目录
无监督学习:简介
K-均值算法(K-Means)
优化目标
随机初始化
选择聚类数
相似度/距离计算方法
聚类的衡量指标
【此为本人学习吴恩达的机器学习课程的笔记记录,有错误请指出!】
无监督学习:简介
无监督学习就是让计算机学习无标签数据,而不是此前的标签数据。如图:

K-均值算法(K-Means)
K-均值是最普及的聚类算法,算法接受一个未标记的数据集,然后将数据聚类成不同的组。
K-均值是一个迭代算法,假设我们想要将数据聚类成 n 个组,其方法为:
步骤一:首先选择????个随机的点,称为聚类中心( cluster centroids);
步骤二:对于数据集中的每一个数据,按照距离????个中心点的距离,将其与距离最近的中心点关联起来,与同一个中心点关联的所有点聚成一类。
步骤三:计算每一个组的平均值,将该组所关联的中心点移动到平均值的位置。
重复步骤 2-4 直至中心点不再变化。
迭代 1 次:

迭代 3 次:

迭代 10 次:

K-均值算法很便利地将数据分为许多不同组,即使在没有非常明显区分的组群的情况下也可以:

优化目标
K-均值最小化问题,是要最小化所有的数据点与其所关联的聚类中心点之间的距离之和,因此 K-均值的代价函数(又称畸变函数 Distortion function)为:

用????1,????2,...,???????? 来表示聚类中心,用????(1),????(2),...,????(????)来存储与第????个实例数据最近的聚类中心的索引。
我们的优化目标便是找出使得代价函数最小的 ????(1),????(2),...,????(????)和????1,????2,...,????????:

K-均值迭代算法中,第一个循环(分组)是用于减小????(????)引起的代价,而第二个循环(调整中心点)则是用于减小????????引起的代价。迭代的过程一定会是每一次迭代都在减小代价函数,不然便是出现了错误。
随机初始化
在运行 K-均值算法的之前,我们首先要随机初始化所有的聚类中心点:
1. 应该选择???? < ????,即聚类中心点的个数要小于所有训练集实例的数量
2. 随机选择????个训练实例作为聚类中心
K-均值的一个问题在于,它有可能会停留在一个局部最小值处,而这取决于初始化的情况。

为了解决这个问题,我们通常需要多次运行 K-均值算法,每一次都重新进行随机初始化,最后再比较多次运行 K-均值的结果,选择代价函数最小的结果。这种方法在????较小的时候( 2--10)还是可行的,但是如果????较大,这么做也可能不会有明显地改善。
选择聚类数
没有所谓最好的选择聚类数的方法,通常是需要根据不同的问题,人工进行选择的。
选择的时候思考运用 K-均值算法聚类的动机是什么,然后选择能最好服务于该目的标聚类数。
选择聚类数目的方法时, 有一个可能会谈及的方法叫作“肘部法则”,也就是K和代价函数的关系:

我们可能会得到一条类似于这样的曲线。 像一个人的肘部。应用“肘部法则”的时候, 如果得到了一个像上面类似的图, 那么这将是一种用来选择聚类个数的合理方法。
相似度/距离计算方法
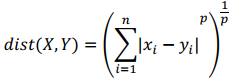
(1). 闵可夫斯基距离 Minkowski/(其中欧式距离: ???? = 2)

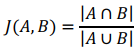
(2). 杰卡德相似系数(Jaccard),一般用于计算两个集合的相似度:
![]()
(3). 余弦相似度(cosine similarity),一般是计算两个向量的相似度:
????维向量????和????的夹角记做????,根据余弦定理,其余弦值为:

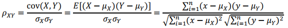
(4). Pearson 皮尔逊相关系数,一般是计算两个向量的相似度:

Pearson 相关系数即将????、 ????坐标向量各自平移到原点后的夹角余弦。
聚类的衡量指标
(1). 均一性: ????
类似于精确率,一个簇中只包含一个类别的样本,则满足均一性。其实也可以认为就是正确率(每个聚簇中正确分类的样本数占该聚簇总样本数的比例和)
(2). 完整性: ????
类似于召回率,同类别样本被归类到相同簇中,则满足完整性(每个聚簇中正确分类的样本数占该类型的总样本数比例的和)
(3). V-measure:
均一性和完整性的加权平均:
![]()
(4). 轮廓系数
样本 ???? 的轮廓系数: ????(????)
簇内不相似度:计算样本????到同簇其它样本的平均距离为????(????),应尽可能小。
簇间不相似度:计算样本????到其它簇????????的所有样本的平均距离????????????,应尽可能大。
![]()
????(????) 越接近 1 表示样本 ???? 聚类越合理;
????(????) 越接近-1,表示样本 ???? 应该分类到另外的簇中;
????(????) 近似为 0,表示样本 ???? 应该在边界上;
所有样本的????(????)的均值被成为聚类结果的轮廓系数。
(5). ARI
数据集????共有????个元素, 两个聚类结果分别是:
![]()
????和????的元素个数为:
![]()

记: ???????????? = |???????? ∩ ????????|

最后
以上就是秀丽小蘑菇最近收集整理的关于机器学习-吴恩达-笔记-9-聚类的全部内容,更多相关机器学习-吴恩达-笔记-9-聚类内容请搜索靠谱客的其他文章。
发表评论 取消回复