数字信号处理
- 3.离散傅里叶变换DFT
- 3.1 离散傅里叶变换的定义及其物理意义
- 3.1.2 周期序列的傅里叶级数
- 3.2 DFT的性质
- 3.3 频率域采样定理
- 4 快速傅里叶变换FFT
- 4.1 时域抽取的基2FFT算法原理及其运算
- 4.2 频域抽取的基2FFT算法原理及其运算
- 5.时域离散系统的网络结构
- 5.1 离散时间系统的模拟及其原理
- 5.2 系统框图及其结构形式
- 5.3信号流图
- 6 无线脉冲响应IIR数字滤波器设计
- 6.2 模拟滤波器设计
- 6.2.1 巴特沃斯滤波器
- 6.2.2 滤波器设计步骤
- 6.3 数字滤波器
- 6.3脉冲响应不变法设计IIR数字滤波器
- 6.4 双线性变换法设计IIR滤波器
- 6.5 高通滤波器设计
- 6.6 带通滤波器设计
- 6.7 IIR滤波器的基本网络结构
- 7.有限脉冲响应滤波器FIR
- 7.1 FIR滤波器基本原理
- 7.2 FIR滤波器的频响特性与分类
- 7.3窗函数法设计第一类FIR滤波器
- 7.4 频率采样法设计FIR滤波器
3.离散傅里叶变换DFT
视频对应地址:bilibili搜将信号与系统的潘老师
3.1 离散傅里叶变换的定义及其物理意义
1.技术背景

计算机处理的需要
2.定义及其计算
定义DFT:

频谱
k是频谱的自变量
X(k)是频域傅里叶级数的系数
n是序列样值的序号
N是DFT变换的长度(N点DFT)

例子:

反变换IDFT:

3.1.2 周期序列的傅里叶级数


旋转因子(周期单位复指数序列)常用的计算值


3.2 DFT的性质
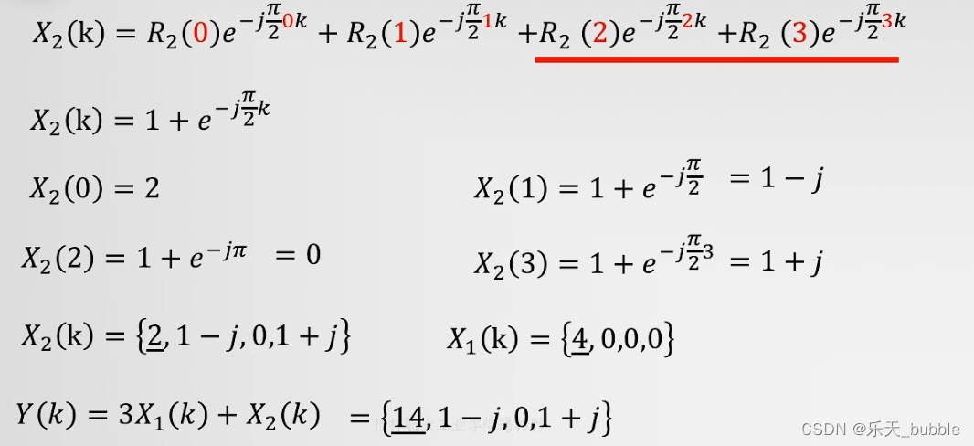
1.线性

例子:


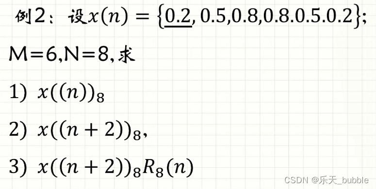
2.循环移位性质
1)序列的循环移位

例子:


移位时,序列左移,原点右移



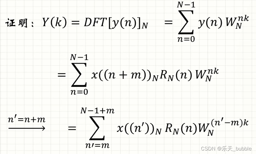
2)时域循环移位定理



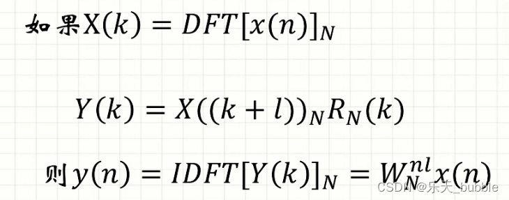
3)频域循环移位定理

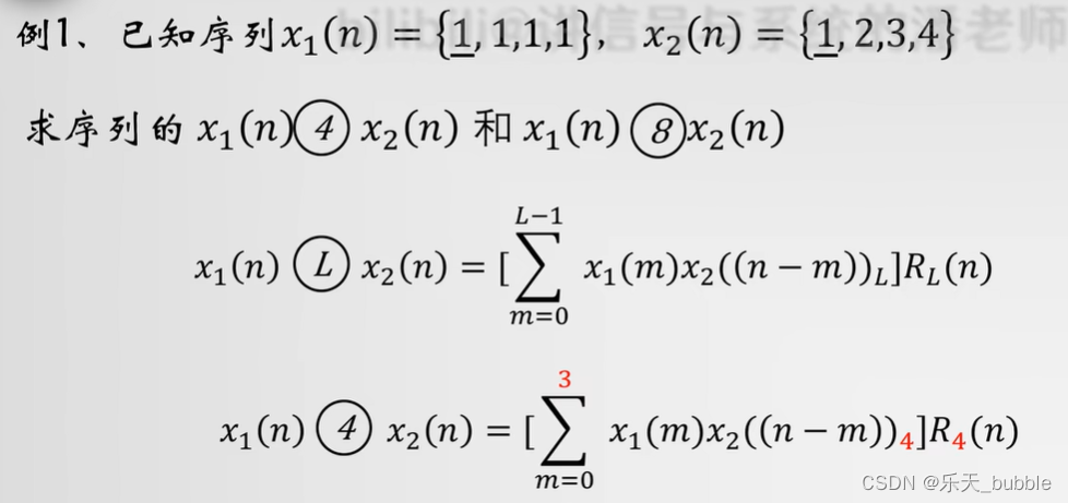
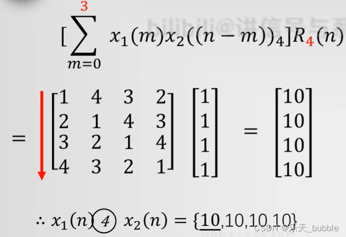
3.循环卷积定理
1)循环卷积定理

2)L点循环卷积定义:

两种卷积对比

例子:



实用解法



发生位移的序列选混卷积的处理


4.复共轭的DFT

例子:

5.DFT的共轭对称性

例子:

3.3 频率域采样定理

定理:

例子:


4 快速傅里叶变换FFT
4.1 时域抽取的基2FFT算法原理及其运算
DFT计算量分析

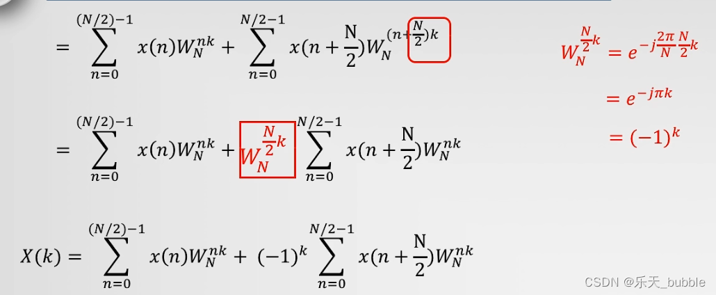
时域基2FFT基本原理
基于2点DFT的快速傅里叶变换,将多点分解为多个2点进行简化运算
2点DFT

4点DFT时域抽取运算流图示例

8点DFT时域抽取运算流图示例

N点FFT倒序算法求输入序号顺序的方法

第L级旋转因子的计算公式

示例:以8点FFT M=3


将旋转因子写入运算流图

DFT与FFT计算量比较

4.2 频域抽取的基2FFT算法原理及其运算
上节回顾


时域抽取

频域抽取的蝶形运算符

频域抽取原理:




总结:




5.时域离散系统的网络结构
5.1 离散时间系统的模拟及其原理
基础知识:
系统框图表示法




z域分析

化简:


系统框图与系统函数关系

系统框图其他结构举例



5.2 系统框图及其结构形式
系统函数模拟的实现方案


级联型的系统模拟框图

并联型的系统模拟框图

级联,并联型的子系统结构图



5.3信号流图
信号流图表示法

从系统框图–>信号流图(直接型)


级联型信号流图

信号流图代数运算的基本规则
1.串联支路合并

2.并联支路合并

3.一阶节消去中间结点的规律

例题:




6 无线脉冲响应IIR数字滤波器设计

传统滤波器

6.2 模拟滤波器设计
1.典型的滤波器及其特性
1)巴特沃斯滤波器
具有单调下降的幅频特性
2)切比雪夫滤波器
在通带或者阻带具有等波纹特性
可以提高选择性
3)椭圆滤波器
选择性最好,但是通带内均呈现等波纹幅频特性
4)贝塞尔滤波器
在通带内具有线性相位特性

6.2.1 巴特沃斯滤波器


巴特沃斯归一化低通滤波器参数


6.2.2 滤波器设计步骤

例题:




6.3 数字滤波器
分类

知识回顾:
1)信号处理中的周期与频率

2)模拟频率Ω和f

3)模拟频率和数字频率
4)模拟信号抽样频率

模拟、数字滤波器频响特性曲线的比较

幅频响应的几何确定法

数字滤波器类型快速判断方法:

6.3脉冲响应不变法设计IIR数字滤波器
数字滤波器的分类—按单位脉冲响应的长度分类

数字滤波器设计方法:

间接法的IIR滤波器设计方法
步骤:

脉冲响应

s平面与z平面映射关系




例题:




matlab


6.4 双线性变换法设计IIR滤波器
脉冲响应的局限性:

双线性变换法设计IIR数字滤波器
基本思路:

双线性变换法的s平面和z平面映射关系

经典例题:





6.5 高通滤波器设计
知识回顾:巴特沃斯归一化低通滤波器设计


经典滤波器的设计方法

巴特沃斯模拟高通滤波器设计

例题:




模拟高通滤波器到数字高通滤波器到转换

例题:




6.6 带通滤波器设计


带通滤波器设计:

2.设计步骤:

例题:





6.7 IIR滤波器的基本网络结构
IIR数字滤波器的系统函数及其模拟:



例题:








7.有限脉冲响应滤波器FIR
7.1 FIR滤波器基本原理


例题:






7.2 FIR滤波器的频响特性与分类
FIR滤波器的定义和阶数

分类:

例题:




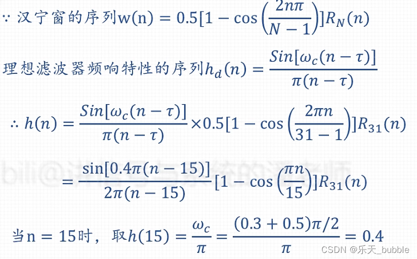
7.3窗函数法设计第一类FIR滤波器
第一类线性相位滤波器设计的有用公式





第一类线性相位滤波器设计低通滤波器


常用窗函数


例题:




窗函数法设计第一类FIR低通滤波器设计步骤

7.4 频率采样法设计FIR滤波器
原理:

例题






设计步骤:

最后
以上就是感性冬瓜最近收集整理的关于数字信号处理笔记(下)的全部内容,更多相关数字信号处理笔记(下)内容请搜索靠谱客的其他文章。
发表评论 取消回复