什么是整周期采样?
假设正弦信号的频率f0是△f的整数倍,即有f0=a△f,a是整数,满足这一条件采得的数据称为整周期采样。把这一条件再进一步展开,可得
f0/(fs/N)=a
这说明在已知采样频率fs、数据长度N及正弦信号频率f0下,当满足上式时,该数据对f0信号是整周期采样。
在信号处理中,经常会遇到经窗函数截断以后,有的没有发生泄漏,但有的发生了泄漏。
案例、有一个余弦信号,信号频率30Hz,信号为x(t)=cos(2π×30t),采样频率fs=128Hz,样本长度分别取N=128和N=100,在FFT后作谱图并比较谱图中的差别。程序分两部分,程序如下:
clear all; clc; close all;
fs=128; % 采样频率
% 第一部分
N=128; % 信号长度
t=(0:N-1)/fs; % 时间序列
y=cos(2*pi*30*t); % 余弦信号
Y=fft(y,N); % FFT
freq=(0:N/2)*fs/N; % 按式(2-2-7)设置频率刻度
n2=1:N/2+1; % 计算正频率的索引号
Y_abs=abs(Y(n2))*2/N; % 给出正频率部分的频谱幅值
% 作图
subplot 211; stem(freq,Y_abs,'k')
xlabel('频率(Hz)'); ylabel('幅值');
title('(a) Fs=128Hz, N=128')
axis([10 50 0 1.2]);
% 第二部分
N1=100; % 信号长度
t1=(0:N1-1)/fs; % 时间序列
y1=cos(2*pi*30*t1); % 余弦信号
Y1=fft(y1,N1); % FFT
freq1=(0:N1/2)*fs/N1; % 按式(2-2-7)设置频率刻度
n2=1:N1/2+1; % 计算正频率的索引号
Y_abs1=abs(Y1(n2))*2/N1; % 给出正频率部分的频谱幅值
% 作图
subplot 212; stem(freq1,Y_abs1,'k')
xlabel('频率(Hz)'); ylabel('幅值');
title('(b) Fs=128Hz, N=100')
axis([10 50 0 1.2]); hold on
line([30 30],[0 1],'color',[.6 .6 .6],'linestyle','--');
plot(30,1,'ko','linewidth',5)
set(gcf,'color','w');
运行结果如下:

在程序两部分中用相同的信号,中心频率f0=30,采样频率fs=128,差别仅是FFT的长。在N=128的谱图上只在30Hz处有一条谱线,其他频点的幅值都为0;而在N=100的谱图上有明显的泄漏现象,谱线用黑实线表示。最大两根谱线在30Hz两侧,图中用虚线和黑圈点表示了30Hz的频率点。为什么当N=128时FFT后没有泄漏,而当N=100时FFT后就有泄漏?
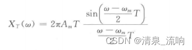
分析:可知在加矩形窗之后,单一频率信号的频谱图表达式为

已不是一个单一的δ函数,而是有泄漏的存在。设信号是频率为f0,当取信号为整周期采样时,信号的频率f0=a△f,a=k,f0将与某一条谱线相重合,如同程序第一部分表示的那样,即第k条谱线频率为f0。整周期采样后得到的幅值谱图如图(a)和下图所示。

在整周期采样后得到的XT(w),一样存在着泄漏的可能性,但由于信号频率f0与第k条谱线重合,k±i(i为整数值)的任意谱线正好落在XT(w)的零点上,所以在谱图中就没有显示泄漏现象。
当取信号为非整周期采样时,信号的频率f0不与FFT后某一条谱线重合,而是像案例的程序第二部分表示的那样,f0落在两条谱线的中间,例如落在第k和k+1条谱线之间,其中第条谱线是局部极大值,如图(b)和下图所示。

在非整周期采样时得到的XT(w),一样存在着泄漏的可能性,由于信号频率f0在两条谱线之间,第k条谱线虽是局部的最大值,但不与f0相重合,则k±i(i为整数值)的任意谱线都是XT(w)函数上的非零值,所以在谱图中存在泄漏现象。
为了防止泄漏,对于单频信号可以调整采样频率使之构成整周期采样(例如在电力监测设备中,有的会用锁相技术跟踪信号频率以调整采样频率),但大多数实际信号处理中的信号不是单频(或单频+谐波),而是多频率的,所以泄漏是难免的。在有泄漏的情形中只能想方设法减小泄漏的影响,比如利用窗函数。虽然上述已在截断的讨论中加了矩形窗函数,但矩形窗函数的泄漏是最大的,还有其他窗函数能更好地减少泄漏。
参考文献:MATLAB数字信号处理85个实用案例精讲——入门到进阶;宋知用(编著)
最后
以上就是任性蜜蜂最近收集整理的关于对于单频信号出现频谱泄露的解决办法——整周期采样的全部内容,更多相关对于单频信号出现频谱泄露内容请搜索靠谱客的其他文章。
发表评论 取消回复