我是靠谱客的博主 现代花瓣,这篇文章主要介绍自动控制原理课程设计一、实验目的三、实验线路及原理四、思考题五、实验方法六、实验报告,现在分享给大家,希望可以做个参考。

一、实验目的


(1)要求学生根据书上习题的要求,自行设计一校正装置,并用本 实验挂件 构成的模拟系统 进行实验和实际调试、使学生能认识到校正装置在系统中的重要性。

(2)掌握工程中常用的 二阶系统 和 三阶系统 的工程设计方法。

二、实验所需挂件及附件

型 号

备 注

1

DJK01 电源控制屏

该控制屏包含“三相电源输出”等几个模块。

2

DJK15控制理论实验

DJK16控制理论实验

3

双踪慢扫描示波器

4

万用表

三、实验线路及原理


当系统的 开环增益 满足其 稳态性能 的要求后,它的 动态性能 一般都不理想,甚至 发生不稳定

为此需在系统中串接一 校正装置。即使系统的开环增益不变,又使系统的动态性能满足要求

常用的设计方法有根轨迹法、频率法和工程设计法

本实验要求 用 工程设计法 对系统进行校正。

(1)二阶系统


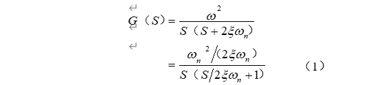
图8-21为二阶系统的标准形式,它的开环传递函数为:

式(5)就是 二阶系统 最优闭环传递函数

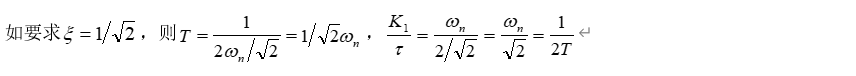
理论证明,只要二阶系统的闭环传递函数如式(3)所示的形式,则该系统的阻尼比=1/ √2 =0.707,对阶跃响应的超调量σp只有4.3%,调整时间ts为8Ts(∆=±0.05),相位裕量g=63°。

(2)三阶系统


四、思考题


(1) 二阶系统三阶系统 的工程设计依据是什么?

(2) 在 三阶工程设计 中,为什么 要在系统的输入端串接一 滤波器?

(3) 按 二阶系统 三阶系统 的工程设计,系统对阶跃输入的 稳态误差 为什么都为零?

但对斜坡信号输入,为什么 二阶系统 有稳态误差,而 三阶系统 的稳态误差为零?

五、实验方法


(1)按二阶系统的工程设计方法,设计下列系统的校正装置。

①对象由两个大惯性环节组成,如图8-28所示

②对象有三个惯性环节组成,如图8-29所示。

③对象由一个积分环节和一个惯性环节组成,如图8-30所示。

(2)按三阶系统工程设计方法,设计下列系统的校正装置。

①对象由 两个大惯性环节一个积分环节 组成,其方框图如图8-31所示。

②对象由 两个惯性环节 组成,其方框图如图8-32所示。

六、实验报告


(1)按实验内容的要求,确定各系统 所引入校正装置 传递函数,并画出它们的电路图。

(2)画出 各实验系统 电路图,并令输入r(t)=1V,测试系统的 阶跃响应曲线

(3)由实验所得的 波形,确定系统的 性能指标并与 二阶、三阶系统 的理想性能指标作一比较。

(4)根据习题要求 设计 校正装置,并用 本实验箱构成的系统 进行验证,如果实测的 性能指标 达不到设计要求,应如何调试,并分析原因。

最后

以上就是现代花瓣最近收集整理的关于自动控制原理课程设计一、实验目的三、实验线路及原理四、思考题五、实验方法六、实验报告的全部内容,更多相关自动控制原理课程设计一、实验目内容请搜索靠谱客的其他文章。

本图文内容来源于网友提供,作为学习参考使用,或来自网络收集整理,版权属于原作者所有。
点赞(328)

评论列表共有 0 条评论

立即
投稿
返回
顶部