我是靠谱客的博主 飞快香菇,这篇文章主要介绍利用MATLAB确定幅值裕度和相角裕度:margin命令何为相对稳定性指标?令一些参数一个例子:直接绘图并显示P.M和G.M.返回参数不绘图,现在分享给大家,希望可以做个参考。

运用函数margin能够直接在伯德图上确定系统的相对稳定性指标,同理,与绘制伯德图类似,一种返回参数不绘图,另一种绘图并直接显示出幅值裕度和相角裕度。

何为相对稳定性指标?

  • 增益裕度(幅值裕度):G.M.

    奈奎斯特图通过-1+j0点之前,系统增益容许增加的最大倍数,奈奎斯特图过-1+j0点为临界稳定系统

  • 相角裕度:P.M.

    指系统失稳前,容许附加的滞后相角

令一些参数

  • W c g Wcg Wcg (freq.for phase)
    相频特性曲线与-180度交点所对应的频率,用来确定(增益)幅值裕度

  • W c p Wcp Wcp(freq.for gain)

    幅频特性曲线与0 d B dB dB线交点所对应的频率,用来确定相角裕度

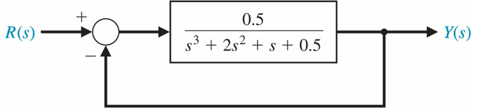
一个例子:

直接绘图并显示P.M和G.M.

>> num = [0.5];
>> den = [1 2 1 0.5];
>> sys = tf(num,den)

sys =
 
           0.5
  ---------------------
  s^3 + 2 s^2 + s + 0.5
 
Continuous-time transfer function.

>> margin(sys)

返回参数不绘图

这种方式我们要查看P.M.G.M.的时候,就需要调用,比较麻烦。

  • 直接通过传递函数求

    >> [Gm,Pm,Wcg,Wcp] = margin(sys)
    
    Gm =
    
        3.0035
    
    
    Pm =
    
       48.9534
    
    
    Wcg =
    
        1.0004
    
    
    Wcp =
    
        0.6435
    
  • 利用伯德图返回的参数求(与上面等价)

    >> [mag,phase,w] = bode(sys)
    
    >> [Gm,Pm,Wcg,Wcp] = margin(mag,phase,w)
    
    Gm =
    
        3.0000
    
    
    Pm =
    
       49.3595
    
    
    Wcg =
    
        1.0000
    
    
    Wcp =
    
        0.6423
    

这样,margin命令即绘制了伯德图,又显示出了幅值裕度和相角裕度,简直不要太方便。

最后

以上就是飞快香菇最近收集整理的关于利用MATLAB确定幅值裕度和相角裕度:margin命令何为相对稳定性指标?令一些参数一个例子:直接绘图并显示P.M和G.M.返回参数不绘图的全部内容,更多相关利用MATLAB确定幅值裕度和相角裕度:margin命令何为相对稳定性指标?令一些参数一个例子:直接绘图并显示P内容请搜索靠谱客的其他文章。

本图文内容来源于网友提供,作为学习参考使用,或来自网络收集整理,版权属于原作者所有。
点赞(205)

评论列表共有 0 条评论

立即
投稿
返回
顶部