目录
1.概论
高通滤波原理
作用
2.理想高通滤波
3.巴特沃斯高通滤波器
代码(巴特沃斯高通滤波器)
4.高斯高通滤波器
1.概论
高通滤波原理:
衰减或抑制低频分量,让高频分量通过
作用:
使图像得到锐化处理,突出图像的边界。
(注意:一般来说,高通滤波对噪声没有任何抑制作用,若简单的使用高通滤波,图像质量可能由于噪声严重而难以达到满意的改善效果,为了既加强图像的细节又抑制噪声,可采用高频加强滤波,这种滤波其实是由一个高通滤波器和一个全通滤波器构成的,这样便能在高通滤波的基础之上保留低频信息)
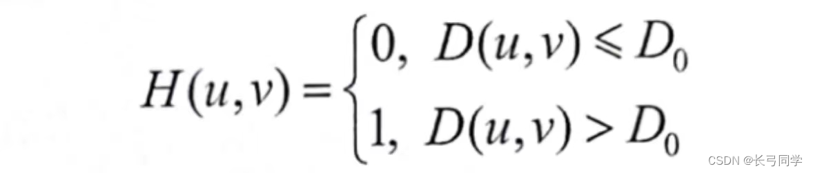
2.理想高通滤波
产生公式:

(其中D0为理想高通滤波器的截止频率)

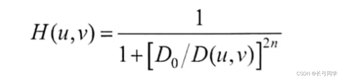
3.巴特沃斯高通滤波器
产生公式:

(其中D0为巴特沃斯高通滤波器的截止频率,n为巴特沃斯滤波器的阶数,用来控制滤波器的陡峭程度)

代码(巴特沃斯高通滤波器):
clear all;clc;
I = imread('D:resource_photo1(1).png');
figure(1);
subplot(221),imshow(I);
title('原始图像');
k=fft2(im2double(I));
s=fftshift(fft2(im2double(I)));
subplot(222),imshow(k);
title('二维傅里叶变换后图像');
subplot(223),imshow(log(abs(s)));
title('中心频谱图像')
[a,b]=size(s);
a0=round(a/2);
b0=round(b/2);
d0=50; % 将理想高通滤波器的截止频率D0设置为50
for i=1:a %双重for循环计算频率点(i,j)与频域中心的距离D(i,j)=sqrt((i-round(a/2)^2+(j-round(b/2)^2))
for j=1:b
distance=sqrt((i-a0)^2+(j-b0)^2);
if distance<=d0 % 根据理想高通滤波器产生公式,当D(i,j)<=D0,置为0
h=0;
else
h=1; % 根据理想高通滤波器产生公式,当D(i,j)>D0,置为1
end
s(i,j)=h*s(i,j);% 频域图像乘以滤波器的系数
end
end
% real函数取元素的实部
s=real(ifft2(ifftshift(s)));% 最后进行二维傅里叶反变换转换为时域图像
subplot(224),imshow(s,[]);
title('理想高通滤波所得图像');
运行结果:

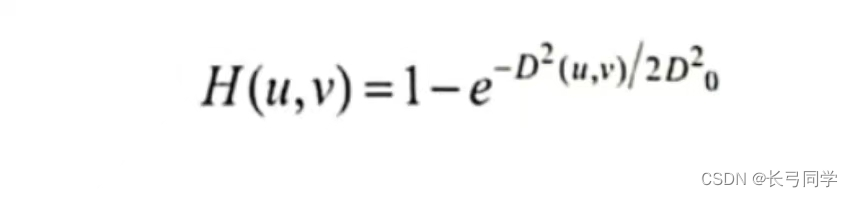
4.高斯高通滤波器
产生公式:

(其中D0为高斯高通滤波器的截止频率)

最后
以上就是笨笨溪流最近收集整理的关于MATLAB图像处理学习——高通滤波(频域滤波(二))的全部内容,更多相关MATLAB图像处理学习——高通滤波(频域滤波(二))内容请搜索靠谱客的其他文章。
本图文内容来源于网友提供,作为学习参考使用,或来自网络收集整理,版权属于原作者所有。
发表评论 取消回复