深度强化学习CS285 lec10-lec12 基础知识LQR Framework
- 一、线性二次型调节器LQR(Linear Quadratic Regulator)
- 1.1 LQR符号与术语
- 1.2 LQR问题下的设定
- 1.3 LQR求解
- 1.3.1 推导过程
- 1.3.2 LQR算法流程
- 二、iLQR(Iterative Linear Quadratic Regulator)
- 2.1 Newton Method
- 2.2 Gauss-Newton Method
- 2.3 iLQR算法
- iLQR背景设定
- iLQR流程
- 三、 DDP及iLQR改进
- 四、小总结
- 参考资料
- 补充
一、线性二次型调节器LQR(Linear Quadratic Regulator)
1.1 LQR符号与术语
现有一些随机策略
p
θ
(
u
t
∣
x
t
)
p_theta(u_t|x_t)
pθ(ut∣xt)收集的样本:
τ
i
=
(
x
1
i
,
u
1
i
,
x
2
i
,
u
2
i
,
.
.
.
,
x
T
i
,
u
T
i
,
x
T
+
1
i
)
,
i
=
1
,
2...
,
N
tau^i=(x_1^i,u_1^i,x_2^i,u_2^i,...,x_T^i,u_T^i,x_{T+1}^i),i=1,2...,N
τi=(x1i,u1i,x2i,u2i,...,xTi,uTi,xT+1i),i=1,2...,N
x
t
,
u
t
x_t,u_t
xt,ut即为第t时刻的状态与动作,此为控制论符号的表述
(
x
t
,
u
t
)
=
(
s
t
,
a
t
)
(x_t,u_t)=(s_t,a_t)
(xt,ut)=(st,at),两者可进行混用。lec1-lec4中提到,NN的cost function
c
(
x
t
,
u
t
)
c(x_t,u_t)
c(xt,ut)实际上是一种immediate的监督信号,RL的reward function
r
(
s
t
,
a
t
)
r(s_t,a_t)
r(st,at)实际上是一种delayed的监督信息,因此在一个time step下,有
c
(
x
t
,
u
t
)
=
−
r
(
x
t
,
u
t
)
+
c
o
n
s
t
a
n
t
c(x_t,u_t)=-r(x_t,u_t)+constant
c(xt,ut)=−r(xt,ut)+constant。下面给出一个术语表格,基础知识主要使用控制领域的术语表述。
| Control | RL | |
|---|---|---|
| 状态state | x t x_t xt | s t s_t st |
| 动作action | u t u_t ut | a t a_t at |
| 监督信号 | c ( x t , u t ) c(x_t,u_t) c(xt,ut) | r ( s t , a t ) r(s_t,a_t) r(st,at) |
| 动态模型 | x t + 1 ∼ f ( x t , u t ) x_{t+1}sim f(x_t,u_t) xt+1∼f(xt,ut) | s ′ ∼ p ( s ′ | s , a ) s'sim p(s'|s,a) s′∼p(s′|s,a) |
1.2 LQR问题下的设定
-
动态模型是deterministic的,即 x t + 1 = f ( x t , u t ) , f ( x t , u t ) x_{t+1}=f(x_t,u_t),f(x_t,u_t) xt+1=f(xt,ut),f(xt,ut)不是一个概率分布的模型。
-
监督信号cost function,最优控制中有performance measure的指标 J = h ( x T , T ) + ∫ t = 0 T g ( x t , u t , t ) d t J=h(x_T,T)+int_{t_=0}^Tg(x_t,u_t,t)dt J=h(xT,T)+∫t=0Tg(xt,ut,t)dt,第一项衡量该轨迹 τ tau τ末尾的状态 X T X_T XT与任务目标状态的距离,第二项衡量该轨迹 τ tau τ从起始到末尾,走完该轨迹中每个状态与动作所要消耗的代价,其中函数g为标量。因此 c ( x t , u t ) c(x_t,u_t) c(xt,ut)即为performace measure中的函数g。LQR的监督信号 c ( x t , u t ) c(x_t,u_t) c(xt,ut)是已知的,输入 x t , u t x_t,u_t xt,ut,输出一个标量scalar。
-
LQR的目的是,给定一个初始状态 x 1 x_1 x1,终止状态或任务目标状态 x T + 1 x_{T+1} xT+1,已知环境动态模型 x t + 1 = f ( x t , u t ) x_{t+1}=f(x_t,u_t) xt+1=f(xt,ut),求出一串动作序列 u 1 , u 2 , . . . , u T u_1,u_2,...,u_T u1,u2,...,uT使得累积cost最小,即
min u 1 , . . . , u T ∑ t = 1 T c ( x t , u t ) s . t x t = f ( x t − 1 , u t − 1 ) min_{u1,...,u_T}sum_{t=1}^Tc(x_t,u_t)quad s.tquad x_t=f(x_{t-1},u_{t-1}) u1,...,uTmint=1∑Tc(xt,ut)s.txt=f(xt−1,ut−1) -
LQR的approximation,linear体现在对 f ( x t , u t ) f(x_t,u_t) f(xt,ut)采用一阶线性近似,quadratic体现在对 c ( x t , u t ) c(x_t,u_t) c(xt,ut)采用二阶近似,即
x t + 1 = f ( x t , u t ) ≈ F t [ x t u t ] + f t = [ F x t F u t ] [ x t u t ] + f t c ( x t , u t ) = 1 2 [ x t u t ] T [ C x t , x t C x t , u t C u t , x t C u t , u t ] [ x t u t ] + [ x t u t ] T [ c x t c u t ] = 1 2 [ x t u t ] T C t [ x t u t ] + [ x t u t ] T c t x_{t+1}=f(x_t,u_t)approx F_t left[ begin{matrix} x_t\u_t end{matrix}right]+f_t=left[ begin{matrix} F_{x_t} &F_{u_t} end{matrix}right]left[ begin{matrix} x_t\u_t end{matrix}right]+f_t \ c(x_t,u_t)= frac{1}{2}left[ begin{matrix} x_t\u_t end{matrix}right]^Tleft[ begin{matrix} C_{x_t,x_t} &C_{x_t,u_t}\C_{u_t,x_t}&C_{u_t,u_t} end{matrix}right]left[ begin{matrix} x_t\u_t end{matrix}right]+left[ begin{matrix} x_t\u_t end{matrix}right]^Tleft[ begin{matrix} c_{x_t}\c_{u_t} end{matrix}right] =frac{1}{2}left[ begin{matrix} x_t\u_t end{matrix}right]^TC_tleft[ begin{matrix} x_t\u_t end{matrix}right]+left[ begin{matrix} x_t\u_t end{matrix}right]^Tc_t xt+1=f(xt,ut)≈Ft[xtut]+ft=[FxtFut][xtut]+ftc(xt,ut)=21[xtut]T[Cxt,xtCut,xtCxt,utCut,ut][xtut]+[xtut]T[cxtcut]=21[xtut]TCt[xtut]+[xtut]Tct
所以LQR的优化问题表述为:
min u 1 , . . . , u T ∑ t = 1 T c ( x t , u t ) s . t x t = f ( x t − 1 , u t − 1 ) f ( x t , u t ) = F t [ x t u t ] + f t c ( x t , u t ) = 1 2 [ x t u t ] T C t [ x t u t ] + [ x t u t ] T c t min_{u1,...,u_T}sum_{t=1}^Tc(x_t,u_t)quad s.tquad x_t=f(x_{t-1},u_{t-1})\ f(x_t,u_t)= F_t left[ begin{matrix} x_t\u_t end{matrix}right]+f_t \ c(x_t,u_t)=frac{1}{2}left[ begin{matrix} x_t\u_t end{matrix}right]^TC_tleft[ begin{matrix} x_t\u_t end{matrix}right]+left[ begin{matrix} x_t\u_t end{matrix}right]^Tc_t u1,...,uTmint=1∑Tc(xt,ut)s.txt=f(xt−1,ut−1)f(xt,ut)=Ft[xtut]+ftc(xt,ut)=21[xtut]TCt[xtut]+[xtut]Tct
其中 F t , f t , C t , c t F_t,f_t,C_t,c_t Ft,ft,Ct,ct均已知,下面推到用到其展开形式!
1.3 LQR求解


LQR求解主要有Backward Pass与Forward Pass两大过程,先看看对于LQR这个问题,什么是已知的,什么是未知的。
- 已知:initial state 初始状态 x 1 x_1 x1,goal state目标状态 x T + 1 x_{T+1} xT+1,动态模型 f ( x t , u t ) f(x_t,u_t) f(xt,ut)与cost function c ( x t , u t ) c(x_t,u_t) c(xt,ut)的结构参数 F t , f t , C t , c t F_t,f_t,C_t,c_t Ft,ft,Ct,ct
- 未知: x 2 , x 3 , . . . , x T , u 1 , u 2 , . . . , u T x_2,x_3,...,x_T,u_1,u_2,...,u_T x2,x3,...,xT,u1,u2,...,uT。因为 x 2 = f ( x 1 , u 1 ) , x 3 = f ( x 2 , u 2 ) , . . . , x T = f ( x T − 1 , u T − 1 ) , x T + 1 = f ( x T , u T ) x_2=f(x_1,u_1),x_3=f(x_2,u_2),...,x_T=f(x_{T-1},u_{T-1}),x_{T+1}=f(x_T,u_T) x2=f(x1,u1),x3=f(x2,u2),...,xT=f(xT−1,uT−1),xT+1=f(xT,uT),所以实际上未知的就是动作序列 u 1 , . . . , u T u_1,...,u_T u1,...,uT
- 目标函数变为:
min
u
1
,
.
.
u
T
c
(
x
1
,
u
1
)
+
c
(
f
(
x
1
,
u
1
)
,
u
2
)
+
⋯
+
c
(
f
(
f
(
.
.
.
(
)
.
.
.
)
,
u
T
)
min_{u_1,..u_T}c(x_1,u_1)+c(f(x_1,u_1),u_2)+cdots+c(f(f(...()...),u_T)
minu1,..uTc(x1,u1)+c(f(x1,u1),u2)+⋯+c(f(f(...()...),uT)啰嗦一下,
V
(
x
T
+
1
)
V(x_{T+1})
V(xT+1)由于终态确定,故可看做
c
o
n
s
t
const
const,而且dynamics是deterministic的,所以有
Q
(
x
t
,
u
t
)
=
r
(
x
t
,
u
t
)
+
V
(
x
t
+
1
)
Q(x_t,u_t)=r(x_t,u_t)+V(x_{t+1})
Q(xt,ut)=r(xt,ut)+V(xt+1),于是目标函数可以看成:
min u 1 , . . u T c ( x 1 , u 1 ) + c ( f ( x 1 , u 1 ) , u 2 ) + ⋯ + c ( f ( f ( . . . ( ) . . . ) , u T ) − V ( x T + 1 ) max u 1 , . . . , u T r ( x 1 , u 1 ) + r ( f ( x 1 , u 2 ) , u 2 ) + ⋯ + r ( x T , u T ) + V ( x T + 1 ) ⏟ Q = max u 1 , . . . , u T r ( x 1 , u 1 ) + r ( f ( x 1 , u 2 ) , u 2 ) + ⋯ + r ( x T − 1 , u T − 1 ) + Q ( x T , u T ) ⏟ u T = K T x T + k T = max u 1 , . . . , u T r ( x 1 , u 1 ) + r ( f ( x 1 , u 2 ) , u 2 ) + ⋯ + r ( x T − 1 , u T − 1 ) + V ( x T , u T ) = max u 1 , . . . , u T r ( x 1 , u 1 ) + r ( f ( x 1 , u 2 ) , u 2 ) + ⋯ + Q ( x T − 1 , u T − 1 ) = max u 1 , . . . , u T Q ( x 1 , u 1 ) begin{aligned} &min_{u_1,..u_T}c(x_1,u_1)+c(f(x_1,u_1),u_2)+cdots+c(f(f(...()...),u_T)-V(x_{T+1})\ &max_{u_1,...,u_T}r(x_1,u_1)+r(f(x_1,u_2),u_2)+cdots+underbrace{r(x_T,u_T)+V(x_{T+1})}_Q\ =&max_{u_1,...,u_T}r(x_1,u_1)+r(f(x_1,u_2),u_2)+dots+r(x_{T-1},u_{T-1})+underbrace{Q(x_T,u_T)}_{u_T=K_Tx_T+k_T}\ =&max_{u_1,...,u_T}r(x_1,u_1)+r(f(x_1,u_2),u_2)+dots+r(x_{T-1},u_{T-1})+V(x_T,u_T)\ =&max_{u_1,...,u_T}r(x_1,u_1)+r(f(x_1,u_2),u_2)+dots+Q(x_{T-1},u_{T-1})\ =&max_{u_1,...,u_T}Q(x_1,u_1) end{aligned} ====u1,..uTminc(x1,u1)+c(f(x1,u1),u2)+⋯+c(f(f(...()...),uT)−V(xT+1)u1,...,uTmaxr(x1,u1)+r(f(x1,u2),u2)+⋯+Q r(xT,uT)+V(xT+1)u1,...,uTmaxr(x1,u1)+r(f(x1,u2),u2)+⋯+r(xT−1,uT−1)+uT=KTxT+kT Q(xT,uT)u1,...,uTmaxr(x1,u1)+r(f(x1,u2),u2)+⋯+r(xT−1,uT−1)+V(xT,uT)u1,...,uTmaxr(x1,u1)+r(f(x1,u2),u2)+⋯+Q(xT−1,uT−1)u1,...,uTmaxQ(x1,u1)
求解思路,固定一个变量,调整其它变量,一个个求嘛,但如果是固定 u 1 u_1 u1,即Forward Pass前向算法,会经过多个动态模型 f f f的迭代,很难求解,于是先从BackWard角度考虑,即从 u T u_T uT入手。
1.3.1 推导过程
-
c ( x T , u T ) c(x_T,u_T) c(xT,uT)是一个二元函数,真正未知的只有 u T u_T uT,要使cost最小,所以对其求导,得到 u T u_T uT关于 x T x_T xT的关系,称作控制律,是在Backward pass中实际想要的东西。
∇ u T Q ( x T , u T ) = ∇ u T c ( x T , u T ) = ∇ u T [ 1 2 [ x T u T ] T C T [ x T u T ] + [ x T u T ] T c T ] = ∇ u T [ C x T , u T x T + C u T , u T u T + c u T ] ) = 0 所 以 u T = − C u T , u T − 1 ( C u T , x T x T + c u T ) begin{aligned} nabla_{u_T}Q(x_T,u_T)=nabla_{u_T}c(x_T,u_T)&=nabla_{u_T}Big[frac{1}{2}left[ begin{matrix} x_T\u_T end{matrix}right]^TC_Tleft[ begin{matrix} x_T\u_T end{matrix}right]+left[ begin{matrix} x_T\u_T end{matrix}right]^Tc_TBig] \ &=nabla_{u_T}Big[C_{x_T,u_T}x_T+C_{u_T,u_T}u_T+c_{u_T}Big])\ &=0\ 所以u_T&=-C^{-1}_{u_T,u_T}(C_{u_T,x_T}x_T+c_{u_T}) end{aligned} ∇uTQ(xT,uT)=∇uTc(xT,uT)所以uT=∇uT[21[xTuT]TCT[xTuT]+[xTuT]TcT]=∇uT[CxT,uTxT+CuT,uTuT+cuT])=0=−CuT,uT−1(CuT,xTxT+cuT)
换一下表述有:
u T = K T x T + k T K T = − C u T , u T − 1 C u T , x T , k T = − C u T , u T − 1 c u T u_T=K_Tx_T+k_T\ K_T=-C^{-1}_{u_T,u_T}C_{u_T,x_T},k_T=-C^{-1}_{u_T,u_T}c_{u_T} uT=KTxT+kTKT=−CuT,uT−1CuT,xT,kT=−CuT,uT−1cuT
这一步,得到了第T时刻的动作 u T u_T uT与第T时刻的状态 x T x_T xT之间的关系,其它系数均已知。 -
再看 u T − 1 u_{T-1} uT−1时,由动态模型 x T = f ( x T − 1 , u T − 1 ) x_T=f(x_{T-1},u_{T-1}) xT=f(xT−1,uT−1),由Q值函数 Q ( x T − 1 , u T − 1 ) = r ( x T − 1 , u T − 1 ) + V ( x T ) = − c ( x T − 1 , u T − 1 ) + V ( x T ) Q(x_{T-1},u_{T-1})=r(x_{T-1},u_{T-1})+V(x_T)=-c(x_{T-1},u_{T-1})+V(x_T) Q(xT−1,uT−1)=r(xT−1,uT−1)+V(xT)=−c(xT−1,uT−1)+V(xT)。
实际上,回顾lec5-lec9中对 Q ( s , a ) Q(s,a) Q(s,a)与 V ( s ) V(s) V(s)的理解,有 Q ( x T , u T ) = r ( x T , u T ) + E [ V ( x T + 1 ) ] = r ( x T , u T ) + c o n s t = − c ( x T , u T ) + c o n s t Q(x_T,u_T)=r(x_T,u_T)+E[V(x_{T+1})]=r(x_T,u_T)+const=-c(x_T,u_T)+const Q(xT,uT)=r(xT,uT)+E[V(xT+1)]=r(xT,uT)+const=−c(xT,uT)+const,代入 u T = K T x T + k T u_T=K_Tx_T+k_T uT=KTxT+kT,则:
V ( x T ) = Q ( x T , K T x T + k T ) = − c ( x T , K T x T + k T ) + c o n s t V(x_T)=Q(x_T,K_Tx_T+k_T)=-c(x_T,K_Tx_T+k_T)+const V(xT)=Q(xT,KTxT+kT)=−c(xT,KTxT+kT)+const代入quadratic cost function后化简一下并替换下表述有:
V ( x T ) = − 1 2 x T T V T x T + x T T v T V T = C x T , x T + C x T , u T K T + K T T C u T , x T + K T T C u T , u T K T v T = c x T + C x T , u T k T + K T T C u T + K T T C u T , u T k T begin{aligned} &V(x_T) =-frac{1}{2}x_T^TV_Tx_T+x_T^Tv_T\ {V}_{T} &= {C}_{ {x}_{T}, {x}_{T}}+ {C}_{ {x}_{T}, {u}_{T}} {K}_{T}+ {K}_{T}^{T} {C}_{ {u}_{T}, {x}_{T}}+ {K}_{T}^{T} {C}_{ {u}_{T}, {u}_{T}} {K}_{T} \ {v}_{T} &= {c}_{ {x}_{T}}+ {C}_{ {x}_{T}, {u}_{T}} {k}_{T}+ {K}_{T}^{T} {C}_{ {u}_{T}}+ {K}_{T}^{T} {C}_{ {u}_{T}, {u}_{T}} {k}_{T} end{aligned} VTvTV(xT)=−21xTTVTxT+xTTvT=CxT,xT+CxT,uTKT+KTTCuT,xT+KTTCuT,uTKT=cxT+CxT,uTkT+KTTCuT+KTTCuT,uTkT
因此,表示T-1时刻的Q值函数,利用动态模型消掉 x T x_T xT并使其导数为0。
− Q ( x T − 1 , u T − 1 ) = c ( x T − 1 , u T − 1 ) − V ( x T ) = 1 2 [ x T − 1 u T − 1 ] T C T − 1 [ x T − 1 u T − 1 ] + [ x T − 1 u T − 1 ] T c T − 1 + 1 2 x T T V T x T + x T T v T begin{aligned} -Q(x_{T-1},u_{T-1})&=c(x_{T-1},u_{T-1})-V(x_T)\ &=frac{1}{2}left[ begin{matrix} x_{T-1}\u_{T-1} end{matrix}right]^TC_{T-1}left[ begin{matrix} x_{T-1}\u_{T-1} end{matrix}right]+left[ begin{matrix} x_{T-1}\u_{T-1} end{matrix}right]^Tc_{T-1}+frac{1}{2}x_T^TV_Tx_T+x_T^Tv_T end{aligned} −Q(xT−1,uT−1)=c(xT−1,uT−1)−V(xT)=21[xT−1uT−1]TCT−1[xT−1uT−1]+[xT−1uT−1]TcT−1+21xTTVTxT+xTTvT
代入 x T = f ( x T − 1 , u T − 1 ) = F T − 1 [ x T − 1 u T − 1 ] + f T − 1 x_T=f(x_{T-1},u_{T-1})= F_{T-1} left[ begin{matrix} x_{T-1}\u_{T-1} end{matrix}right]+f_{T-1} xT=f(xT−1,uT−1)=FT−1[xT−1uT−1]+fT−1,便得到了仅有 x T − 1 , u T − 1 x_{T-1},u_{T-1} xT−1,uT−1表示的 Q ( x T − 1 , u T − 1 ) Q(x_{T-1},u_{T-1}) Q(xT−1,uT−1)
具体而言,经过整理:
Q ( x T − 1 , u T − 1 ) = 1 2 [ x T − 1 u T − 1 ] T Q T − 1 [ x T − 1 u T − 1 ] + [ x T − 1 u T − 1 ] T q T − 1 Q T − 1 = C T − 1 + F T − 1 T V T F T − 1 q T − 1 = c T − 1 + F T − 1 T V T f T − 1 + F T − 1 T v T Q(x_{T-1},u_{T-1})=frac{1}{2}left[ begin{matrix} x_{T-1}\u_{T-1} end{matrix}right]^TQ_{T-1}left[ begin{matrix} x_{T-1}\u_{T-1} end{matrix}right]+left[ begin{matrix} x_{T-1}\u_{T-1} end{matrix}right]^Tq_{T-1}\ begin{aligned} & {Q}_{T-1}= {C}_{T-1}+ {F}_{T-1}^{T} {V}_{T} {F}_{T-1}\ & {q}_{T-1}= {c}_{T-1}+ {F}_{T-1}^{T} {V}_{T} {f}_{T-1}+ {F}_{T-1}^{T} {v}_{T}\ end{aligned} Q(xT−1,uT−1)=21[xT−1uT−1]TQT−1[xT−1uT−1]+[xT−1uT−1]TqT−1QT−1=CT−1+FT−1TVTFT−1qT−1=cT−1+FT−1TVTfT−1+FT−1TvT
令其导数为0,得到 u T − 1 u_{T-1} uT−1与 x T − 1 x_{T-1} xT−1的关系,即T-1时刻的控制律:
∇ u T − 1 Q ( x T − 1 , u T − 1 ) = 0 u T − 1 = K T − 1 x T − 1 + k T − 1 K T − 1 = − Q u T − 1 , u T − 1 − 1 Q u T − 1 , x T − 1 , k T − 1 = − Q u T − 1 , u T − 1 − 1 q u T − 1 nabla_{u_{T-1}}Q(x_{T-1},u_{T-1})=0\ u_{T-1}=K_{T-1}x_{T-1}+k_{T-1}\ K_{T-1}=-Q^{-1}_{u_{T-1},u_{T-1}}Q_{u_{T-1},x_{T-1}},k_{T-1}=-Q^{-1}_{u_{T-1},u_{T-1}}q_{u_{T-1}} ∇uT−1Q(xT−1,uT−1)=0uT−1=KT−1xT−1+kT−1KT−1=−QuT−1,uT−1−1QuT−1,xT−1,kT−1=−QuT−1,uT−1−1quT−1 -
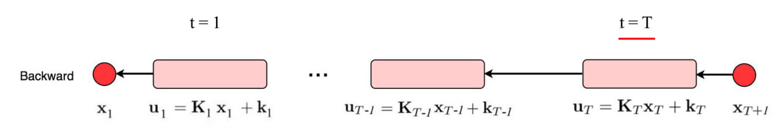
如此类推,Backward Pass得到动作与状态的控制律:
u t = K t x t + k t , t = 1 , 2 , . . . , T u_t=K_tx_t+k_t,t=1,2,...,T ut=Ktxt+kt,t=1,2,...,T又因为 x 1 x_1 x1已知,所以 u 1 u_1 u1可由 u 1 = K 1 x 1 + k 1 u_1=K_1x_1+k_1 u1=K1x1+k1计算得出,于是Forward Pass结合动态模型,算出动作序列:
x 2 = f ( x 1 , u 1 ) u 2 = K 2 x 2 + k 2 x 3 = f ( x 2 , u 2 ) ⋮ u T = K T x T + k T x_2=f(x_1,u_1)\ u_2=K_2x_2+k_2\ x_3=f(x_2,u_2)\ vdots \ u_T=K_Tx_T+k_T x2=f(x1,u1)u2=K2x2+k2x3=f(x2,u2)⋮uT=KTxT+kT -
小总结
Backward Pass步骤:
- T时刻的 ∇ u T Q ( x T , u T ) = 0 nabla_{u_T}Q(x_T,u_T)=0 ∇uTQ(xT,uT)=0,得控制律 u T = K T x T + k T u_T=K_Tx_T+k_T uT=KTxT+kT
- 计算 V ( x T ) V(x_T) V(xT),并利用 x T = f ( x T − 1 , u T − 1 ) x_T=f(x_{T-1},u_{T-1}) xT=f(xT−1,uT−1)消元,从而得到 Q ( x T − 1 , u T − 1 ) = − c ( x T − 1 , u T − 1 ) + V ( x T ) = − c ( x T − 1 , u T − 1 ) + V ( f ( x T − 1 , u T − 1 ) ) Q(x_{T-1},u_{T-1})=-c(x_{T-1},u_{T-1})+V(x_T)=-c(x_{T-1},u_{T-1})+V(f(x_{T-1},u_{T-1})) Q(xT−1,uT−1)=−c(xT−1,uT−1)+V(xT)=−c(xT−1,uT−1)+V(f(xT−1,uT−1))
- ∇ u T Q ( x T , u T ) = 0 nabla_{u_T}Q(x_T,u_T)=0 ∇uTQ(xT,uT)=0,得控制律 u T − 1 = K T − 1 x T − 1 + k T − 1 u_{T-1}=K_{T-1}x_{T-1}+k_{T-1} uT−1=KT−1xT−1+kT−1
- 计算 V ( x T − 1 ) V(x_{T-1}) V(xT−1),利用动态模型消元,得 Q ( x T − 2 , u T − 2 ) Q(x_{T-2},u_{T-2}) Q(xT−2,uT−2)
- ∇ u T − 2 Q ( x T − 2 , u T − 2 ) ) = 0 nabla_{u_{T-2}}Q(x_{T-2},u_{T-2}))=0 ∇uT−2Q(xT−2,uT−2))=0,得控制律 u T − 2 = K T − 2 x T − 2 + k T − 2 u_{T-2}=K_{T-2}x_{T-2}+k_{T-2} uT−2=KT−2xT−2+kT−2
- 以此类推。
Forward Pass步骤:
利用动态模型计算下一状态,利用控制律,计算出相应动作
1.3.2 LQR算法流程
- Backward Pass
for t=T to t=1:
Q t = C t + F t T V t + 1 F t q t = c t + F t T V t + 1 f t + F t T v t + 1 Q ( x t , u t ) = c o n s t + 1 2 [ x t u t ] T Q t [ x t u t ] + [ x t u t ] T q t u t ← arg min u t Q ( x t , u t ) = K t x t + k t K t = − Q u t , u t − 1 Q u t , x t k t = − Q u t , u t − 1 q u t V t = Q x t , x t + Q x t , u t K t + K t T Q u t , x t + K t T Q u t , u t K t v t = q x t + Q x t , u t k t + K t T Q u t + K t T Q u t , u t k t V ( x t ) = c o n s t + 1 2 x t T V t x t + x t T v t begin{aligned} & {Q}_{t}= {C}_{t}+ {F}_{t}^{T} {V}_{t+1} {F}_{t}\ & {q}_{t}= {c}_{t}+ {F}_{t}^{T} {V}_{t+1} {f}_{t}+ {F}_{t}^{T} {v}_{t+1}\ &Qleft( {x}_{t}, {u}_{t}right)=const+frac{1}{2}left[begin{array}{c} { {x}_{t}} \ { {u}_{t}} end{array}right]^{T} {Q}_{t}left[begin{array}{c} { {x}_{t}} \ { {u}_{t}} end{array}right]+left[begin{array}{c} { {x}_{t}} \ { {u}_{t}} end{array}right]^{T} {q}_{t}\ & {u}_{t} leftarrow arg min _{ {u}_{t}} Qleft( {x}_{t}, {u}_{t}right)= {K}_{t} {x}_{t}+ {k}_{t}\ & {K}_{t}=- {Q}_{ {u}_{t}, {u}_{t}}^{-1} {Q}_{ {u}_{t}, {x}_{t}}\ & {k}_{t}=- {Q}_{ {u}_{t}, {u}_{t}}^{-1} {q}_{ {u}_{t}}\ & {V}_{t}= {Q}_{ {x}_{t}, {x}_{t}}+ {Q}_{ {x}_{t}, {u}_{t}} {K}_{t}+ {K}_{t}^{T} {Q}_{ {u}_{t}, {x}_{t}}+ {K}_{t}^{T} {Q}_{ {u}_{t}, {u}_{t}} {K}_{t}\ & {v}_{t}= {q}_{ {x}_{t}}+ {Q}_{ {x}_{t}, {u}_{t}} {k}_{t}+ {K}_{t}^{T} {Q}_{ {u}_{t}}+ {K}_{t}^{T} {Q}_{ {u}_{t}, {u}_{t}} {k}_{t}\ &Vleft( {x}_{t}right)=mathrm{const}+frac{1}{2} {x}_{t}^{T} {V}_{t} {x}_{t}+ {x}_{t}^{T} {v}_{t} end{aligned} Qt=Ct+FtTVt+1Ftqt=ct+FtTVt+1ft+FtTvt+1Q(xt,ut)=const+21[xtut]TQt[xtut]+[xtut]Tqtut←argutminQ(xt,ut)=Ktxt+ktKt=−Qut,ut−1Qut,xtkt=−Qut,ut−1qutVt=Qxt,xt+Qxt,utKt+KtTQut,xt+KtTQut,utKtvt=qxt+Qxt,utkt+KtTQut+KtTQut,utktV(xt)=const+21xtTVtxt+xtTvt - Forward Pass
for t=1 to t=T:
u t = K t x t + k t x t + 1 = f ( x t , u t ) begin{aligned} & {u}_{t}= {K}_{t} {x}_{t}+ {k}_{t}\ & {x}_{t+1}=fleft( {x}_{t}, {u}_{t}right) end{aligned} ut=Ktxt+ktxt+1=f(xt,ut) - LQR模块
即使上述过程不是很透彻,亦可如下图所示将LQR看成一个黑盒模块,对于已知deterministic的dynamics,使用LQR算法,便可得到一组动作序列 u 1 , . . . , u T u_1,...,u_T u1,...,uT,并可计算出状态序列。
输入:初始状态 x 1 x_1 x1,目标状态 x T + 1 x_{T+1} xT+1,动态模型 f ( x t , u t ) f(x_t,u_t) f(xt,ut),代价函数 c ( x t , u t ) c(x_t,u_t) c(xt,ut)
输出:动作序列 u 1 , . . . , u T u_1,...,u_T u1,...,uT和状态序列 x 1 , . . . , x T x_1,...,x_T x1,...,xT,即一条轨迹

二、iLQR(Iterative Linear Quadratic Regulator)
LQR的linear dynamics是deterministic的,这非常受限,对应RL中的
s
′
=
p
(
s
′
∣
s
,
a
)
s'=p(s'|s,a)
s′=p(s′∣s,a),在当前state,选择一个action后,下一状态就确定了。为了应对复杂环境dynamics的stochastic,即
s
′
∼
p
(
s
′
∣
s
,
a
)
s'sim p(s'|s,a)
s′∼p(s′∣s,a),相当于说把LQR中假设linear dynamics拓展成了Non-linear dynamics,这时候需要采用iLQR,再叙述之前,先回顾一下以下两种优化算法,可参考以下专栏。
优化算法(甩甩的知乎专栏)
2.1 Newton Method
寻找参数
θ
theta
θ最小化损失函数
m
i
n
L
(
θ
)
minL(theta)
minL(θ)
在参数空间初始化一个参数
θ
^
hattheta
θ^,寻找一个增量
Δ
θ
Deltatheta
Δθ,采用泰勒二阶近似:
L
(
θ
^
+
Δ
θ
)
≈
L
^
(
θ
^
+
Δ
θ
)
=
L
(
θ
^
)
+
∇
L
(
θ
^
)
T
Δ
θ
+
1
2
(
Δ
θ
)
T
∇
2
L
(
θ
^
)
Δ
θ
L(hattheta+Deltatheta)approx hat{L}(hattheta+Deltatheta)=L(hattheta)+nabla L(hattheta)^TDeltatheta+frac{1}{2}(Deltatheta)^Tnabla^2L(hattheta)Deltatheta
L(θ^+Δθ)≈L^(θ^+Δθ)=L(θ^)+∇L(θ^)TΔθ+21(Δθ)T∇2L(θ^)Δθ
寻找的增量
Δ
θ
Deltatheta
Δθ使得
L
(
θ
^
+
Δ
θ
)
L(hattheta+Deltatheta)
L(θ^+Δθ)最小,即
L
(
θ
^
+
Δ
θ
)
≤
L
(
θ
^
)
L(hattheta+Deltatheta)leq L(hattheta)
L(θ^+Δθ)≤L(θ^)且
∇
Δ
θ
L
(
θ
^
+
Δ
θ
)
=
0
nabla_{Deltatheta} L(hattheta+Deltatheta)=0
∇ΔθL(θ^+Δθ)=0所以有:
∇
Δ
θ
(
L
(
θ
^
)
+
∇
L
(
θ
^
)
T
Δ
θ
+
1
2
(
Δ
θ
)
T
∇
2
L
(
θ
^
)
Δ
θ
)
≈
0
nabla_{Deltatheta} Big(L(hattheta)+nabla L(hattheta)^TDeltatheta+frac{1}{2}(Deltatheta)^Tnabla^2L(hattheta)DeltathetaBig)approx0
∇Δθ(L(θ^)+∇L(θ^)TΔθ+21(Δθ)T∇2L(θ^)Δθ)≈0
下面将符号稍微写繁琐一点,实际上
∇
L
(
θ
^
)
nabla L(hattheta)
∇L(θ^)为Jacobian矩阵
J
(
θ
^
)
J(hattheta)
J(θ^),
∇
2
L
(
θ
^
)
nabla^2L(hattheta)
∇2L(θ^)为Hessian矩阵
H
(
θ
^
)
H(hattheta)
H(θ^)
∇
θ
^
L
(
θ
^
)
+
∇
θ
^
2
L
(
θ
^
)
Δ
θ
≈
0
nabla_{hattheta} L(hattheta)+nabla_{hattheta} ^2L(hattheta)Deltathetaapprox0
∇θ^L(θ^)+∇θ^2L(θ^)Δθ≈0
Δ
θ
≈
−
(
∇
θ
^
2
L
(
θ
^
)
)
−
1
∇
θ
^
L
(
θ
^
)
=
−
H
(
θ
^
)
−
1
J
(
θ
^
)
θ
t
+
1
=
θ
t
+
Δ
θ
t
≈
θ
t
−
H
t
−
1
J
t
Deltathetaapprox-(nabla_{hattheta} ^2L(hattheta))^{-1}nabla_{hattheta} L(hattheta)=-H(hattheta)^{-1}J(hattheta)\ theta_{t+1}=theta_t+Deltatheta_tapproxtheta_t-H_t^{-1}J_t
Δθ≈−(∇θ^2L(θ^))−1∇θ^L(θ^)=−H(θ^)−1J(θ^)θt+1=θt+Δθt≈θt−Ht−1Jt
所以Newton Method的更新策略为:
J
t
=
∇
L
(
θ
t
)
H
t
=
∇
2
L
(
θ
t
)
Δ
t
=
−
H
t
−
1
J
t
α
t
=
arg min
α
>
0
L
(
θ
t
+
α
Δ
t
)
L
i
n
e
S
e
a
r
c
h
!
θ
t
+
1
=
θ
t
+
α
t
Δ
t
J_t=nabla L(theta_t)\ H_t=nabla^2L(theta_t)\ Delta_t=-H_t^{-1}J_t\ alpha_t=argmin_{alpha>0}L(theta_t+alphaDelta_t)quad Linequad Search!\ theta_{t+1}=theta_t+alpha_tDelta_t
Jt=∇L(θt)Ht=∇2L(θt)Δt=−Ht−1Jtαt=α>0argminL(θt+αΔt)LineSearch!θt+1=θt+αtΔt
上述更新策略,有一个line search的过程。通过
g
g
g表示gradient,
x
x
x替换
θ
theta
θ,
x
^
hat x
x^为更新前的值,亦可简化表述为iLQR需要用到的形式,如下:
Until convergence:
g
=
∇
x
L
(
x
^
)
H
=
∇
x
2
L
(
x
^
)
x
^
←
arg min
x
L
(
x
)
−
L
(
x
^
)
≈
1
2
(
x
−
x
^
)
T
H
(
x
−
x
^
)
+
g
T
(
x
−
x
^
)
g=nabla_xL(hat x)\ H=nabla_x^2L(hat x)\ hat xleftarrow argmin_x L(x)-L(hat x)approxfrac{1}{2}(x-hat x)^TH(x-hat x)+g^T(x-hat x)
g=∇xL(x^)H=∇x2L(x^)x^←xargminL(x)−L(x^)≈21(x−x^)TH(x−x^)+gT(x−x^)
2.2 Gauss-Newton Method
因为牛顿方法中不仅要求Hessian矩阵,而且还要求它的逆,计算复杂度猛增,许多拟牛顿方法就是通过不同方式去逼近Hessian矩阵的逆。而高斯牛顿方法实际上,是在最小二乘法中的特殊求解,用一阶梯度的信息来逼近Hessian矩阵
H
−
1
≈
(
J
T
J
)
−
1
H^{-1}approx (J^TJ)^{-1}
H−1≈(JTJ)−1
2.3 iLQR算法
iLQR背景设定
- dynamics model
iLQR的特点是能处理non-linear,stochastic的dynamics model,其模型结构,可从LQR简化为:
L Q R : f ( x t , u t ) = F t [ x t u t ] + f t LQR:f(x_t,u_t)= F_t left[ begin{matrix} x_t\u_t end{matrix}right]+f_t LQR:f(xt,ut)=Ft[xtut]+ft
i L Q R : f ( x t , u t ) = N ( F t [ x t u t ] + f t , Σ t ) iLQR:f(x_t,u_t)=Nbig(F_t left[ begin{matrix} x_t\u_t end{matrix}right]+f_t,Sigma_tbig) iLQR:f(xt,ut)=N(Ft[xtut]+ft,Σt)
- LQR
LQR的约束,是一个线性系统,可通过deterministic的dynamics model确定下一状态 x t + 1 x_{t+1} xt+1与当前状态 x t x_t xt、动作 u t u_t ut的关系,cost也可以由 x t , u t x_t,u_t xt,ut确定。
f ( x t , u t ) = F t [ x t u t ] + f t c ( x t , u t ) = 1 2 [ x t u t ] T C t [ x t u t ] + [ x t u t ] T c t begin{aligned} &fleft( {x}_{t}, {u}_{t}right)= {F}_{t}left[begin{array}{l} { {x}_{t}} \ { {u}_{t}} end{array}right]+ {f}_{t}\ &cleft( {x}_{t}, {u}_{t}right)=frac{1}{2}left[begin{array}{l} { {x}_{t}} \ { {u}_{t}} end{array}right]^{T} {C}_{t}left[begin{array}{l} { {x}_{t}} \ { {u}_{t}} end{array}right]+left[begin{array}{l} { {x}_{t}} \ { {u}_{t}} end{array}right]^{T} {c}_{t} end{aligned} f(xt,ut)=Ft[xtut]+ftc(xt,ut)=21[xtut]TCt[xtut]+[xtut]Tct - iLQR
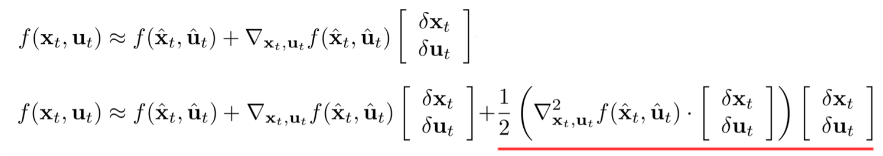
iLQR的dynamics是非线性的,即下一状态 x t + 1 x_{t+1} xt+1不能靠当前状态 x t x_t xt、当前动作 u t u_t ut线性关系确定,可理解为利用泰勒展开逼近两状态间 x t , x t + 1 x_t,x_{t+1} xt,xt+1假设的高斯分布,对dynamics一阶泰勒近似,对cost二阶泰勒近似,如下:
f ( x t , u t ) ≈ f ( x ^ t , u ^ t ) + ∇ x t , u t f ( x ^ t , u ^ t ) [ x t − x ^ t u t − u ^ t ] c ( x t , u t ) ≈ c ( x ^ t , u ^ t ) + ∇ x t , u t c ( x ^ t , u ^ t ) [ x t − x ^ t u t − u ^ t ] + 1 2 [ x t − x ^ t u t − u ^ t ] T ∇ x t , u t 2 c ( x ^ t , u ^ t ) [ x t − x ^ t u t − u ^ t ] begin{aligned} &fleft( {x}_{t}, {u}_{t}right) approx fleft(hat{ {x}}_{t}, hat{ {u}}_{t}right)+nabla_{ {x}_{t}, {u}_{t}} fleft(hat{ {x}}_{t}, hat{ {u}}_{t}right)left[begin{array}{l} { {x}_{t}-hat{ {x}}_{t}} \ { {u}_{t}-hat{ {u}}_{t}} end{array}right]\ &cleft( {x}_{t}, {u}_{t}right) approx cleft(hat{ {x}}_{t}, hat{ {u}}_{t}right)+nabla_{ {x}_{t}, {u}_{t}} cleft(hat{ {x}}_{t}, hat{ {u}}_{t}right)left[begin{array}{c} { {x}_{t}-hat{ {x}}_{t}} \ { {u}_{t}-hat{ {u}}_{t}} end{array}right]+frac{1}{2}left[begin{array}{c} { {x}_{t}-hat{ {x}}_{t}} \ { {u}_{t}-hat{ {u}}_{t}} end{array}right]^{T} nabla_{ {x}_{t}, {u}_{t}}^{2} cleft(hat{ {x}}_{t}, hat{ {u}}_{t}right)left[begin{array}{l} { {x}_{t}-hat{ {x}}_{t}} \ { {u}_{t}-hat{ {u}}_{t}} end{array}right] end{aligned} f(xt,ut)≈f(x^t,u^t)+∇xt,utf(x^t,u^t)[xt−x^tut−u^t]c(xt,ut)≈c(x^t,u^t)+∇xt,utc(x^t,u^t)[xt−x^tut−u^t]+21[xt−x^tut−u^t]T∇xt,ut2c(x^t,u^t)[xt−x^tut−u^t]
iLQR流程
整理一下有:
f
(
x
t
,
u
t
)
−
f
(
x
^
t
,
u
^
t
)
≈
∇
x
t
,
u
t
f
(
x
^
t
,
u
^
t
)
[
x
t
−
x
^
t
u
t
−
u
^
t
]
c
(
x
t
,
u
t
)
−
c
(
x
^
t
,
u
^
t
)
≈
∇
x
t
,
u
t
c
(
x
^
t
,
u
^
t
)
[
x
t
−
x
^
t
u
t
−
u
^
t
]
+
1
2
[
x
t
−
x
^
t
u
t
−
u
^
t
]
T
∇
x
t
,
u
t
2
c
(
x
^
t
,
u
^
t
)
[
x
t
−
x
^
t
u
t
−
u
^
t
]
begin{aligned} &fleft( {x}_{t}, {u}_{t}right)-fleft(hat{ {x}}_{t}, hat{ {u}}_{t}right) approx nabla_{ {x}_{t}, {u}_{t}} fleft(hat{ {x}}_{t}, hat{ {u}}_{t}right)left[begin{array}{l} { {x}_{t}-hat{ {x}}_{t}} \ { {u}_{t}-hat{ {u}}_{t}} end{array}right]\ &cleft( {x}_{t}, {u}_{t}right)-cleft(hat{ {x}}_{t}, hat{ {u}}_{t}right) approx nabla_{ {x}_{t}, {u}_{t}} cleft(hat{ {x}}_{t}, hat{ {u}}_{t}right)left[begin{array}{c} { {x}_{t}-hat{ {x}}_{t}} \ { {u}_{t}-hat{ {u}}_{t}} end{array}right]+frac{1}{2}left[begin{array}{c} { {x}_{t}-hat{ {x}}_{t}} \ { {u}_{t}-hat{ {u}}_{t}} end{array}right]^{T} nabla_{ {x}_{t}, {u}_{t}}^{2} cleft(hat{ {x}}_{t}, hat{ {u}}_{t}right)left[begin{array}{l} { {x}_{t}-hat{ {x}}_{t}} \ { {u}_{t}-hat{ {u}}_{t}} end{array}right] end{aligned}
f(xt,ut)−f(x^t,u^t)≈∇xt,utf(x^t,u^t)[xt−x^tut−u^t]c(xt,ut)−c(x^t,u^t)≈∇xt,utc(x^t,u^t)[xt−x^tut−u^t]+21[xt−x^tut−u^t]T∇xt,ut2c(x^t,u^t)[xt−x^tut−u^t]
更换一下表述
δ
x
t
=
x
t
−
x
^
t
,
δ
u
t
=
u
t
−
u
^
t
delta x_t=x_t-hat x_t,delta u_t=u_t-hat u_t
δxt=xt−x^t,δut=ut−u^t:
f
ˉ
(
δ
x
t
,
δ
u
t
)
=
f
(
x
t
,
u
t
)
−
f
(
x
^
t
,
u
^
t
)
≈
∇
x
t
,
u
t
f
(
x
^
t
,
u
^
t
)
[
x
t
−
x
^
t
u
t
−
u
^
t
]
=
F
t
[
δ
x
t
δ
u
t
]
bar f(delta x_t,delta u_t)=fleft( {x}_{t}, {u}_{t}right)-fleft(hat{ {x}}_{t}, hat{ {u}}_{t}right) approx nabla_{ {x}_{t}, {u}_{t}} fleft(hat{ {x}}_{t}, hat{ {u}}_{t}right)left[begin{array}{l} { {x}_{t}-hat{ {x}}_{t}} \ { {u}_{t}-hat{ {u}}_{t}} end{array}right]=F_tleft[begin{array}{l} { delta x_t} \ { delta u_t} end{array}right]
fˉ(δxt,δut)=f(xt,ut)−f(x^t,u^t)≈∇xt,utf(x^t,u^t)[xt−x^tut−u^t]=Ft[δxtδut]
c
ˉ
(
δ
x
t
,
δ
u
t
)
=
c
(
x
t
,
u
t
)
−
c
(
x
^
t
,
u
^
t
)
≈
∇
x
t
,
u
t
c
(
x
^
t
,
u
^
t
)
[
x
t
−
x
^
t
u
t
−
u
^
t
]
+
1
2
[
x
t
−
x
^
t
u
t
−
u
^
t
]
T
∇
x
t
,
u
t
2
c
(
x
^
t
,
u
^
t
)
[
x
t
−
x
^
t
u
t
−
u
^
t
]
=
c
t
[
δ
x
t
δ
u
t
]
+
1
2
[
δ
x
t
δ
u
t
]
T
C
t
[
δ
x
t
δ
u
t
]
begin{aligned} bar{c}(delta x_t,delta u_t)=cleft( {x}_{t}, {u}_{t}right)-cleft(hat{ {x}}_{t}, hat{ {u}}_{t}right)&approx nabla_{ {x}_{t}, {u}_{t}} cleft(hat{ {x}}_{t}, hat{ {u}}_{t}right)left[begin{array}{c} { {x}_{t}-hat{ {x}}_{t}} \ { {u}_{t}-hat{ {u}}_{t}} end{array}right]+frac{1}{2}left[begin{array}{c} { {x}_{t}-hat{ {x}}_{t}} \ { {u}_{t}-hat{ {u}}_{t}} end{array}right]^{T} nabla_{ {x}_{t}, {u}_{t}}^{2} cleft(hat{ {x}}_{t}, hat{ {u}}_{t}right)left[begin{array}{l} { {x}_{t}-hat{ {x}}_{t}} \ { {u}_{t}-hat{ {u}}_{t}} end{array}right]\ &=c_tleft[begin{array}{l} { delta x_t} \ { delta u_t} end{array}right]+frac{1}{2}left[begin{array}{l} { delta x_t} \ { delta u_t} end{array}right]^TC_tleft[begin{array}{l} { delta x_t} \ { delta u_t} end{array}right] end{aligned}
cˉ(δxt,δut)=c(xt,ut)−c(x^t,u^t)≈∇xt,utc(x^t,u^t)[xt−x^tut−u^t]+21[xt−x^tut−u^t]T∇xt,ut2c(x^t,u^t)[xt−x^tut−u^t]=ct[δxtδut]+21[δxtδut]TCt[δxtδut]
可看作dynamics是
f
ˉ
(
δ
x
t
,
δ
u
t
)
bar f(delta x_t,delta u_t)
fˉ(δxt,δut),cost是
c
ˉ
(
δ
x
t
,
δ
u
t
)
bar{c}(delta x_t,delta u_t)
cˉ(δxt,δut),状态是
δ
x
delta x
δx,动作是
δ
u
delta u
δu的LQR。
所以算法流程如下:


即使iLQR不是很透彻,只需要知道iLQR的输入是一条人工初始化的轨迹
x
^
t
,
u
^
t
hat x_t,hat u_t
x^t,u^t,其中每一个LQR的输入是新旧轨迹之间的差值
x
t
−
x
^
t
,
u
t
−
u
^
t
x_t-hat x_t,u_t-hat u_t
xt−x^t,ut−u^t,经过Backward Pass知道控制律
u
t
=
K
t
(
x
t
−
x
^
t
)
+
k
t
+
u
^
t
u_t=K_t(x_t-hat x_t)+k_t+hat u_t
ut=Kt(xt−x^t)+kt+u^t,再通过Forward Pass知道一条较优轨迹
x
t
,
u
t
x_t,u_t
xt,ut,再输入到下一个LQR模块,如此迭代计算输出最优轨迹,而不像LQR中给定初始状态与目标状态直接计算出最优轨迹,毕竟iLQR的环境是stochastic的。
三、 DDP及iLQR改进
- DDP(Differential Dynamics Programming)为了完整性,把iLQR中的dynamics model加了个二阶近似项,此处并不提及DDP的算法流程。

- iLQR中的控制率
u
t
=
K
t
(
x
t
−
x
^
t
)
+
k
t
+
u
^
t
u_t=K_t(x_t-hat x_t)+k_t+hat u_t
ut=Kt(xt−x^t)+kt+u^t可加一个如牛顿法中一样的线性搜寻项line search,避免一节梯度优化时过度,即
u
t
=
K
t
(
x
t
−
x
^
t
)
+
α
t
k
t
+
u
^
t
u_t=K_t(x_t-hat x_t)+alpha_tk_t+hat u_t
ut=Kt(xt−x^t)+αtkt+u^t

四、小总结
- LQR中对dynamics model的近似, x t + 1 = f ( x t , u t ) ≈ F t [ x t u t ] + f t x_{t+1}=f(x_t,u_t)approx F_t left[ begin{matrix} x_t\u_t end{matrix}right]+f_t xt+1=f(xt,ut)≈Ft[xtut]+ft,其中locally linear体现在 x t + 1 = F x t x t + F u t u t + f t x_{t+1}=F_{x_t}x_t+F_{u_t}u_t+f_t xt+1=Fxtxt+Futut+ft即下一状态与当前状态、动作成局部线性关系,time-varied体现在已知拟合好的 F t , f t F_t,f_t Ft,ft随着时间的可变性上。
- iLQR相当于对目标函数 min u 1 , . . u T c ( x 1 , u 1 ) + c ( f ( x 1 , u 1 ) , u 2 ) + ⋯ + c ( f ( f ( . . . ( ) . . . ) , u T ) min_{u_1,..u_T}c(x_1,u_1)+c(f(x_1,u_1),u_2)+cdots+c(f(f(...()...),u_T) minu1,..uTc(x1,u1)+c(f(x1,u1),u2)+⋯+c(f(f(...()...),uT)中的dynamics model f ( x t , u t ) f(x_t,u_t) f(xt,ut)与cost function c ( x t , u t ) c(x_t,u_t) c(xt,ut)进行了泰勒近似,并采用Newton Method来迭代。
- DDP则是扩展了iLQR中的dynamics model使其为泰勒二阶近似。
参考资料
CS285 lec10的PPT
知乎中原一点红的课程笔记
Medium:Jonathan Hui
补充
- LQR与iLQR中stochastic dynamics的具体影响理解得不够透彻。
- iLQR中dynamics model假设中 f ( x t , u t ) = N ( F t [ x t u t ] + f t , Σ t ) , Σ t f(x_t,u_t)=Nbig(F_t left[ begin{matrix} x_t\u_t end{matrix}right]+f_t,Sigma_tbig),Sigma_t f(xt,ut)=N(Ft[xtut]+ft,Σt),Σt的影响,该如何设置,以这个高斯分布为具体模型时运算中 Σ t Sigma_t Σt是如何被消掉的这一点,这几个问题还没搞懂,待有心力时再补充。
最后
以上就是难过大炮最近收集整理的关于LQR,iLQR,DDP控制论经典算法(MBRL基础知识)一、线性二次型调节器LQR(Linear Quadratic Regulator)二、iLQR(Iterative Linear Quadratic Regulator)三、 DDP及iLQR改进四、小总结参考资料补充的全部内容,更多相关LQR,iLQR,DDP控制论经典算法(MBRL基础知识)一、线性二次型调节器LQR(Linear内容请搜索靠谱客的其他文章。
发表评论 取消回复