文章目录
- 一. 理论知识
- 1.线性系统的响应
- 2.微分方程的解
- Ⅰ.经典解
- Ⅱ.完全响应
- 3.零输入响应
- 4.零状态响应
- 5.冲激响应
- 6.阶跃响应
- 7.卷积求零状态响应
- 二.连续信号的MATLAB描述
- 1.单位冲激信号
- 2.单位阶跃信号
- 3.复指数信号
- 三.LTI系统的零输入响应
- 四.求LTI系统零状态响应
- 1.冲激响应
- 2.卷积
- 3.卷积求零状态响应
用MATLAB处理信号与系统中的问题,更加直观、方便、准确。
一. 理论知识
1.线性系统的响应
许多实际系统都可以用线性系统来模拟,如果线性系统的参数是常数,则该线性系统可以用线性常系数微分方程来描述,所以,求解线性系统的响应就转换成求线性常系数微分方程的解了!
线性系统响应对应微分方程解
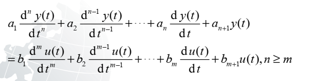
对于一个线性系统,存在激励u(t)和响应y(t),激励和响应之间的关系可以用微分方程的形式来描述:

其中,a、b为常系数;方程为n阶线性时不变(LTI)常系数微分方程。
2.微分方程的解
既然将线性系统的响应转换为微分方程的解,那么求解微分方程就是最重要的任务了!
Ⅰ.经典解
首先看一下微分方程的经典解:完全解=齐次解+特解
齐次解仅仅取决于系统本身,特解仅仅取决于激励。
Ⅱ.完全响应
系统的响应,就是完全响应,可以分为零状态响应和零输入响应,如图:
实际上,我们分析一个系统的响应,主要是从零输入响应和零状态响应入手的。
3.零输入响应
在零输入条件下,系统的响应就是零输入响应。
零输入条件下,微分方程等式右边都为0,化为齐次方程,求出特征根,就可以求出零输入响应!
当特征根都为单根时,零输入响应如下:

4.零状态响应
在零状态条件下,系统的响应就是零状态响应。
零状态条件下,初始状态都为0,即y(0-)=0…等等,此时的微分方程为非齐次方程,求出特征根,就可以求出零状态响应!
当特征根都为单根时,零状态响应如下:

利用卷积求零状态响应
5.冲激响应
冲激响应是一种特殊的零状态响应,LTI系统处于零状态下,由单位冲激信号引起的响应就是冲激响应,一般用h(t)表示,冲激响应在后面求LTI系统响应的时候十分重要!!!
看一下冲激响应的框图表示:

6.阶跃响应
阶跃响应也是一种特殊的零状态响应,是输入为阶跃函数时系统的响应:

7.卷积求零状态响应
卷积的定义:

卷积的表示:

卷积的物理含义:

卷积求零状态响应:
任意信号都可以表示为冲激序列之和,所以,任意信号作用域系统的零状态响应都可以用冲激响应表示出来,这就是卷积求零状态响应:

二.连续信号的MATLAB描述
刚才已经对求解线性系统做了一个概括,那么各种函数是怎么样在MATLAB中描述的呢?接下来就一一介绍最常用的几种函数的MATLAB描述。
要知道,利用MATLAB分析连续信号时,要对信号作离散化处理,就是取出抽样点,根据抽样点的数据画出信号的图像,所以采样的区间和采样密度就影响着信号的表示效果。
1.单位冲激信号
MATLAB的实现代码如下:
在MATLAB中,我们以持续时间为dt,面积为1的脉冲信号表示冲激函数,具体注释都已经在函数中作了描述:
冲击函数
clear
clc
t0=0;%采样开始
dt=0.01;%采样间隔
tf=5;%采样终点
t1=1;%冲击点在t1处有一个持续时间为dt,面积为1的脉冲信号
t=[t0:dt:tf];%采样点
st=length(t);
n1=floor( (t1-t0)/dt );%floor:朝负无穷方向取整数,此处为t1的序列号
x1=zeros(1,st);%zero:生成(1,st)的零矩阵,此处为初始化信号
x1(n1)=1/dt;%给出t1处的信号
subplot(2,1,1),stairs(t,x1),grid on
axis([0,5,0,30])
subplot(2,1,2),plot(t,x1),grid on
axis([0,5,0,30])
使用stairs和plot只是为了对比一下画图效果。
运行结果如示:

2.单位阶跃信号
代码如下:
clear
clc
t0=0;
dt=0.1;
tf=10;
t1=3;
t=[t0:dt:tf];
st=length(t);
n1=floor((t1-t0)/dt);%阶跃序列号
x2=[zeros(1,n1),ones(1,st-n1)];%产生阶跃序列
stairs(t,x2)%画出阶跃函数
grid on
axis([0,10,0,3])
运行结果如下:

3.复指数信号

代码如下:
//复指数函数(u,jw)
clear
clc
t0=0;
dt=0.05;
tf=5;
t=[t0:dt:tf];
u=-0.5;%实部参数
w=10;%虚部参数
x3=exp((u+j*w)*t);%复指数函数
subplot(2,1,1),plot(t,real(x3)),grid on
legend('Re(x3(t))')
subplot(2,1,2),plot(t,imag(x3)),grid on
legend('Im(x3(t))')
运行结果如下:

三.LTI系统的零输入响应
零输入响应是微分方程的齐次解,具体讲解看下面吧(博主水平太低,讲不出来那种效果哈哈哈)



//LTI零输入响应
clear
clc
a=input('输入分母系数向量a=[a1,a2,...]=');%微分方程系数,从左到右
n=length(a)-1;
dt=input('采样步长dt=');
tf=input('仿真时长tf=');
Y0=input('初始条件向量Y0=[y0,Dy0,D2y0...]=');%已知初始条件
%以下为通解
p=roots(a);%p是特征方程的根,也就是系统的极点,roots(a)用来求多项式a(x)的根
V=rot90(vander(p));%V=vander(p),V是范德蒙矩阵
c=VY0';%用范德蒙矩阵求对应于各极点的系数
t=[0:dt:tf];
y=zeros(1,length(t));
for k=1:n
y=y+c(k)*exp(p(k)*t);
end
plot(t,y),grid on
roots(a)用来求多项式a(x)的根。
四.求LTI系统零状态响应
前面说了,求零状态响应,要利用激励卷积冲激响应得到零状态响应,所以要求零状态响应就先得掌握冲激响应和卷积。
1.冲激响应
讲解直接上ppt吧:




直接上代码:
//LTI冲激响应
a=input('多项式分母系数向量a=');
b=input('多项式分子系数向量b=');
[r,p]=residue(b,a);%求出极点和留数
dt=input('dt=');
tf=input('tf=');
t=[0:dt:tf];
h=zeros(1,length(t));
for i=1:length(a)-1
h=h+r(i)*exp(p(i)*t);
end
plot(t,h)%h冲激响应
grid on
运行结果如下:


2.卷积
卷积很简单,MATLAB中利用函数conv(u,h)即可,意为求u、h的卷积:
//卷积 y=conv(u,h) 输入u 冲激响应h
lear
clc
u=input('u=');
h=input('h=');
dt=input('dt=');
y=conv(u,h);%进行卷积
%t=dt*([1:length(y)]-1);
plot(dt*([1:length(y)]-1),y)
grid on

3.卷积求零状态响应
这里就是重头戏啦!
- 先求冲激响应
- 再求卷积
- 得出零状态响应
如题:


实际上,如果单纯说使用matlab这个工具来求的时候,对原理不需要很深入的掌握,只要理解程序,会将程序套进去即可。
代码如下:(可以直接套的)
//零状态响应
clear
clc
a=input('多项式分母系数向量a=');%等式左边系数
b=input('多项式分子系数向量b=');%等式右边系数
t=input('输入时间序列t=[t0:dt:tf]');
u=input('输入序列u=');%输入函数
tf=t(end);
dt=tf/(length(t)-1);
[r,p]=residue(b,a);%用极点留数法求冲激响应
h=r(1)*exp(p(1)*t)+r(2)*exp(p(2)*t);%冲激响应
subplot(2,1,1),plot(t,h),grid on
y=conv(u,h)*dt;%用卷积求零状态响应
subplot(2,1,2),plot(t,y(1:length(t))),grid on%零状态响应
运行结果:

下面就试着用这个套路来做一道题:

可以看出:
- 多项式分母系数,也就是方程左边的系数为a=[1,4,3]
- 多项式分子系数,也就是方程右边的系数为b=1
- 然后就是构造单位阶跃函数
- 进行卷积
代码如下:
clear
clc
t0=0;
dt=0.5;
tf=10;
t=[t0:dt:tf];
%产生单位阶跃函数
st=length(t);
n=0;%阶跃序列号
f=[zeros(1,n),ones(1,st-n)];%f:单位阶跃函数
%求零状态响应
a=[1,4,3];
b=1;
%t=input('输入时间序列t=[t0:dt:tf]');
u=f;
[r,p]=residue(b,a);%用极点留数法求冲激响应
h=r(1)*exp(p(1)*t)+r(2)*exp(p(2)*t);%冲激响应
y=conv(u,h)*dt;%用卷积求零状态响应
plot(t,y(1:length(t)),'-ob','LineWidth',1)%零状态响应
grid on;
xlabel('时间');
ylabel('分量');
text(5,0.2,'零状态响应结果','FontAngle','italic','FontSize',16);%斜体,字号16磅
title('零状态响应');
运行结果如下:

最后
以上就是光亮书本最近收集整理的关于MATLAB—信号与系统中的应用一. 理论知识二.连续信号的MATLAB描述三.LTI系统的零输入响应四.求LTI系统零状态响应的全部内容,更多相关MATLAB—信号与系统中的应用一.内容请搜索靠谱客的其他文章。


发表评论 取消回复