问题:
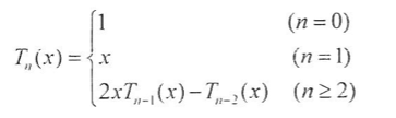
已知:切比雪夫多项式:

编写一程序,输入n,x,并输出0~n的所有Tn(x)的值。
解析:
本题用递归函数求解,没什么难度,代码如下:
#include <stdio.h>
int T(int n,int x){
int k;
if(n==0)
k=1;
else if(n==1)
k=x;
else
k=2*x*T(n-1,x)-T(n-2,x);
return k;
}
int main() {
int n,x;
printf("Input n,x(n>=0):");
scanf("%d,%d",&n,&x);
if(n<0) {
printf("error!");
return 0;
}
printf("%d",T(n,x));
return 0;
}
扩展
- 概述
切比雪夫多项式是以 俄国著名数学家切比雪夫(Tschebyscheff,又译契贝雪夫等,1821一1894)的名字命名的重要的特殊函数,第一类切比雪夫多项式Tn和第二类切比雪夫多项式Un(简称切比雪夫多项式)。源起于多倍角的余弦函数和正弦函数的展开式,是与棣美弗定理有关、以递归方式定义的多项式序列,是计算数学中的一类特殊函数,对于注入连续函数逼近问题,阻抗变换问题等等的数学、物理学、技术科学中的近似计算有着非常重要的作用 - 源来
切比雪夫多项式在逼近理论中有重要的应用。这是因为第一类切比雪夫多项式的根(被称为切比雪夫节点)可以用于多项式插值。相应的插值多项式能最大限度地降低龙格现象,并且提供多项式在连续函数的最佳一致逼近。 - 基本性质
对每个非负整数n, Tn(x) 和 Un(x) 都为 n次多项式。 并且当n为偶(奇)数时,它们是关于x 的偶(奇)函数, 在写成关于x的多项式时只有偶(奇)次项 [1] 。
n 1时,Tn的最高次项系数为 ,n=0时系数为1。

最后
以上就是兴奋蜻蜓最近收集整理的关于【C语言编程】切比雪夫多项式的全部内容,更多相关【C语言编程】切比雪夫多项式内容请搜索靠谱客的其他文章。
本图文内容来源于网友提供,作为学习参考使用,或来自网络收集整理,版权属于原作者所有。
发表评论 取消回复