已知
维随机向量
服从均值为
协方差矩阵为
的高斯分布:
经
观测矩阵
线性变换后得到
维观测向量
,求
的高斯分布参数
求解过程:令 
令 
均值很容易得到:
下面详细证明
如何得到,先给出结论
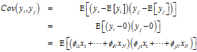
证明:
,根据协方差公式有:

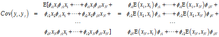
各项进一步展开相乘得到:

根据已知条件可知:
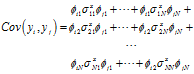
则:
根据下图矩阵中元素的对应关系可以得到
所以 
转载于:https://www.cnblogs.com/brains/p/3617771.html
最后
以上就是现代小懒猪最近收集整理的关于服从正太分布的随机向量经线性变换后的协方差矩阵的全部内容,更多相关服从正太分布内容请搜索靠谱客的其他文章。
本图文内容来源于网友提供,作为学习参考使用,或来自网络收集整理,版权属于原作者所有。
发表评论 取消回复