一、背景
在天线领域,有一个技术叫multiple input multiple output (MIMO)。以下就是MIMO天线的实物图

简而言之就是把信号分成很多个部分,用多根天线接收。但是:当MIMO阵元之间的耦合越高,对最终速率传输影响就越大,为了设计的时候直观看出他们之间的耦合 那么应该如何表征这种影响呢?
二、公式
ECC:Envelop Correlation Coefficient,相关包络系数,表征不同的天线单元间接收信号幅度之间的相关性,是衡量MIMO多天线系统分集性能和耦合性能的参数指标。
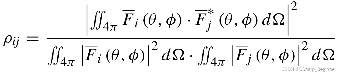
聪明的科研人员用天线的far-fields radaition pattern(远场方向图)或者 S-parameters(S参数)来表征elements(单元)之间的相关性:


注意,尽管公式(2)显示:较低的耦合(高隔离度)会产生较低的相关性。但它仅考虑了通过天线结构的天线输入端口之间的隔离,而没有考虑到辐射场耦合,而公式(1)则考虑到了辐射场的耦合。因此,低耦合不一定能保证低相关系数,反之亦然。通过空间分集(天线位置),角度分集(天线模式幅度和相位响应) 或 极化分集(天线的极化行为) 可以更好获得良好的相关系数。其中 * 代表共轭
经过科研人员多次测试,ECC低于0.5的MIMO天线能够“比较”好的工作。但是,实际上在天线领域各大期刊的MIMO设计中,ECC一般小于0.2才属于优秀,很多“极限”的设计能达到0.1以下,比如本文一开始的手机MIMO天线,其S参数与实测ECC低于0.04如下图所示:


注意:ECC一般表征的是2个elements之间的关系,所以MIMO系统就会用多组ECC来表征天线之间的独立性。
[1] Y. Li, C. Sim, Y. Luo and G. Yang, “High-Isolation 3.5 GHz Eight-Antenna MIMO Array Using Balanced Open-Slot Antenna Element for 5G Smartphones,” in IEEE Transactions on Antennas and Propagation, vol. 67, no. 6, pp. 3820-3830, June 2019, doi: 10.1109/TAP.2019.2902751.
[1] Y. Li, C. Sim, Y. Luo and G. Yang, “High-Isolation 3.5 GHz Eight-Antenna MIMO Array Using Balanced Open-Slot Antenna Element for 5G Smartphones,” in IEEE Transactions on Antennas and Propagation, vol. 67, no. 6, pp. 3820-3830, June 2019, doi: 10.1109/TAP.2019.2902751.
最后
以上就是结实大白最近收集整理的关于【转】天线中的ECC是什么呢?表征了什么呢?如何计算呢?一、背景二、公式的全部内容,更多相关【转】天线中内容请搜索靠谱客的其他文章。
发表评论 取消回复