我是靠谱客的博主 自然月饼,这篇文章主要介绍【计算机网络】知识梳理(三)数据链路层3.1使用点对点信道的数据链路层3.2点对点协议PPP3.3使用广播信道的数据链路层3.4扩展的以太网3.5高速以太网,现在分享给大家,希望可以做个参考。



3.1使用点对点信道的数据链路层
3.1.1数据链路和帧
链路(link)是一条无源的点到点的物理线路段,中间没有任何其他的交换结点。
一条链路只是一条通路的一个组成部分。
数据链路(data link)除了物理线路外,还必须有通信协议来控制这些数据的传输。若把实现这些协议的硬件和软件加到链路.上,就构成了数据链路。
1.现在最常用的方法是使用适配器(即网卡)来实现这些协议的硬件和软件。
2.一般的适配器都包括了数据链路层和物理层这两层的功能。
也有人采用另外的术语。这就是把链路分为物理链路和逻辑链路。
物理链路就是上面所说的链路。
逻辑链路就是上面的数据链路,是物理链路加上必要的通信协议。
早期的数据通信协议曾叫做通信规程(procedure)。 因此在数据链路层,规程和协议是同义语。
常常在两个对等的数据链路层之间画出一个数字管道,而在这条数字管道上传输的数据单位是帧。
数据链路层不必考虑物理层如何实现比特传输的细节。甚至还可以更简单地设想好像是沿着两个数据链路层之间的水平方向把帧直接发送到对方。
3.1.2三个基本问题
数据链路层协议有许多种,但有三个基本问题则是共同的。这3三个基本问题是:
1.封装成帧
封装成帧(framing)就是在一段数据的前后分别添加首部和尾部,然后就构成了一个帧。
首部和尾部的一个重要作用就是进行帧定界。
当数据是由可打印的ASCII码组成的文本文件时,帧定界可以使用特殊的帧定界符。
控制字符SOH (Start Of Header)放在一帧的最前面,表示帧的首部开始。另一个控制字符EOT (End Of Transmission)表示帧的结束。
2.透明传输
解决透明传输问题
解决方法:字节填充(byte stuffing)或字符填充(characterstuffing)。
发送端的数据链路层在数据中出现控制字符"SOH"或"EOT"的前面插入一个转义字符"ESC" (其十六进制编码是1B)。
接收端的数据链路层在将数据送往网络层之前删除插入的转义字符。
如果转义字符也出现在数据当中,那么应在转义字符前面插入一个转
义字符ESC。当接收端收到连续的两个转义字符时,就删除其中前面的一个。
“透明”
指某一个实际存在的事物看起来却好像不存在一样。
“在数据链路层透明传送数据”表示无论发送什么样的比特组合的数据,这些数据都能够按照原样没有差错地通过这个数据链路层。用“字节填充”法解决透明传输的问题。
3.差错控制
在一段时间内,传输错误的比特占所传输比特总数的比率称为误码率BER (Bit Error Rate)。
误码率与信噪比有很大的关系。
为了保证数据传输的可靠性,在计算机网络传输数据时,必须采用各种差错检测措施。
在数据链路层传送的帧中,广泛使用了循环冗余检验CRC的检错技术。循环冗余检验的原理
冗余码的计算
用二进制的模2运算进行2^n乘M的运算,这相当于在M后面添加n个0。
得到的(k + n)位的数除以事先选定好的长度为(n + 1)位的除数P,得出商是Q而余数是R,余数R比除数P少1位,即R是n位。,
将余数R作为冗余码拼接在数据M后面,一起发送出去。接收端对收到的每一帧进行CRC检验
●(1)若得出的余数R= 0,则判定这个帧没有差错,就接受(accept)。
●(2)若余数R≠0,则判定这个帧有差错,就丢弃。
●但这种检测方法并不能确定究竟是哪一个或哪几个比特出现了差错。
●只要经过严格的挑选,并使用位数足够多的除数P,那么出现检测不
到的差错的概率就很小很小。
帧检验序列FCS
在数据后面添加上的冗余码称为帧检验序列FCS (Frame CheckSequence)。
循环冗余检验CRC和帧检验序列FCS并不等同。
1. CRC是一-种常用的检错方法,而FCS是添加在数据后面的冗余码。
2. FCS可以用CRC这种方法得出,但CRC并非用来获得FCS的唯一方法。应当注意
仅用循环冗余检验CRC差错检测技术只能做到无差错接受(accept)。
“无差错接受”是指: "凡是接受的帧(即不包括丢弃的帧) ,我们都能以非常接近于1的概率认为这些帧在传输过程中没有产生差错”
也就是说:“凡是接收端数据链路层接受的帧都没有传输差错” (有差错的帧就丢弃而不接受)
单纯使用CRC差错检测技术不能实现“无差错传输”或"可靠传输”。应当明确,“无比特差错” 与“无传输差错”是不同的概念。
在数据链路层使用CRC检验,能够实现无比特差错的传输,但这还不是可靠传输。
要做到"无差错传输”(即发送什么就收到什么) 就必须再加.上确认和重传机制。
本章介绍的数据链路层协议都不是可靠传输的协议。
3.2点对点协议PPP
3.2.1PPP协议的特点
对于点对点的链路,目前使用得最广泛的数据链路层协议是点对点协议PPP (Point-to-Point Protocol)。
PPP协议在1994年就已成为互联网的正式标准。
1. PPP协议应满足的需求
简单——这是首要的要求。
封装成帧——必须规定特殊的字符作为帧定界符。
透明性——必须保证数据传输的透明性。
多种网络层协议——能够在同一条物理链路.上同时支持多种网络层协议。
多种类型链路——能够在多种类型的链路上运行。
差错检测——能够对接收端收到的帧进行检测, 并立即丢弃有差错的帧。检测连接状态——能够及时自动检测出链路是否处于正常工作状态。
最大传送单元——必须对每一种类型的点对点链路设置最大传送单元MTU的标准默认值,促进各种实现之间的互操作性。
网络层地址协商——必须提供一种机制使通信的两个网络层实体能够通过协商知道或能够配置彼此的网络层地址。
数据压缩协商——必须提供一 种方法来协商使用数据压缩算法。
2. PPP协议不需要的功能
纠错
流量控制
序号
多点线路
半双工或单工链路3. PPP协议的组成
PPP协议有三个组成部分:
1. 一个将IP数据报封装到串行链路的方法。
2.链路控制协议LCP (Link Control Protocol)。
3.网络控制协议NCP (Network Control Protocol)。
3.2.2 PPP 协议的帧格式
PPP帧的首部和尾部分别为4个字段和2个字段。
标志字段F = 0x7E (符号“0x"表示后面的字符是用十六进制表示。十六进制的7E的二进制表示是01111110)
地址字段A只置为0xFF。地址字段实际上并不起作用。
控制字段C通常置为0x03。
PPP是面向字节的,所有的PPP帧的长度都是整数字节。透明传输问题
当PPP用在异步传输时,就使用-种特殊的字符填充法。
当PPP用在同步传输链路时,协议规定采用硬件来完成比特填充(和HDLC的做法一样)。字符填充
将信息字段中出现的每一个0x7E字节转变成为2字节序列(0x7D, 0x5E)。
若信息字段中出现-个0x7D的字节,则将其转变成为2字节序列(0x7D, 0x5D)。
若信息字段中出现ASCII码的控制字符(即数值小于0x20的字符) ,
则在该字符前面要加入一个0x7D字节,同时将该字符的编码加以改变。
零比特填充
PPP协议用在SONET/SDH链路时,使用同步传输(一 连串的比特连续传送)。这时PPP协议采用零比特填充方法来实现透明传输。
在发送端,只要发现有5个连续1,则立即填入一个0。
接收端对帧中的比特流进行扫描。每当发现5个连续1时,就把这5个连续1后的一个0删除。不提供使用序号和确认的可靠传输
PPP协议之所以不使用序号和确认机制是出于以下的考虑:
1.在数据链路层出现差错的概率不大时,使用比较简单的PPP协议较为合理。
2.在因特网环境下,PPP的信息字段放入的数据是IP数据报。数据链路层的可靠传输并不能够保证网络层的传输也是可靠的。
3.帧检验序列FCS字段可保证无差错接受。
3.2.3 PPP 协议的工作状态
3.3使用广播信道的数据链路层
3.3.1局域网的数据链路层
局域网最主要的特点是:
1.网络为一个单位所拥有;
2.地理范围和站点数目均有限。
局域网具有如下主要优点:
1.具有广播功能,从一个站点可很方便地访问全网。局域网上的主机可共享连接在局域网上的各种硬件和软件资源。
2.便于系统的扩展和逐渐地演变,各设备的位置可灵活调整和改变。
3.提高了系统的可靠性、可用性和生存性。局域网拓扑结构
局域网传输媒体
共享信道带来的问题
使用一对多的广播通信方式。
问题:若多个设备在共享的广播信道.上同时发送数据,则会造成彼此干扰,导致发送失败。
媒体共享技术
静态划分信道
1.频分复用
2.时分复用
3.波分复用
4.码分复用
动态媒体接入控制(多点接入)
1.随机接入
2.受控接入,如多点线路探询(polling),或轮询。1.以太网的两个标准
DIX Ethernet V2是世界上第一个局域网产品(以太网)的规约。
IEEE 802.3是第一个IEEE的以太网标准。
DIX Ethernet V2标准与IEEE的802.3标准只有很小的差别,因此可以将802.3局域网简称为"以太网”
严格说来,"以太网” 应当是指符合DIX Ethernet V2标准的局域网。
数据链路层的两个子层
为了使数据链路层能更好地适应多种局域网标准,IEEE 802委员会就将局域网的数据链路层拆成两个子层:
1.逻辑链路控制LLC (Logical Link Control)子层;
2.媒体接入控制MAC (Medium Access Control)子层。
与接入到传输媒体有关的内容都放在MAC子层,而LLC子层则与传输媒体无关。
不管采用何种协议的局域网,对LLC子层来说都是透明的。
局域网对LLC子层是透明的
一般不考虑LLC子层
由于TCP/IP体系经常使用的局域网是DIX Ethernet V2而不是802.3标准中的几种局域网,因此现在802委员会制定的逻辑链路控制子层LLC (即802.2标准)的作用已经不大了。
很多厂商生产的适配器.上就仅装有MAC协议而没有LLC协议。2.适配器的作用
网络接口板又称为通信适配器(adapter)或网络接口卡NIC(Network Interface Card),或“网卡”。
适配器的重要功能:
1.进行串行/并行转换。
2.对数据进行缓存。
3.在计算机的操作系统安装设备驱动程序。
4.实现以太网协议。
3.3.2 CSMA/CD协议
最初的以太网是将许多计算机都连接到一根总线.上。易于实现广播通信。当初认为这样的连接方法既简单又可靠,因为总线上没有有源器件。
为了实现一对一通信,将接收站的硬件地址写入帧首部中的目的地址字段中。仅当数据帧中的目的地址与适配器的硬件地址一致时,才能接收这个数据帧。
总线也有缺点。若多台计算机或多个站点同时发送时,会产生发送碰撞或冲突,导致发送失败。
以太网采取了两种重要的措施
为了通信的简便,以太网采取了两种重要的措施:
(1)采用较为灵活的无连接的工作方式
不必先建立连接就可以直接发送数据。
对发送的数据帧不进行编号,也不要求对方发回确认。
这样做的理由是局域网信道的质量很好,因信道质量产生差错的概率是很小的。以太网提供的服务
以太网提供的服务是不可靠的交付,即尽最大努力的交付。
当目的站收到有差错的数据帧时就丢弃此帧,其他什么也不做。差错的纠正由高层来决定。
如果高层发现丢失了一些数据而进行重传,但以太网并不知道这是一个重传的帧,而是当作一个新的数据帧来发送。如何避免同时发送产生的碰撞?采用CSMA/CD
以太网采取了两种重要的措施
(2)以太网发送的数据都使用曼彻斯特(Manchester)编码
曼彻斯特编码缺点是:它所占的频带宽度比原始的基带信号增加了一倍。以太网提供的服务
CSMA/CD含义:载波监听多点接入/碰撞检测(Carrier SenseMultiple Access with Collision Detection)。
多点接入”表示许多计算机以多点接入的方式连接在一根总线上。
“载波监听”是指每-个站在发送数据之前先要检测一下总线上是否有其他计算机在发送数据,如果有,则暂时不要发送数据,以晚发生碰撞。
总线上并没有什么“载波”。因此,“载波监听”就是用电子技术检测总线上有没有其他计算机发送的数据信号。“碰撞检测”就是计算机边发送数据边检测信道.上的信号电压大小。每一个正在发送数据的站,一旦发现总线上出现了碰撞,就要立即
停止发送,免得继续浪费网络资源,然后等待一段随机时间后再次发送。最短有效帧长
如果发生冲突,就-定是在发送的前64字节之内。
由于检测到冲突就立即中止发送,这时已经发送出去的数据一定小于64字节。
以太网规定了最短有效帧长为64字节,凡长度小于64字节的帧都是由于冲突而异常中止的无效帧。CSMA/CD协议的重要特性
使用CSMA/CD协议的以太网不能进行全双工通信而只能进行双向交替通信(半双工通信)。
每个站在发送数据之后的一小段时间内,存在着遭遇碰撞的可能性。
这种发送的不确定性使整个以太网的平均通信量远小于以太网的最高数据率。
3.3.3使用集线器的星形拓扑
传统以太网最初是使用粗同轴电缆,后来演进到使用比较便宜的细同轴电缆,最后发展为使用更便宜和更灵活的双绞线。
采用双绞线的以太网采用星形拓扑,在星形的中心则增加了一种可靠性非常高的设备,叫做集线器(hub)。
星形以太网10BASE-T
使用无屏蔽双绞线,采用星形拓扑。
每个站需要用两对双绞线,分别用于发送和接收。
双绞线的两端使用RJ-45插头。
集线器使用了大规模集成电路芯片,因此集线器的可靠性提高。
10BASE-T的通信距离稍短,每个站到集线器的距离不超过100m。10BASE-T以太网在局域网中的统治地位
这种10 Mbit/s速率的无屏蔽双绞线星形网的出现,既降低了成本,又提高了可靠性。具有很高的性价比。
10BASE-T双绞线以太网的出现,是局域网发展史上的一个非常重要的里程碑,它为以太网在局域网中的统治地位奠定了牢固的基础。
从此以太网的拓扑就从总线形变为更加方便的星形网络,而以太网也就在局域网中占据了统治地位。
集线器的一些特点
集线器是使用电子器件来模拟实际电缆线的工作,因此整个系统仍然像一个传统的以太网那样运行。
使用集线器的以太网在逻辑上仍是一个总线网,各工作站使用的还是CSMA/CD协议,并共享逻辑上的总线。
集线器很像一个多接口的转发器,工作在物理层。
集线器采用了专门的芯片,进行自适应串音回波抵消,减少了近端串音。
3.3.4以太网的信道利用率
多个站在以太网上同时工作就可能会发生碰撞。
当发生碰撞时,信道资源实际,上是被浪费了。因此,当扣除碰撞所造成的信道损失后,以太网总的信道利用率并不能达到100%。
假设t是以太网单程端到端传播时延。则争用期长度为2τ,即端到端传播时延的两倍。检测到碰撞后不发送3 F扰信号。
设帧长为L (bit),数据发送速率为C (bit/s),则帧的发送时间为To= L/C(s)。以太网信道被占用的情况
一个站在发送帧时出现了碰撞。经过一个争用期2r后,可能又出现了碰撞。这样经过若千个争用期后,一个站发送成功了。假定发送帧需要的时间是To
注意到,成功发送一个帧需要占用信道的时间是To+ τ,比这个帧的发送时间要多一个单程端到端时延τ。
这是因为当一个站发送完最后一个比特时,这个比特还要在以太网上传播。
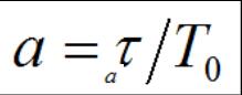
在最极端的情况下,发送站在传输媒体的- -端,而比特在媒体上传输到另一端所需的时间是τ。参数a与利用率
要提高以太网的信道利用率,就必须减小τ与To 之比。
在以太网中定义了参数a,它是以太网单程端到端时延τ与帧的发
送时间To 之比:
a→0,表示发生碰撞就立即可以检测出来,并立即停止发送, 因
而信道利用率很高。
a越大,表明争用期所占的比例增大,每发生一次碰撞就浪费许多信
道资源,使得信道利用率明显降低。对以太网参数a的要求
为提高利用率,以太网的参数a的值应当尽可能小些。对以太网参数a的要求是:
1.当数据率一定时,以太网的连线的长度受到限制,否则τ的数值会太大。
2.以太网的帧长不能太短,否则To 的值会太小,使a值太大。
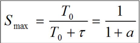
信道利用率的最大值S,
max在理想化的情况下,以太网.上的各站发送数据都不会产生碰撞(这显然已经不是CSMA/CD,而是需要使用一种特殊的调度方法),即总线一旦空闲就有某一个
站立即发送数据。发送一帧占用线路的时间是To + τ ,而帧本身的发送时间是To。于是,我们可计算出理想情况下的极限信道利用率Smax为:
只有当参数:
a远小于1才能得到尽可能高的极限信道利用率。据统计,当以太网的利用率达到30%时就已经处于重载的情况。很多的网络容量被网上的碰撞消耗掉了。
3.3.5 以太网的MAC层
1. MAC层的硬件地址
在局域网中,硬件地址又称为物理地址,或MAC地址。
802标准所说的"地址”严格地讲应当是每一个站的"名字”或标识符。
但鉴于大家都早已习惯了将这种48位的"名字”称为"地址”,所以本书也采用这种习惯用法,尽管这种说法并不太严格。
请注意,如果连接在局域网上的主机或路由器安装有多个适配器,那么这样的主机或路由器就有多个"地址”更准确些说, 这种48位”地址”应当是某个接口的标符。48位的MAC地址
IEEE 802标准规定MAC地址字段可采用6字节( 48位)或2字节(16
位)这两种中的一种。
IEEE的注册管理机构RA负责向厂家分配地址字段6个字节中的前三个字节(即高位24位),称为组织唯一标识符。
地址字段6个字节中的后三个字节(即低位24位)由厂家自行指派,称为扩展唯一标识符,必须保证生产出的适配器没有重复地址。单站地址,组地址,广播地址
IEEE规定地址字段的第一字节的最低位为I/G位。I/G 表示Individual / Group。
当I/G位= 0时,地址字段表示一个单站地址。
当I/G位=1时,表示组地址,用来进行多播(以前曾译为组播)
此时,IEEE 只分配地址字段前三个字节中的23位。
当I/G位分别为0和1时,一个地址块可分别生成223个单个站地址和223个组地址。
所有48位都为1时,为广播地址。只能作为目的地址使用。全球管理与本地管理
IEEE把地址字段第一字节的最低第 2位规定为G/L位,表示Global / Local。
当G/L位= 0时,是全球管理(保证在全球没有相同的地址),厂商向IEEE购买的OUI都属于全球管理。
当G/L位= 1时,是本地管理,这时用户可任意分配网络.上的地址。适配器检查MAC地址
●适配器从网络上每收到一个MAC帧就首先用硬件检查MAC帧中的MAC地址。
1.如果是发往本站的帧则收下,然后再进行其他的处理。
2.否则就将此帧丢弃,不再进行其他的处理。
●"发往本站的帧” 包括以下三种帧:
1.单播(unicast)帧(一对一般)
2.广播(broadcast)帧(一对全体)
3.多播(multicast)帧(一对多)适配器检查MAC地址
●所有的适配器都至少能够识别前两种帧,即能够识别单播地址和广播地址。
●有的适配器可用编程方法识别多播地址。
●只有目的地址才能使用广播地址和多播地址。
●以混杂方式(promiscuous mode)工作的以太网适配器只要“听到”有帧在以太网上传输就都接收下来。2. MAC帧的格式
常用的以太网MAC帧格式有两种标准:
1. DIX Ethernet V2标准
2. lEEE的802.3标准
最常用的MAC帧是以太网V2的格式。
![]()
![]()
帧间最小间隔
帧间最小间隔为9.6 μS,相当于96 bit的发送时间。
一个站在检测到总线开始空闲后,还要等待9.6 μs才能再次发送数据。
这样做是为了使刚刚收到数据帧的站的接收缓存来得及清理,做好接收下一帧的准备。
3.4扩展的以太网
3.4.1在物理层扩展以太网
使用光纤扩展.
1.主机使用光纤(通常是一对光纤)和一对光纤调制解调器连接到集线器。
2.很容易使主机和几公里以外的集线器相连接。
使用集线器扩展:将多个以太网段连成更大的、多级星形结构的以太网。
用集线器扩展以太网
优点
1.使原来属于不同碰撞域的以太网.上的计算机能够进行跨碰撞域的通信。
2.扩大了以太网覆盖的地理范围。
缺点
1.碰撞域增大了,但总的吞吐量并未提高。
2.如果不同的碰撞域使用不同的数据率,那么就不能用集线器将它们互连起来。碰撞域(collision domain)又称为冲突域,是指网络中一个站点发出的帧会与其他站点发出的帧产生碰撞或冲突的那部分网络。碰撞域越大,发生碰撞的概率越高。
3.4.2在数据链路层扩展以太网
扩展以太网更常用的方法是在数据链路层进行。
早期使用网桥,现在使用以太网交换机。
网桥与以太网交换机
网桥工作在数据链路层。
它根据MAC帧的目的地址对收到的帧进行转发和过滤。
当网桥收到一个帧时,并不是向所有的接口转发此帧,而是先检查此帧的目的MAC地址,然后再确定将该帧转发到哪一个接口,或把它丢弃。
1990年问世的交换式集线器(switching hub)可明显地提高以太网的性能。
交换式集线器常称为以太网交换机(switch)或第二层交换机(L2 switch),强
调这种交换机工作在数据链路层。
1.以太网交换机的特点
以太网交换机实质.上就是一个多接口的网桥。
通常都有十几个或更多的接口。
每个接口都直接与一个单台主机或另一个以太网交换机相连,并且一般都工作在全双工方式。
以太网交换机具有并行性。
能同时连通多对接口,使多对主机能同时通信。
以太网交换机的接口有存储器,能在输出端口繁忙时把到来的帧进行缓存。
以太网交换机是一种即插即用设备,其内部的帧交换表(又称为地址表)是通过自学习算法自动地逐渐建立起来的。
以太网交换机使用了专用的交换结构芯片,用硬件转发,其转发速率要比使用软件转发的网桥快很多。
以太网交换机的性能远远超过普通的集线器,而且价格并不贵。以太网交换机的优点
用户独享带宽,增加了总容量。![]()
以太网交换机的优点
从共享总线以太网转到交换式以太网时,所有接入设备的软件和硬件、适配器等都不需要做任何改动。
以太网交换机一般都具有多种速率的接口,方便了各种不同情况的用户。以太网交换机的交换方式
存储转发方式
把整个数据帧先缓存后再进行处理。
直通(cut-through)方式
接收数据帧的同时就立即按数据帧的目的MAC地址决定该帧的转发接口,因而提高了帧的转发速度。.
缺点是它不检查差错就直接将帧转发出去,因此有可能也将一些无效帧转发给其他的站。
在某些情况下,仍需要采用基了F软件的存储转发方式进行交换,例如当需要进行线路速率四配、协议转换或差错检测时。
2.以太网交换机的自学习功能
交换机使用了生成树协议
IEEE 802.1D标准制定了一个生成树协议STP (Spanning TreeProtocol)。
其要点是:不改变网络的实际拓扑,但在逻辑上则切断某些链路,使.得从一台主机到所有其他主机的路径是无环路的树状结构,从而消除了兜圈子现象。
3.从总线以太网到星形以太网
早期,以太网采用无源的总线结构。
现在,采用以太网交换机的星形结构成为以太网的首选拓扑。
总线以太网使用CSMA/CD协议,以半双工方式工作。
以太网交换机不使用共享总线,没有碰撞问题,因此不使用CSMA/CD协议,以全双工方式工作。但仍然采用以太网的帧结构。局域网存在的问题
局域网存在的以下几个方面的问题:
1.扩展性
2.安全性
3.可管理性等
采用以太网交换机的星形以太网
每个接口都处于一个独立的碰撞域(或冲突域)中,但所有计算机都处于同一个广播域中。
3.4.3 虚拟局域网
利用以太网交换机可以很方便地实现虚拟局域网VLAN (Virtual LAN)。
IEEE 802.1Q对虚拟局域网VLAN的定义:
虚拟局域网VLAN是由一-些局域网网段构成的与物理位置无关的逻辑组,而这些网段具有某些共同的需求。每一个VLAN的帧都有一-个明确的标识符,指明发送这个帧的计算机是属于哪一个VLAN。
虚拟局域网其实只是局域网给用户提供的一种服务,而并不是一种新型局域网。
由于虚拟局域网是用户和网络资源的逻辑组合,因此可按照需要将有关设备和资源非常方便地重新组合,使用户从不同的服务器或数据库中存取所需的资源。虚拟局域网(VLAN)技术具有以下主要优点:
1.改善了性能
2.简化了管理
3.降低了成本.
4.改善了安全性划分虚拟局域网的方法
基于交换机端口
基于计算机网卡的MAC地址
基于协议类型
基于IP子网地址
基于高层应用或服务
基于交换机端口的方法
最简单、也是最常用的方法。
属于在第一层划分虚拟局域网的方法。
缺点:不允许用户移动。
基于计算机网卡的MAC地址的方法
根据用户计算机的MAC地址划分虚拟局域网。
属于在第二层划分虚拟局域网的方法。
允许用户移动。
缺点:需要输入和管理大量的MAC地址。如果用户的MAC地址改变了,则需要管理员重新配置VLAN。![]()
基于协议类型的方法
根据以太网帧的第三E个字段"类型"字段确定该类型的协议属于哪一个虚拟局域网。
属于在第二层划分虚拟局域网的方法。基于IP子网地址的方法
根据以太网帧的第三E个字段"类型”字段和IP分组首部中的源IP地址字段确定该IP分组属于
哪一个虚拟局域网。属于在第三层划分虚拟局域网的方法。
![]()
基于高层应用或服务的方法
根据高层应用或服务、或者它们的组合划分虚拟局域网。
更加灵活,但更加复杂。![]()
虚拟局域网使用的以太网帧格式
IEEE批准了802.3ac 标准,该标准定义了以太网的帧格式的扩展,以歧持虚拟局域网。
虚拟局域网协议允许在以太网的帧格式中插入-个4字节的标识符,称为VLAN标记(tag),用来指明该帧属于哪-个虚拟局域网。
插入VLAN标记得出的帧称为802. 1Q帧或带标记的以太网帧。
![]()
3.5高速以太网
3.5.1 100BASE-T 以太网
速率达到或超过100 Mbit/s的以太网称为高速以太网。100BASE-T在双绞线上传送1 00 Mbit/s基带信号的星形拓扑以太网,仍使用IEEE 802.3的CSMA/CD协议。
100BASE-T以太网又称为快速以太网(Fast Ethernet)。
1995年IEEE已把100BASE-T的快速以太网定为正式标准,其代号为IEEE 802.3u。
100BASE-T以太网的特点
可在全双工方式下工作而无冲突发生。在全双工方式下工作时,不.使用CSMA/CD协议。
MAC帧格式仍然是802.3标准规定的。
保持最短帧长不变,一个网段的最大长度100米。
帧间时间间隔从原来的9.6 μs改为现在的0.96 μs。
100 Mbit/s以太网的三种不同的物理层标准
100BASE-TX
1.使用2对UTP 5类线或屏蔽双绞线STP。
2.网段最大程度: 100米。
100BASE-T4
1.使用4对UTP3类线或5类线。
2.网段最大程度: 100米。
100BASE- FX
1.使用2对光纤。
2.网段最大程度: 2000 米。
3.5.2吉比特以太网
允许在1 Gbit/s下以全双工和半双工两种方式工作。
使用IEEE 802.3协议规定的帧格式。
在半双工方式下使用CSMA/CD协议,全双工方式不使用CSMA/CD协议。
与10BASE-T和100BASE-T技术向后兼容。
吉比特以太网可用作现有网络的主干网,也可在高带宽(高速率)的应用场合中。
吉比特以太网的物理层
使用两种成熟的技术:一种来自现有的以太网,另-种则是美国国
家标准协会ANSI制定的光纤通道FC (Fiber Channel)。
吉比特以太网物理层标准半双工方式工作的吉比特以太网
吉比特以太网工作在半双工方式时,就必须进行碰撞检测。
为保持64字节最小帧长度,以及100米的网段的最大长度,吉比特以太网增加了两个功能:
1.载波延伸(carrier extension)
2.分组突发(packet bursting)载波延伸
使最短帧长仍为64字节(这样可以保持兼容性),同时将争用时间增大为512字节。
凡发送的MAC帧长不足512字节时,就用- -些特殊字符填充在帧的后面,使MAC帧的发送长度增大到512字节。接收端在收到以太网的MAC帧后,要将所填充的特殊字符删除后才向高层交付。
分组突发
当很多短帧要发送时,第一个短帧要采用载波延伸方法进行填充,随后的一些短帧则可一个接一个地发送,只需留有必要的帧间最小间隔即可。这样就形成可一串分组的突发,直到达到1500字节或稍多一些为止。
全双工方式工作的吉比特以太网
当吉比特以太网工作在全双工方式时(即通信双方可同时进行发送和接收数据),不使用载波延伸和分组突发。
3.5.310吉比特以太网和更快的以太网
10吉比特以太网(10GE) 并非把吉比特以太网的速率简单地提高到10倍,其主要特点有:
1.与10 Mbit/s、 100 Mbit/s和1 Gbit/s以太网的帧格式完全相同。
2.保留了802.3标准规定的以太网最小和最大帧长,便于升级。
3.不再使用铜线而只使用光纤作为传输媒体。
4.只工作在全双工方式,因此没有争用问题,也不使用CSMA/CD协议。
![]()
端到端的以太网传输
以太网的工作范围已经从局域网(校园网、企业网)扩大到城域网和广域网,从而实现了端到端的以太网传输。这种工作方式的好处有:
1.技术成熟;
2.互操作性很好;
3.在广域网中使用以太网时价格便宜;
4.采用统一的以太网帧格式,简化了操作和管理。
3.5.4使用以太网进行宽带接入
IEEE在2001年初成立了802.3 EFM工作组,专门研究高速以太网的宽带接入技术问题。
以太网宽带接入具有以下特点:
1.可以提供双向的宽带通信。
2.可以根据用户对带宽的需求灵活地进行带宽升级。
3.可以实现端到端的以太网传输,中间不需要再进行帧格式的转换。这就提高了数据的传输效率且降低了传输的成本。
4.但是不支持用户身份鉴别。PPPoE
PPPoE (PPP over Ethernet)的意思是"在以太网.上运行PPP" ,它把PPP协议与以太网协议结合起来一-将 PPP帧再封装到以太网中来传输。
现在的光纤宽带接入FTTx都要使用PPPoE的方式进行接入。在PPPoE弹出的窗口中键入在网络运营商购买的用户名和密码,就可以进行宽带上网了。
利用ADSL进行宽带.上网时,从用户个人电脑到家中的ADSL调制解调器之间,也是使用RJ-45和5类线(即以太网使用的网线)进行连接的,并且也是使用PPPoE弹出的窗口进行拨号连接的。
最后
以上就是自然月饼最近收集整理的关于【计算机网络】知识梳理(三)数据链路层3.1使用点对点信道的数据链路层3.2点对点协议PPP3.3使用广播信道的数据链路层3.4扩展的以太网3.5高速以太网的全部内容,更多相关【计算机网络】知识梳理(三)数据链路层3.1使用点对点信道内容请搜索靠谱客的其他文章。
本图文内容来源于网友提供,作为学习参考使用,或来自网络收集整理,版权属于原作者所有。

数据链路层不必考虑物理层如何实现比特传输的细节。甚至还可以更简单地设想好像是沿着两个数据链路层之间的水平方向把帧直接发送到对方。 












































半双工方式工作的吉比特以太网


发表评论 取消回复