

%定义目标函数; function f = myfun(x) f = x(1)^2 + x(2)^2 + 8; end
%非线性约束; function [c, ceq] = nonlia(x) c = -x(1)^2 + x(2); %不等式约束; ceq = -x(1) - x(2)^2 + 2; %等式约束; end %在命令窗口输入: A = []; b = []; Aeq=[]; beq=[]; lb = [0; 0]; ub = []; x0 = [0; 0]; [x,fval,exitflag,output,lambda,grad,hessian] = fmincon('myfun',x0,A,b,Aeq,beq,lb,ub,'nonlia'); 得:x = 1.0000 1.0000 fval = 10.0000

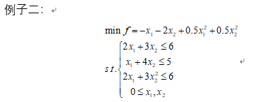
%目标函数;
function f = myfun(x)
f = -x(1) - 2*x(2) +0.5*x(1)^2 + 0.5*x(2)^2;
end
%非线性约束;
function [c, ceq] = nonlia(x)
c = 2*x(1) + 3*x(2)^2 - 6; %不等式约束;
ceq = []; %等式约束;
end
%在命令窗口输入:
clc;
clear all;
A = [2 3; 1 4]; %线性不等式系数;
b = [6;5];
Aeq = [];
beq = [];
lb = [0; 0];
ub = [];
x0 = [0; 0];
[x,fval,exitflag,output,lambda,grad,hessian] = fmincon('myfun',x0,A,b,Aeq,beq,lb,ub,'nonlia');
得:x =
0.7647
1.0588
>> fval
fval =
-2.0294

注意这里是求最大值,目标函数需要取反;
%目标函数;
function f = myfun(x)
f = -(log(x(1)) + log(x(2)));
end
%非线性约束;
function [c, ceq] = nonlia(x)
c = []; %不等式约束;
ceq = []; %等式约束;
end
%在命令行输入:
clc;
clear all;
A = [1 -1];
b = 0;
Aeq= [1 2];
beq = 5;
lb = [0; 0];
ub = [];
x0 = [0; 0];
[x,fval,exitflag,output,lambda,grad,hessian] = fmincon('myfun',x0,A,b,Aeq,beq,lb,ub,'nonlia');
得:x =
1.6667
1.6667
>> fval
fval =
-1.0217

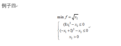
%定义目标函数;
function f = myfun(x)
f = sqrt(x(2));
end
%非线性约束;
function [c, ceq] = nonlia(x)
c = [8*x(1)^3-x(2);(1-x(1))^3-x(2)]; %多个不等式约束情况;
ceq =[]; %等式约束;
end
%在窗口输入如下命令
A = [];
b = [];
Aeq = [];
beq = [];
lb = [0,0];
ub = [];
x0 = [1.234; 5.678];
[x,fval,exitflag,output,lambda,grad,hessian] = fmincon('myfun',x0,A,b,[],[],lb,[],'nonlia');
得:
x =
0.3333
0.2963
>> fval
fval =
0.5443
转载于:https://www.cnblogs.com/GuanghuiLiu/p/9931946.html
最后
以上就是虚幻金针菇最近收集整理的关于Matlab非线性优化函数:fmincon();的全部内容,更多相关Matlab非线性优化函数:fmincon()内容请搜索靠谱客的其他文章。
本图文内容来源于网友提供,作为学习参考使用,或来自网络收集整理,版权属于原作者所有。
发表评论 取消回复