参考:matlab/Simulink与控制系统仿真,作者王正林,例5-1,P111

clc;clear all
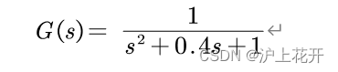
num =[1];
den = [1, 0.4, 1];
t = 0:0.1:10;
u = t;
y = step(num, den, t); %单位阶跃响应
y1 = lsim(num, den, u, t); %单位斜坡响应
plot(t,y,'b-', t,y1,'r:')
grid on
legend('单位阶跃响应曲线','单位斜坡响应曲线')

用simulink实现


最后
以上就是暴躁皮带最近收集整理的关于matlab:已知传递函数,求单位阶跃响应的全部内容,更多相关matlab内容请搜索靠谱客的其他文章。
本图文内容来源于网友提供,作为学习参考使用,或来自网络收集整理,版权属于原作者所有。
发表评论 取消回复