雷达导论专栏总目录链接:
https://blog.csdn.net/lightninghenry/article/details/111316938
大家好!上一期讲到本系列的文章将以《机载雷达导论》(第三版)带领大家入门雷达领域,上一期引言主要对这本教程的主体层次结构进行了解读和翻译,不知道大家有没有找到第二版中文的书籍或第三版的英文原本。话不多说,正式开始。
首先我们看一下第一篇,第一篇共50页内容,分为3章,如下图所示,分别是基本概念、实现方法、典型应用。

本期内容介绍第一章—基本概念,先看下第一章的层次结构,如下图所示。

1. 基本概念
1.1 回波
1.2 无线电探测
1.3 测定目标位置
1.3.1 测量距离
1.3.2 测量方位
1.3.3 自动跟踪
1.4 多普勒效应
1.5 成像
1.5.1 SAR(合成孔径雷达)成像
1.6 总结
这几个二级标题很有意思,大家都知道汉语的“雷达”这个词是音译词,由英语的RADAR翻译过来,然而RADAR这个单词也是20世纪新造的,它其实是4个单词的缩写,即radio detection and ranging。1.2节和1.3节的名称合起来其实就是解释了RADAR的含义。大家注意range用了ing的形式,这里range是个动词,大家要广义上来理解它,不能仅仅理解为是测距,它其实涵盖了1.3节的所有内容。世界上有很多公司和研究所都用radio(无线电) xxx来取名字,现在再看到这个词的时候你就应当明白这家公司/研究所是搞雷达的,而不是做收音机的。1.2到1.4节建议好好读一遍,这里面已经讲明了雷达最最基本的原理,并且解释了几个专业词汇。
在第一章末,作者给出了扩展阅读的文献,我贴在这里。作者不仅给出了技术背景类的文献,还给出了历史背景类的文献,值得国内的作者学习。

读完第一章,作者提了几个问题,这几个问题包括上面的扩展阅读都是第三版新增的,问题如下:

每章的问题原书作者只为计算题给出了答案,例如只有上图中第3题的答案,并且没有详细的计算过程,其他问题均没有给出答案。所以这里我为这些问题一一作答。
1. 构成雷达系统的五大要素是什么?
答:如下图所示。分别是发射机、接收机、发射天线、接收天线、显示器。
2. PRF和PRI的含义是什么,它们之间有什么关系?
答:PRF—pulse repetition frequency,脉冲重复频率;
PRI—pulse repetition interval,脉冲重复间隔,下图中的T就是PRI。
PRF=1/PRI。
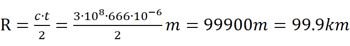
3. 设雷达探测到一个目标的往返时间为666微秒,求目标距离雷达有多远?(c为光速)
答:目标距离
4. 什么情况下使用边扫描边跟踪模式,什么情况下使用单目标跟踪模式?
答:1)需要持续对多个目标进行持续跟踪时,使用边扫描边跟踪模式,如图1-16所示,就是边扫描边跟踪模式的一种典型应用情况,机载雷达的波束从左到右周期重复的扫,前方有多个目标,需要连续快速发射多枚导弹,这时候就要使用边扫描边跟踪模式。
2)需要精确预测目标的航向,得到目标的航迹时,使用单目标跟踪模式。下图中飞机正在进行空中加油,飞机要飞到加油机旁边的时候就要对加油机开启单目标跟踪模式。另外导弹在末制导阶段,为了精确制导,其弹载雷达也是单目标跟踪模式。
另外,现代雷达大部分都是电扫雷达,很灵活,一部雷达既可以使用边扫描边跟踪模式,也可以使用单目标跟踪模式。旧式的机扫雷达则很难做到这一点。
5. 列举3种可以用于提高跟踪雷达系统角精度的技术。
答:1)圆锥扫描。天线波束中心轴围绕定向轴(瞄准线)做小范围的圆锥扫描,如果目标在瞄准线上则误差为0,如果目标偏离瞄准线,则回波的幅度将成起伏变化,形成幅度调制,回波幅度最小值的点即为误差方向,驱动天线波束往这个方向移动即可实现较高精度的跟踪。这种技术目前只有很老的雷达才用了。
2)比幅单脉冲
3)比相单脉冲
上图为比相单脉冲的基本原理,后面的章节还会有详细介绍,这里就不展开说了。这3种技术都是很经典的方法,后两种技术目前还有很多雷达在用,当然还有几种先进的技术,后面再说。
6. 多普勒频率(或径向速度)是如何被雷达系统测量的?
答:首先明确一点,雷达波的传播速度是光速,而目标与雷达的相对速度远小于光速,所以多普勒频移动非常小,仅仅表现为回波中脉冲间的相位移动。多普勒频率就是通过测量脉冲间的相位变化间接地测量出来的。具体的方法后面的章节会有详细的介绍。
7. 在雷达成像的过程中,可以用于产生高横向分辨率的技术是什么?
答:首先,纵向分辨率主要由脉宽决定,横向分辨率由主要波束宽度决定。通过脉冲压缩等技术可以提高纵向分辨率。通过提供雷达的工作频率或加大天线有效口径可以改进横向分辨率。
然而工作频率越大,雷达波在空气中传播的衰减越大,口径也受雷达的载体和成本所限制。所以实际中行之有效的方法是使用SAR(synthetic aperture radar,合成孔径雷达),从名称就可以看出,其实是变相地加大了天线的有效口径。下图是聚束SAR的原理图,SAR会在后面有专门一篇来介绍。
本次的主要更新内容就到这里了,附一张聚束SAR成出的图像(图1-31),相信没见过的朋友一定好奇雷达成出的像是什么样的。
|
英国巨石阵 |

下图是谷歌地球上找到卫星图(光学图),大家可以对照着看看。

最后
以上就是喜悦背包最近收集整理的关于雷达导论PART I.1 基本概念 2020-1-18的全部内容,更多相关雷达导论PART内容请搜索靠谱客的其他文章。







发表评论 取消回复