工具/材料
matlab 2016a
打开matlab,首先定义变量x:
syms x;

matlab中solve函数的格式是solve(f(x), x),求解的是f(x) = 0的解。
第一个例子,求解最常见的一元二次方程x^2-3*x+1=0:
solve(x^2-3*x+1,x),解出的结果用精确的根式表示。

matlab解出的根不仅包含实根,也包含复根,例如求解三次方程x^3+1=0:
solve(x^3+1,x)
我们知道该方程有一对共轭复根,matlab也可以解出它的解。

对于超出5次(含)以上的一元函数,有时无法用solve指令求的对应的根,如下图所示。这时可以使用roots命令求解。roots命令的参数是方程的各个系数按高次幂到低次幂排列成的向量,例如x^5+3*x^4-5*x^3+4*x^2-6*x+2=0,如果用solve指令得到的结果不能令人满意,而用roots就可以得到满意的结果。

对于非多项式方程,只能使用solve求解。例如求解exp(-x)-x^2+3=0的解如下。通过黄色的警告可以看出,这样的方程没有解析解,与我们已知的知识相同。

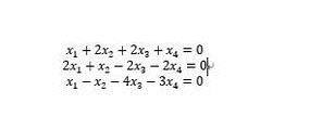
最后一类方程,是一元一次方程组。这是matlab最擅长的运算,可以使用矩阵进行求解。对于齐次线性方程来讲,使用null(A,'r')。其中'r'表示使用简化阶梯型行列式求解。对于如下的方程,可以解得线性无关的一组解。这样,我们还可以引入常量k1与k2表达通解。


对于线性非齐次的解,可以使用linsolve(A,b)。其中A是系数矩阵,b是非齐次项(如果b是多列矩阵,意味着解多个砼系数不同齐次项的方程组)。对于图中的方程组,可已这样求解。


特别提示
matlab求解方程的方法有很多,要找到适合自己需要的方法,需要多加练习。
最后
以上就是重要灯泡最近收集整理的关于MATLAB怎么解方程解,怎么用Matlab解方程?的全部内容,更多相关MATLAB怎么解方程解内容请搜索靠谱客的其他文章。
发表评论 取消回复