两个随机序列。
2、样本相关性计算
随机样本数据中有两个变量,分别为x和i,利用sas进行相关性计算,可以获得如下结果:

可以发现相关性为-0.17384,p值为0.0837,与显著水平0.05相比,可以得出整个相关性不够显著,有一定随机性在内。
单变量自相关性
我们仍然用刚刚的样本数据中的x变量进行相关性分析,此时将i视作x的索引,x为一个单变量。
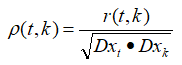
自相关性定义
以产生的随机序列为样本,将样本视为时间序列

与两个变量的协方差数学含义相同,自协方差描述了一个时间序列在不同时间段的变量之间的协方差,也就是说t时刻
与
两个变量的之间的协方差。其自协方差可以数学表示为:

则自相关系数可以数学描述为:

自协方差和自相关性描述了同一个事件在不同时刻之间的相互影响程度。
自相关性度量
利用sas进行序列的在t处的自相关性分析:

从结果可以看出自相关性呈现先下降后上升的趋势,这说明随着间隔跨度的增加,自相关性出现逐渐下载的情况,但是下降的趋势呈现一定的规律性,并且较为缓慢的下降,表明序列变量之间存在明显的相关性。
最后
以上就是甜蜜方盒最近收集整理的关于随机变量的相关性两变量相关性单变量自相关性的全部内容,更多相关随机变量内容请搜索靠谱客的其他文章。
发表评论 取消回复