确知信号
确知信号是指其取值在任何时间都是确定的和可预知的信号,通常可以用数学公式表示它在任何时间的取值。
能量信号
能量信号的能力是个正的有限值,平均功率为零;
功率信号
功率信号的平均功率是个正的有限值,能量近似无穷大
确知信号的频率特性
功率信号的频谱
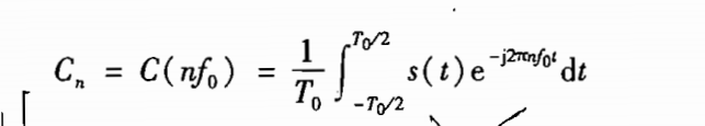
设s(t)是周期为T0的周期信号,则它的频谱如下:

由傅里叶级数理论可知,周期性信号可展开成如下的形式:

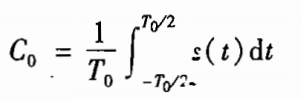
当n=0时,C0是信号s(t)的时间平均值,即直流分量,如下所示。

一般来说Cn是一个复数,代表在频率nf0上信号分类的复振幅,写作:

最后
以上就是凶狠小兔子最近收集整理的关于通信原理II - 功率信号和能力信号(确知信号)确知信号确知信号的频率特性的全部内容,更多相关通信原理II内容请搜索靠谱客的其他文章。
本图文内容来源于网友提供,作为学习参考使用,或来自网络收集整理,版权属于原作者所有。
发表评论 取消回复