决策树:LR模型是把所有特征塞入学习,而决策树类似if-else一样,去做条件判断。
信息熵越低,纯度越高。
信息熵计算:

信息增益:划分前的信息熵 - 划分后的信息熵。表示的是向纯度方向迈出的“步长”。

ID3:在根节点处计算信息熵,根据属性依次划分并计算其节点的信息熵,信息增益降序排列,排在前面的就是第一个划分属性,其后依次类推,这就得到了决策树的形状。
信息增益有一个问题:对可取值数目较多的属性有所偏好,例如:考虑将“编号”作为一个属性。




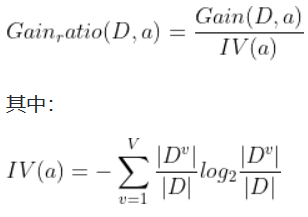
C4.5:使用信息增益率,

某属性的可能取值数目越多(即V越大),则IV(a)的值通常就越大。
信息增益比本质是在信息增益的基础之上乘上一个惩罚参数。特征个数较多时,惩罚参数较小;特征个数较少时,惩罚参数较大。
缺点:信息增益率偏向取值较少的特征。
基于以上缺点,不是直接选择信息增益率最大的特征,而是在特征中找出信息增益高于平均水平的特征,然后在这些特征中再选择信息增益率最高的特征。
CART算法:使用基尼系数计算纯度

表示在样本集合中一个随机选中的样本被分错的概率。
举例来说,现在一个袋子里有3种颜色的球若干个,伸手进去掏出2个球,颜色不一样的概率。
Gini(D)越小,数据集D的纯度越高。
举个例子
假设现在有特征 “学历”,此特征有三个特征取值: “本科”,“硕士”, “博士”,
当使用“学历”这个特征对样本集合D进行划分时,划分值分别有三个,因而有三种划分的可能集合,划分后的子集如下:
1.划分点: “本科”,划分后的子集合 : {本科},{硕士,博士}
2.划分点: “硕士”,划分后的子集合 : {硕士},{本科,博士}
3.划分点: “博士”,划分后的子集合 : {博士},{本科,硕士}}
对于上述的每一种划分,都可以计算出基于 划分特征= 某个特征值 将样本集合D划分为两个子集的纯度:

因而对于一个具有多个取值(超过2个)的特征,需要计算以每一个取值作为划分点,对样本D划分之后子集的纯度Gini(D,Ai),(其中Ai 表示特征A的可能取值)
然后从所有的可能划分的Gini(D,Ai)中找出Gini指数最小的划分,划分的划分点便是使特征A对样本集合D划分的最佳划分点。
决策树不需要归一化:
数值缩放不影响分裂点位置,对树模型的结构不造成影响。 按照特征值进行排序的,排序的顺序不变,那么所属的分支以及分裂点就不会不同。
树模型是不能进行梯度下降的,因为构建树模型(回归树)寻找最优点时是通过寻找最优分裂点完成的,因此树模型是阶跃的,阶跃点是不可导的,并且求导没意义,也就不需要归一化。
既然树形结构(如决策树、RF)不需要归一化。
那为何非树形结构比如Adaboost、SVM、LR、Knn、KMeans之类则需要归一化。
对于线性模型,特征值差别很大时,运用梯度下降的时候,损失等高线是椭圆形,需要进行多次迭代才能到达最优点。
如果进行了归一化,等高线就是圆形,促使SGD往原点迭代,从而导致需要的迭代次数较少。
决策树的剪枝策略有 预剪枝 (Pre-Pruning) 和 后剪枝 (Post-Pruning)。
- 预剪枝:核心思想,在每一次实际对结点进行进一步划分之前,先采用验证集的数据来验证如果划分是否能提高划分的准确性。如果不能,就把结点标记为叶结点并退出进一步划分;如果可以就继续递归生成节点。
- 后剪枝:后剪枝则是先从训练集生成一颗完整的决策树,然后自底向上地对非叶结点进行考察,若将该结点对应的子树替换为叶结点能带来泛化性能提升,则将该子树替换为叶结点。
参考:
https://github.com/NLP-LOVE/ML-NLP/blob/master/Machine%20Learning/3.Desition%20Tree/Desition%20Tree.md
最后
以上就是激昂台灯最近收集整理的关于机器学习-决策树总结的全部内容,更多相关机器学习-决策树总结内容请搜索靠谱客的其他文章。
发表评论 取消回复