本文实例为大家分享了OpenGL绘制贝塞尔曲线的具体代码,供大家参考,具体内容如下
最终效果图:
通过3个点形成一条贝塞尔曲线

1. 鼠标问题
在使用鼠标获取坐标的时候,要知道鼠标获取的坐标和屏幕坐标是不同的;
openGL使用右手坐标
从左到右,x递增
从下到上,y递增
从远到近,z递增
而鼠标是从左到右增x,同时从上到下也是增y
所以在求 y 的时候,用(屏幕大小-y)来获取
2. 绘制
setpoint 用来绘制点
setline 用来绘制线
setBezier 用来绘制贝塞尔曲线
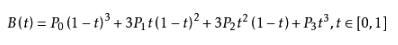
其中公式的意义可以参考百科:

实际绘制的时候就是不断的增加t,求出下一点的值然后将两个链接起来,然后再将下一个点作为起点,再求出下下一个点
Api解释在代码中
#include "GLglut.h"
#include
#include
最后
以上就是悲凉微笑最近收集整理的关于c语言opengl函数,OpenGL绘制贝塞尔曲线的全部内容,更多相关c语言opengl函数内容请搜索靠谱客的其他文章。
本图文内容来源于网友提供,作为学习参考使用,或来自网络收集整理,版权属于原作者所有。
发表评论 取消回复