笔者在微信公众号GiveMe5G定期发布学习文章(更多更及时),欢迎订阅和分享,文章下方有二维码。
PSS和SSS就是我们常说的主辅同步信号,名字很直白,即在表述它们最重要的作用就是完成“某种程度上的下行同步”。
首先,先来看看PSS/SSS是什么东西?
1)PSS是一个长度为127的序列,映射在频域的127个子载波上。

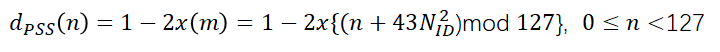
下面是38211中给出的PSS序列的计算公式:

所以PSS序列可以看成下面这样一个序列,n取值从0到126

PSS也可以看成是一个关于N_ID^((2)) 的函数,当N_ID^((2))取如下三个不同的值时,相当于是对这个长度为127的序列进行循环移位,一共能生成3种不同的PSS序列:

2)SSS同样是一个映射在127个子载波的序列
下面是38211中给出的SSS序列的计算公式:

因为N_ID^((1)) 取值范围为0-335,N_ID^((2))取值范围0-2,所以m_0共有9个可能的取值,而m_1共有112个取值,因此通过m_0和m_1的循环移位作用,一共能生成1008种不同的SSS序列


再来看看PSS/SSS是如何完成“某种程度上的下行同步”?
这里所说的“某种程度的下行同步”,言外之意就是仅依靠PSS和SSS不能完成所有下行同步的功能,只能完成一部分。PSS可以说是终端无线接入NR系统的第一个物理信号。当一个终端成功解出PSS时,其实它可以完成symbol级别的时间同步,知道一个符号有多长,借助SSB的时频结构这个先验知识,它也很自然的知道SSS在哪个symbol上,以及MIB消息在哪个symbol上。此时的终端还无法完成slot同步或者帧同步。
终端在获取了PSS和SSS有关timing的信息之外,还可以计算出小区的PCI,PCI的计算方式和LTE时一致,只是PCI的容量翻了一倍,达到1008个。

其实除了上述的下行timing以及PCI获取,PSS的解析成功还对终端“理解”自己和网络的频率差异有很大的帮助,帮助终端减少或者消除频率差异所带来的问题。
笔者在微信公众号GiveMe5G发布文章的周期原则为一周,主要用于记叙和讨论对3GPP协议的学习和理解

最后
以上就是醉熏红牛最近收集整理的关于5G NR 下行同步SSB(2)-- PSS和SSS的用途的全部内容,更多相关5G内容请搜索靠谱客的其他文章。
发表评论 取消回复