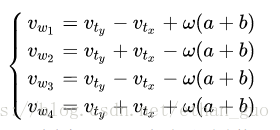
1,从车身的运动速度(x,y,w)得到四个轮子的速度:看这篇文章.得到如下结果:vty为沿车身y方向运动的速度.vtx同理.

2,从四个轮子的速度得到车身的运动速度(x,y,w):通过上述文章最后的结论反推即可.
前两个式子求平均(我猜这样量太少会导致不精确)或者四个式子求平均,得到vty.其余的vtx,w同理.
3,得到了底盘的速度,剩下的就和普通二轮差速的底盘里程计计算一样了,固定很短间隔时间内认为运动分量不变,进行积分...
最后
以上就是无辜石头最近收集整理的关于计算四麦克纳姆轮底盘的里程计的全部内容,更多相关计算四麦克纳姆轮底盘内容请搜索靠谱客的其他文章。
本图文内容来源于网友提供,作为学习参考使用,或来自网络收集整理,版权属于原作者所有。
发表评论 取消回复