simulink导出仿真数据
在simulink库中找到To Workspace模块

将To Workspace模块连接要导出的数据,修改成所需要的变量名,这里只导出最终的系统输出,默认变量名为“simout”
运行simulink文件,能得到Scope图像,系统输出数据已导入工作区

双击out变量

双击simout,两列分别为曲线simout的横坐标和纵坐标

在命令行键入:
y=out.simout.Data;
t=out.tout;
% t=out.simout.Time; %也可以这样获取时间
plot(t,y)
即可得到仿真的输出曲线

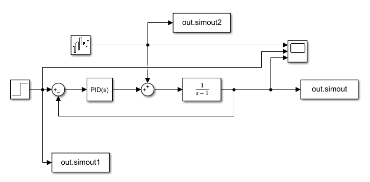
若要同时输出多条曲线数据到工作区

运行得到的out变量里有三条曲线的数据

三个double timeseries类型的变量里都存有Time和Data
y1=out.simout.Data;
y2=out.simout1.Data;
y3=out.simout2.Data;
y=[y1,y2,y3];
t=out.tout;
plot(t,y)
运行上述代码得到:

最后
以上就是善良睫毛膏最近收集整理的关于simulink导出仿真数据simulink导出仿真数据的全部内容,更多相关simulink导出仿真数据simulink导出仿真数据内容请搜索靠谱客的其他文章。
本图文内容来源于网友提供,作为学习参考使用,或来自网络收集整理,版权属于原作者所有。
发表评论 取消回复