流程控制对任何一门编程语言都是至关重要的,它为我们提供了控制程序步骤的基本手段。常见对主要分为,条件语句、循环语句、跳转语句。
1、if语句
if 语句是一种判断语句。
语法:
if(条件){
条件成立时执行的代码
}

if...else 语句当条件成立时,则执行 if 部分的代码块; 条件不成立时,则进入 else 部分。例如,如果一个月天数大于 30 天,则为大月,否则为小月。
语法:
if(条件){
代码块1
}
else{
代码块2
}

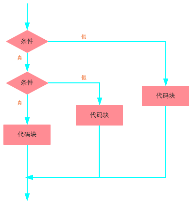
多重 if 语句,在条件 1 不满足的情况下,才会进行条件 2 的判断,以此向下;当前面的条件均不成立时,最终执行 else 块内的代码。
语法:
if(条件1){
代码块1
}
else if(条件2){
代码块2
}
...
else {
代码块n
}

注意:如果
if(或else if,或else) 条件成立时的执行语句只有一条,是可以省略大括号的!但如果执行语句有多条,那么大括号就是不可或缺的。
比如:
int days = 31;
if(days > 30)
System.out.println("本月是大月");
else
System.out.println("本月是小月");
if 语句是可以在内层进行嵌套的。嵌套 if 语句,只有当外层 if 的条件成立时,才会判断内层 if 的条件。
语法:
if(条件1){
if(条件2){
代码块1
}
else{
代码块2
}
}
else{
代码块3
}

if 语句练习:小明考了 78 分,60 分以上及格,80 分以上为良好,90 分以上为优秀,60 分以下要重考,编写源代码 ScoreJudge.java,输出小明的情况。
参考代码如下:
public class ScoreJudge {
public static void main(String[] args){
int score = 78;
if(score >= 60){
if(score >= 80){
if(score >= 90){
System.out.println("成绩优秀");
}
else{
System.out.println("成绩良好");
}
}
else{
System.out.println("成绩及格");
}
}
else{
System.out.println("需要补考");
}
}
}
注:所有的条件语句都是利用条件表达式的真或假来决定执行路径,Java 里不允许将一个数字作为布尔值使用,虽然这在 C 和 C++ 是允许的,如果要在布尔测试里使用一个非布尔值,需要先用一个条件表达式将其转换成布尔值,其他控制语句同理。
编译执行:
$ javac ScoreJudge.java
$ Java ScoreJude
成绩及格
2、switch 语句
当需要对选项进行等值判断时,使用 switch 语句更加简洁明了。比如:摇号摇到 1 的得一等奖,摇到 2 的得二等奖,摇到 3 的得三等奖,摇到其他的没有奖。
语法:
switch(表达式){
case 值1:
代码块1
break;
case 值2:
代码块2
break;
...
default:
默认执行的代码块
}
当 switch 后表达式的值和 case 语句后的值相同时,从该位置开始向下执行,直到遇到 break 语句或者 switch 语句块结束;如果没有匹配的 case 语句则执行 default 块的代码。
defualt块不是必须的,默认为空。
新建一个源代码文件Draw.java。
public class Draw {
public static void main(String[] args){
int num = 2;
switch(num){
case 1:
System.out.println("恭喜你,获得了一等奖");
break;
case 2:
System.out.println("恭喜你,获得了二等奖");
break;
case 3:
System.out.println("恭喜你,获得了三等奖");
break;
default:
System.out.println("很遗憾,下次再来");
}
}
}
编译运行:
$ javac Draw.java
$ java Draw
恭喜你,获得了二等奖
while 和 do-while 语句
3、while语法:
while(条件){
代码块
}
while 的执行过程是先判断,再执行。
- 判断
while后面的条件是否成立 (trueorfalse) - 当条件成立时,执行循环内的代码。
然后重复执行 1、2, 直到循环条件不成立为止。

4、 do-while 语法:
do{
代码块
}while(条件);
do-while 的执行过程是先执行一次,再循环判断(所以循环内的代码至少会执行一次)。
- 先执行一遍循环操作,然后判断循环条件是否成立。
- 如果条件成立,继续执行
1、2,直到循环条件不成立为止。

如:
int i = 0;
while(i < 100){
System.out.println("I love ShiYanlou!");
i++;
}
int i = 0;
do {
System.out.println("I love ShiYanlou!");
i++;
} while(i < 100);
练习:分别用 while 和 do-while 两种方法,编写代码,文件名为: SumOfEven.java。实现计算 1-1000 中所有偶数的和,并输出。验证一下两种方法你输出的结果是一致吗?
参考代码如下:
public class SumOfEven {
public static void main(String[] args){
int i1 = 1, i2 = 1;
int sum1 = 0, sum2 = 0;
while (i1 <= 1000){ //循环1000次
if(0 == i1 % 2){ //判断是否为偶数
sum1 += i1; //将偶数加入到总数里
}
i1++; //i自增1
}
System.out.println("用while,1到1000中,所有偶数的和为:"+sum1);
do {
if (0 == i2 % 2){ //在条件语句中,将数值写在前面是为了防止将==写成了=
sum2 += i2;
}
i2++;
} while(i2 <= 1000);
System.out.println("用do-while,1到1000中,所有偶数的和为:"+sum2);
}
}
编译运行:
$ javac SumOfEven.java
$ java SumOfEven
用while,1到1000中,所有偶数的和为:250500
用do-while,1到1000中,所有偶数的和为:250500
5、for 语句
for 语法:
for(循环变量初始化①; 循环条件②; 循环变量值操作③){
循环操作④
}
for 相比 while 和 do-while 语句结构更加简洁易读,它的执行顺序:
- 执行循环变量初始化部分(1),设置循环的初始状态,此部分在整个循环中只执行一次。
- 进行循环条件的判断(2),如果条件为
true,则执行循环体内代码(4);如果为false,则直接退出循环。 - 执行循环变量值操作部分(3),对循环变量的值进行修改,然后进行下一次循环条件判断(2)。
整个循环的流程可以简化为:
(1) -> [(2)->(4)->(3)] -> [(2)->(4)->(3)] -> ... => (2) 结果为 false, 退出循环。

例如,计算 100 以内不能被 3 整除的数之和:
int sum = 0; // 保存不能被3整除的数之和
// 循环变量 i 初始值为 1 ,每执行一次对变量加 1,只要小于等于 100 就重复执行循环
for (int i = 1;i<=100;i++) {
// 变量 i 与 3 进行求模(取余),如果不等于 0 ,则表示不能被 3 整除
if (i % 3 != 0) {
sum = sum + i; // 累加求和
}
}
System.out.println("1到100之间不能被3整除的数之和为:" + sum);
练习:编写代码,文件名为: SumOfEven.java,实现计算 1-1000 中所有偶数的和,并输出。
参考代码如下:
public class SumOfEven {
public static void main(String[] args){
int sum = 0;
for(int i = 1; i <= 1000; i++){
if(0 == i % 2){
sum += i;
}
}
System.out.println("用for,1到1000中,所有偶数和为:"+sum);
}
}
编译运行:
$ javac SumOfEven.java
$ java SumOfEven
用for,1到1000中,所有偶数和为:250500
6、跳转语句
break终止循环执行循环体下面的代码
return终止循环并且退出循环所在的方法
continue终止当前循环,进行下一次循环
break 关键字经常用在条件和循环语句中,用来跳出循环语句。
continue关键字的作用是跳过循环体中剩余的语句执行下一次循环。 新建一个源代码文件Jump.java。
public class Jump{
public static void main(String[] args){
//break 练习
for(int i = 1; i <= 10; i++){
System.out.println("循环第"+i+"次");
if(0 == i % 3){
break;
}
if(0 == i % 5){
System.out.println("我进来了!");
}
}
//continue练习 打印10以内的所有奇数
for(int i = 1; i <= 10; i++){
if(0 == i % 2) //判断i是否为偶数
continue; //通过continue结束本次循环
System.out.println(i);
}
}
}
编译运行:
$ javac Jump.java
$ java Jump
循环第1次
循环第2次
循环第3次
1
3
5
7
9
练习:打印星期
新建一个源代码文件PrintWeek.java。
你需要实现当输入 1-7 的数字时返回对应的星期:
- 从控制台获取一个整型参数
- 当输入数字 1 时输出
今天是星期一 - 当输入数字 2 时输出
今天是星期二
以此类推
示例:
输入:
1
输出:
今天是星期一
提示:java.util.Scanner可以获取控制台输入。
Scanner in =new Scanner(System.in);
//获取int值
int x=in.nextInt();
参考答案:
import java.util.Scanner;
public class PrintWeek {
public static void main(String[] args) {
Scanner in = new Scanner(System.in);
//获取int值
int x = in.nextInt();
switch (x) {
case 1:
System.out.println("今天是星期一");
break;
case 2:
System.out.println("今天是星期二");
break;
case 3:
System.out.println("今天是星期三");
break;
case 4:
System.out.println("今天是星期四");
break;
case 5:
System.out.println("今天是星期五");
break;
case 6:
System.out.println("今天是星期六");
break;
case 7:
System.out.println("今天是星期天");
break;
}
}
}
以上为流程控制语句的整理笔记。
最后
以上就是体贴冬天最近收集整理的关于if/while/do-while/for循环以及跳出循环break/return/continue1、if语句2、switch 语句3、while语法:4、 do-while 语法:5、for 语句6、跳转语句的全部内容,更多相关if/while/do-while/for循环以及跳出循环break/return/continue1、if语句2、switch内容请搜索靠谱客的其他文章。
发表评论 取消回复