文章目录
- R方
- 结论
- 线性回归与最小二乘法
- R方 - 相关系数p(y,y_head)
- 定义
- 相关系数p(x,y)
- 推广 - 二次方程的相关系数
- Adjustice R方
- 使用调整R方的原因
- Multiple R
R方
结论
R方就是拟合回归最后对拟合回归效果的一个评价指标。R方 越接近于1,则拟合回归效果越好。

线性回归与最小二乘法

R方 - 相关系数p(y,y_head)

定义
R方是衡量模型拟合度的一个量,是一个比例形式,被解释方差/总方差。
公式:

其中:TSS是执行回归分析前,响应变量固有的方差。
RSS残差平方和就是,回归模型不能解释的方差。
SSR回归模型可以解释的方差。
综上,R-squared 比列值区间在【0,1】
相关系数p(x,y)

推广 - 二次方程的相关系数

Reference:
https://www.zhihu.com/question/32021302
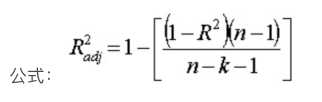
Adjustice R方
使用调整R方的原因
因为R-squared = SSR/TSS = 1 - RSS/TSS
因此,如果模型中增加一个自变量,即使这个自变量在统计上并不显著,R方也会变大。因此,为避免增加自变量而高估R方,统计学家提出用样本量(n)和自变量的个数(k)去调整R方,计算出调整的多重判定系数(调整的R方)
因此,需要adjusted R-squared ,它会对那些增加的且不会改善模型效果的变量增加一个惩罚向。
结论,如果单变量线性回归,则使用 R-squared评估,多变量,则使用adjusted R-squared。
在单变量线性回归中,R-squared和adjusted R-squared是一致的。
另外,如果增加更多无意义的变量,则R-squared 和adjusted R-squared之间的差距会越来越大,Adjusted R-squared会下降。但是如果加入的特征值是显著的,则adjusted R-squared也会上升
所以需要adjusted R-squared,它会对那些增加的且不会改善模型效果的变量增加一个惩罚项。

- N is the number of points in your data sample.(样本数量)
- K is the number of independent regressors, i.e. the number of variables in your model, excluding the constant.(即模型中变量的个数,不包括常数)
Multiple R
Multiple R:x和y的相关系数r,一般在-1~1之间,绝对值越靠近1则相关性越强,越靠近0则相关性越弱;
Multiple R 是线性回归的系数
R Square 是拟合系数
Adjusted R Square 调整后的拟合系数
Multiple r 不是线性回归系数,准确的说 他叫做 相关系数,但是可以通过它来判断 线性拟合程度。回归系数应该是β1
最后
以上就是眯眯眼花瓣最近收集整理的关于相关系数-回归分析-数据分析面试必备R方Adjustice R方Multiple R的全部内容,更多相关相关系数-回归分析-数据分析面试必备R方Adjustice内容请搜索靠谱客的其他文章。
发表评论 取消回复